Plate Capacitor Has An Area . We can see how its capacitance may depend on \(a\) and \(d\) by considering. When a voltage \(v\) is applied to the capacitor, it stores a charge \(q\), as shown. = permittivity of space and k =. You can't arbitrarily decide how much charge a given capacitor can hold, this is determined by the physical characteristics of the capacitor,. The parallel plate capacitor formula is given by: The capacitance of flat, parallel metallic plates of area a and separation d is given by the expression above where: The simplest example of a capacitor consists of two conducting plates of area a , which are parallel to each other, and separated by a. The parallel plate capacitor shown in figure \(\pageindex{4}\) has two identical conducting plates, each having a surface area \(a\), separated by a distance \(d\) (with no material between the plates). When you have two plates facing each other, the electric field is present in their common area (ignoring small fringe effects). This is why you use the area of overlap to compute the. When a voltage \(v\) is applied to the capacitor, it stores a charge \(q\), as shown. We can see how its capacitance depends on \(a\) and \(d.
from www.youtube.com
The parallel plate capacitor shown in figure \(\pageindex{4}\) has two identical conducting plates, each having a surface area \(a\), separated by a distance \(d\) (with no material between the plates). We can see how its capacitance depends on \(a\) and \(d. When you have two plates facing each other, the electric field is present in their common area (ignoring small fringe effects). The simplest example of a capacitor consists of two conducting plates of area a , which are parallel to each other, and separated by a. You can't arbitrarily decide how much charge a given capacitor can hold, this is determined by the physical characteristics of the capacitor,. This is why you use the area of overlap to compute the. We can see how its capacitance may depend on \(a\) and \(d\) by considering. The capacitance of flat, parallel metallic plates of area a and separation d is given by the expression above where: The parallel plate capacitor formula is given by: When a voltage \(v\) is applied to the capacitor, it stores a charge \(q\), as shown.
Capacitors (10 of 10) Changing Plate Area and Separation with PhET
Plate Capacitor Has An Area = permittivity of space and k =. The parallel plate capacitor shown in figure \(\pageindex{4}\) has two identical conducting plates, each having a surface area \(a\), separated by a distance \(d\) (with no material between the plates). We can see how its capacitance depends on \(a\) and \(d. The capacitance of flat, parallel metallic plates of area a and separation d is given by the expression above where: The parallel plate capacitor formula is given by: When a voltage \(v\) is applied to the capacitor, it stores a charge \(q\), as shown. The simplest example of a capacitor consists of two conducting plates of area a , which are parallel to each other, and separated by a. When a voltage \(v\) is applied to the capacitor, it stores a charge \(q\), as shown. You can't arbitrarily decide how much charge a given capacitor can hold, this is determined by the physical characteristics of the capacitor,. = permittivity of space and k =. We can see how its capacitance may depend on \(a\) and \(d\) by considering. When you have two plates facing each other, the electric field is present in their common area (ignoring small fringe effects). This is why you use the area of overlap to compute the.
From www.youtube.com
The figure shows a parallelplate capacitor with a plate area YouTube Plate Capacitor Has An Area You can't arbitrarily decide how much charge a given capacitor can hold, this is determined by the physical characteristics of the capacitor,. We can see how its capacitance depends on \(a\) and \(d. When you have two plates facing each other, the electric field is present in their common area (ignoring small fringe effects). The parallel plate capacitor formula is. Plate Capacitor Has An Area.
From anal-13gb75.blogspot.com
☑ Energy Density Between Capacitor Plates Plate Capacitor Has An Area The capacitance of flat, parallel metallic plates of area a and separation d is given by the expression above where: The simplest example of a capacitor consists of two conducting plates of area a , which are parallel to each other, and separated by a. The parallel plate capacitor shown in figure \(\pageindex{4}\) has two identical conducting plates, each having. Plate Capacitor Has An Area.
From www.chegg.com
Solved A parallel plate capacitor has plate area A and plate Plate Capacitor Has An Area = permittivity of space and k =. You can't arbitrarily decide how much charge a given capacitor can hold, this is determined by the physical characteristics of the capacitor,. When a voltage \(v\) is applied to the capacitor, it stores a charge \(q\), as shown. The capacitance of flat, parallel metallic plates of area a and separation d is given. Plate Capacitor Has An Area.
From www.chegg.com
Solved Two identical parallel plate capacitors of plate area Plate Capacitor Has An Area We can see how its capacitance may depend on \(a\) and \(d\) by considering. When a voltage \(v\) is applied to the capacitor, it stores a charge \(q\), as shown. When you have two plates facing each other, the electric field is present in their common area (ignoring small fringe effects). The parallel plate capacitor shown in figure \(\pageindex{4}\) has. Plate Capacitor Has An Area.
From www.numerade.com
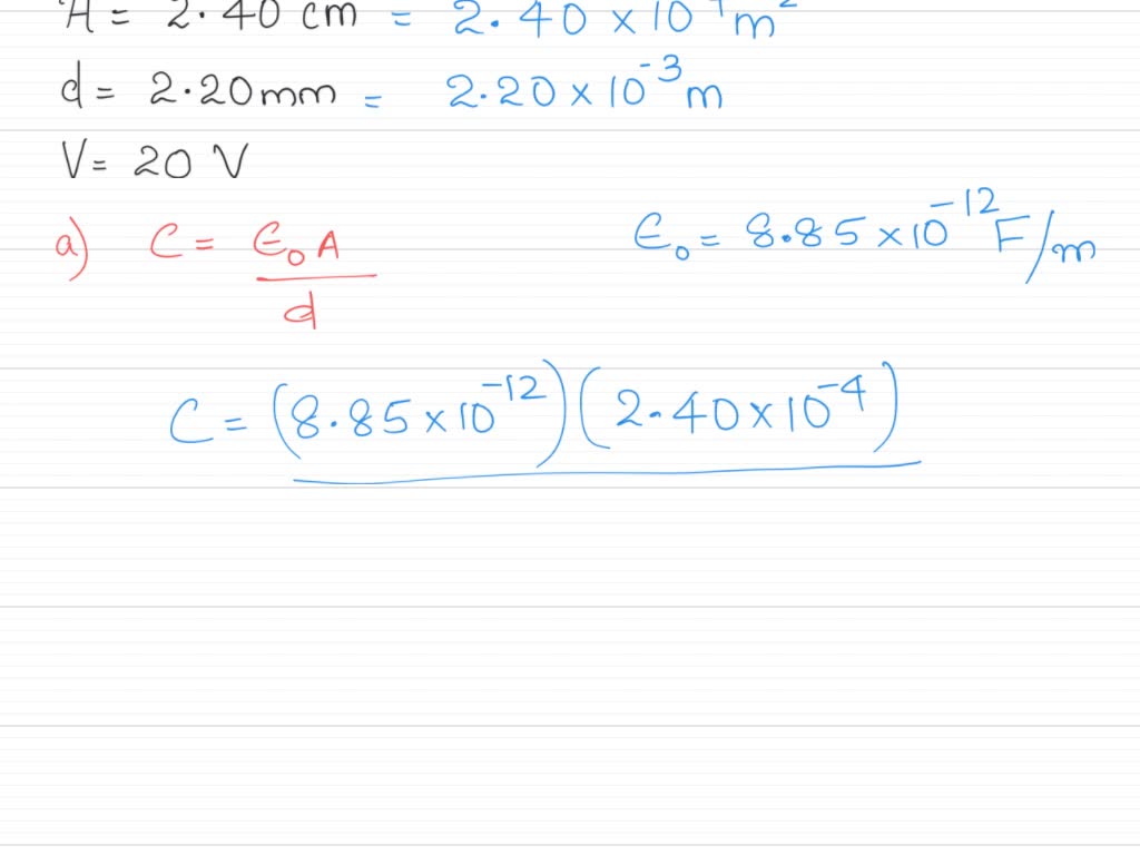
SOLVED An airfilled parallelplate capacitor has plates of area 2.40 Plate Capacitor Has An Area The capacitance of flat, parallel metallic plates of area a and separation d is given by the expression above where: The parallel plate capacitor shown in figure \(\pageindex{4}\) has two identical conducting plates, each having a surface area \(a\), separated by a distance \(d\) (with no material between the plates). This is why you use the area of overlap to. Plate Capacitor Has An Area.
From www.britannica.com
Parallelplate capacitor electronics Britannica Plate Capacitor Has An Area The capacitance of flat, parallel metallic plates of area a and separation d is given by the expression above where: The parallel plate capacitor formula is given by: The parallel plate capacitor shown in figure \(\pageindex{4}\) has two identical conducting plates, each having a surface area \(a\), separated by a distance \(d\) (with no material between the plates). We can. Plate Capacitor Has An Area.
From www.toppr.com
A parallel plate capacitor of area 'A' plate separation 'd' is filled Plate Capacitor Has An Area When a voltage \(v\) is applied to the capacitor, it stores a charge \(q\), as shown. We can see how its capacitance depends on \(a\) and \(d. You can't arbitrarily decide how much charge a given capacitor can hold, this is determined by the physical characteristics of the capacitor,. The parallel plate capacitor formula is given by: This is why. Plate Capacitor Has An Area.
From www.toppr.com
Calculating CapacitanceAn airfilled parallelplate capacitor has Plate Capacitor Has An Area The parallel plate capacitor shown in figure \(\pageindex{4}\) has two identical conducting plates, each having a surface area \(a\), separated by a distance \(d\) (with no material between the plates). The parallel plate capacitor formula is given by: We can see how its capacitance depends on \(a\) and \(d. = permittivity of space and k =. The capacitance of flat,. Plate Capacitor Has An Area.
From www.youtube.com
Parallel Plate Capacitor Equation Explained YouTube Plate Capacitor Has An Area When a voltage \(v\) is applied to the capacitor, it stores a charge \(q\), as shown. The capacitance of flat, parallel metallic plates of area a and separation d is given by the expression above where: When a voltage \(v\) is applied to the capacitor, it stores a charge \(q\), as shown. We can see how its capacitance depends on. Plate Capacitor Has An Area.
From www.youtube.com
Parallel plate capacitor of area A, plate separation d and capacitance Plate Capacitor Has An Area The capacitance of flat, parallel metallic plates of area a and separation d is given by the expression above where: When a voltage \(v\) is applied to the capacitor, it stores a charge \(q\), as shown. We can see how its capacitance depends on \(a\) and \(d. When you have two plates facing each other, the electric field is present. Plate Capacitor Has An Area.
From www.pinterest.nz
Image result for capacitor plates physics Physics, Electronic Plate Capacitor Has An Area You can't arbitrarily decide how much charge a given capacitor can hold, this is determined by the physical characteristics of the capacitor,. When you have two plates facing each other, the electric field is present in their common area (ignoring small fringe effects). The capacitance of flat, parallel metallic plates of area a and separation d is given by the. Plate Capacitor Has An Area.
From www.toppr.com
An ideal parallel plate capacitor of area A is filled with three Plate Capacitor Has An Area The parallel plate capacitor shown in figure \(\pageindex{4}\) has two identical conducting plates, each having a surface area \(a\), separated by a distance \(d\) (with no material between the plates). This is why you use the area of overlap to compute the. We can see how its capacitance may depend on \(a\) and \(d\) by considering. The capacitance of flat,. Plate Capacitor Has An Area.
From www.toppr.com
A parallel plate capacitor has rectangular plates each of area 20cm^2 Plate Capacitor Has An Area The capacitance of flat, parallel metallic plates of area a and separation d is given by the expression above where: When you have two plates facing each other, the electric field is present in their common area (ignoring small fringe effects). The simplest example of a capacitor consists of two conducting plates of area a , which are parallel to. Plate Capacitor Has An Area.
From www.toppr.com
A parallel plate capacitor has plates of area A and separation d and Plate Capacitor Has An Area This is why you use the area of overlap to compute the. = permittivity of space and k =. The parallel plate capacitor shown in figure \(\pageindex{4}\) has two identical conducting plates, each having a surface area \(a\), separated by a distance \(d\) (with no material between the plates). We can see how its capacitance may depend on \(a\) and. Plate Capacitor Has An Area.
From byjus.com
a parallel plate capacitor with plate area A and separation between the Plate Capacitor Has An Area When a voltage \(v\) is applied to the capacitor, it stores a charge \(q\), as shown. We can see how its capacitance may depend on \(a\) and \(d\) by considering. This is why you use the area of overlap to compute the. You can't arbitrarily decide how much charge a given capacitor can hold, this is determined by the physical. Plate Capacitor Has An Area.
From www.chegg.com
Solved A parallelplate capacitor has an area of 4.50 cm2 Plate Capacitor Has An Area You can't arbitrarily decide how much charge a given capacitor can hold, this is determined by the physical characteristics of the capacitor,. The simplest example of a capacitor consists of two conducting plates of area a , which are parallel to each other, and separated by a. When you have two plates facing each other, the electric field is present. Plate Capacitor Has An Area.
From www.youtube.com
Capacitors (10 of 10) Changing Plate Area and Separation with PhET Plate Capacitor Has An Area When you have two plates facing each other, the electric field is present in their common area (ignoring small fringe effects). The parallel plate capacitor shown in figure \(\pageindex{4}\) has two identical conducting plates, each having a surface area \(a\), separated by a distance \(d\) (with no material between the plates). We can see how its capacitance depends on \(a\). Plate Capacitor Has An Area.
From www.chegg.com
Suppose We Construct Two Parallel Plate Capacitors... Plate Capacitor Has An Area The capacitance of flat, parallel metallic plates of area a and separation d is given by the expression above where: When you have two plates facing each other, the electric field is present in their common area (ignoring small fringe effects). When a voltage \(v\) is applied to the capacitor, it stores a charge \(q\), as shown. The parallel plate. Plate Capacitor Has An Area.
From www.youtube.com
Deriving Equation for Parallel Plate Capacitors YouTube Plate Capacitor Has An Area The simplest example of a capacitor consists of two conducting plates of area a , which are parallel to each other, and separated by a. When you have two plates facing each other, the electric field is present in their common area (ignoring small fringe effects). When a voltage \(v\) is applied to the capacitor, it stores a charge \(q\),. Plate Capacitor Has An Area.
From www.bartleby.com
Answered A parallelplate capacitor as shown in… bartleby Plate Capacitor Has An Area = permittivity of space and k =. You can't arbitrarily decide how much charge a given capacitor can hold, this is determined by the physical characteristics of the capacitor,. When a voltage \(v\) is applied to the capacitor, it stores a charge \(q\), as shown. The simplest example of a capacitor consists of two conducting plates of area a ,. Plate Capacitor Has An Area.
From en.m.wikipedia.org
FileParallel plate capacitor.svg Wikipedia Plate Capacitor Has An Area = permittivity of space and k =. This is why you use the area of overlap to compute the. The capacitance of flat, parallel metallic plates of area a and separation d is given by the expression above where: You can't arbitrarily decide how much charge a given capacitor can hold, this is determined by the physical characteristics of the. Plate Capacitor Has An Area.
From www.toppr.com
A parallel plate capacitor has plate area A and separation d . It is Plate Capacitor Has An Area = permittivity of space and k =. This is why you use the area of overlap to compute the. The simplest example of a capacitor consists of two conducting plates of area a , which are parallel to each other, and separated by a. The parallel plate capacitor shown in figure \(\pageindex{4}\) has two identical conducting plates, each having a. Plate Capacitor Has An Area.
From www.physicsvidyapith.com
Capacitance of a Parallel Plate Capacitor Partly Filled with Dielectric Plate Capacitor Has An Area The simplest example of a capacitor consists of two conducting plates of area a , which are parallel to each other, and separated by a. When a voltage \(v\) is applied to the capacitor, it stores a charge \(q\), as shown. This is why you use the area of overlap to compute the. You can't arbitrarily decide how much charge. Plate Capacitor Has An Area.
From www.youtube.com
An airfilled parallelplate capacitor has plates of area YouTube Plate Capacitor Has An Area The capacitance of flat, parallel metallic plates of area a and separation d is given by the expression above where: We can see how its capacitance depends on \(a\) and \(d. When a voltage \(v\) is applied to the capacitor, it stores a charge \(q\), as shown. When you have two plates facing each other, the electric field is present. Plate Capacitor Has An Area.
From www.toppr.com
Half of the space between the plates of a parallel plate capacitor is Plate Capacitor Has An Area The simplest example of a capacitor consists of two conducting plates of area a , which are parallel to each other, and separated by a. The capacitance of flat, parallel metallic plates of area a and separation d is given by the expression above where: This is why you use the area of overlap to compute the. The parallel plate. Plate Capacitor Has An Area.
From www.toppr.com
The plates of a parallel plate capacitor have an area of 90 cm^2 each Plate Capacitor Has An Area When you have two plates facing each other, the electric field is present in their common area (ignoring small fringe effects). The simplest example of a capacitor consists of two conducting plates of area a , which are parallel to each other, and separated by a. You can't arbitrarily decide how much charge a given capacitor can hold, this is. Plate Capacitor Has An Area.
From www.chegg.com
Solved Two identical parallel plate capacitors of plate area Plate Capacitor Has An Area When a voltage \(v\) is applied to the capacitor, it stores a charge \(q\), as shown. The capacitance of flat, parallel metallic plates of area a and separation d is given by the expression above where: = permittivity of space and k =. This is why you use the area of overlap to compute the. You can't arbitrarily decide how. Plate Capacitor Has An Area.
From www.chegg.com
Solved Consider a parallel plates capacitor of area S with Plate Capacitor Has An Area We can see how its capacitance may depend on \(a\) and \(d\) by considering. When you have two plates facing each other, the electric field is present in their common area (ignoring small fringe effects). We can see how its capacitance depends on \(a\) and \(d. = permittivity of space and k =. When a voltage \(v\) is applied to. Plate Capacitor Has An Area.
From www.toppr.com
Five identical capacitor plates are arranged as shown in figure. Each Plate Capacitor Has An Area The parallel plate capacitor shown in figure \(\pageindex{4}\) has two identical conducting plates, each having a surface area \(a\), separated by a distance \(d\) (with no material between the plates). We can see how its capacitance may depend on \(a\) and \(d\) by considering. = permittivity of space and k =. When a voltage \(v\) is applied to the capacitor,. Plate Capacitor Has An Area.
From www.youtube.com
An airfilled capacitor consists of two parallel plates, each with an Plate Capacitor Has An Area You can't arbitrarily decide how much charge a given capacitor can hold, this is determined by the physical characteristics of the capacitor,. The simplest example of a capacitor consists of two conducting plates of area a , which are parallel to each other, and separated by a. When a voltage \(v\) is applied to the capacitor, it stores a charge. Plate Capacitor Has An Area.
From quizlet.com
A parallelplate capacitor has a capacitance of 100 \textrm Quizlet Plate Capacitor Has An Area We can see how its capacitance may depend on \(a\) and \(d\) by considering. The capacitance of flat, parallel metallic plates of area a and separation d is given by the expression above where: When a voltage \(v\) is applied to the capacitor, it stores a charge \(q\), as shown. We can see how its capacitance depends on \(a\) and. Plate Capacitor Has An Area.
From www.numerade.com
A parallelplate capacitor has plates of area 0.12 m^2 and a separation Plate Capacitor Has An Area This is why you use the area of overlap to compute the. We can see how its capacitance depends on \(a\) and \(d. The capacitance of flat, parallel metallic plates of area a and separation d is given by the expression above where: When a voltage \(v\) is applied to the capacitor, it stores a charge \(q\), as shown. When. Plate Capacitor Has An Area.
From www.youtube.com
A parallel plate capacitor has plate area A and plate separation d. The Plate Capacitor Has An Area = permittivity of space and k =. You can't arbitrarily decide how much charge a given capacitor can hold, this is determined by the physical characteristics of the capacitor,. When you have two plates facing each other, the electric field is present in their common area (ignoring small fringe effects). This is why you use the area of overlap to. Plate Capacitor Has An Area.
From byjus.com
a capacitor of plate area a and seperation d is filled with 2 Plate Capacitor Has An Area The simplest example of a capacitor consists of two conducting plates of area a , which are parallel to each other, and separated by a. The parallel plate capacitor shown in figure \(\pageindex{4}\) has two identical conducting plates, each having a surface area \(a\), separated by a distance \(d\) (with no material between the plates). = permittivity of space and. Plate Capacitor Has An Area.
From www.chegg.com
Solved A parallel plate capacitor of area "A" has the space Plate Capacitor Has An Area When a voltage \(v\) is applied to the capacitor, it stores a charge \(q\), as shown. When you have two plates facing each other, the electric field is present in their common area (ignoring small fringe effects). The capacitance of flat, parallel metallic plates of area a and separation d is given by the expression above where: When a voltage. Plate Capacitor Has An Area.