Does Cold Weather Trigger Lupus . That is the cold burn lupies feel on a daily basis, wearing gloves and simply walking to their car. someone living with lupus shares how lupus flares are impacted by cold weather and offer tips to help prevent and manage. Climate change and environmental pollution can trigger or worsen lupus symptoms. some studies suggest that weather changes such as heat, cold, humidity, and wind can affect some symptoms of lupus, depending on which body systems the disease is attacking. As blood vessels constrict in the. how does cold weather impact lupus? how does cold weather impact lupus disease activity? cold weather can also affect lupus symptoms. does global climate change affect lupus?
from altusbiologics.com
some studies suggest that weather changes such as heat, cold, humidity, and wind can affect some symptoms of lupus, depending on which body systems the disease is attacking. That is the cold burn lupies feel on a daily basis, wearing gloves and simply walking to their car. how does cold weather impact lupus disease activity? how does cold weather impact lupus? someone living with lupus shares how lupus flares are impacted by cold weather and offer tips to help prevent and manage. As blood vessels constrict in the. Climate change and environmental pollution can trigger or worsen lupus symptoms. cold weather can also affect lupus symptoms. does global climate change affect lupus?
Managing Lupus in Cold Weather Altus Biologics
Does Cold Weather Trigger Lupus Climate change and environmental pollution can trigger or worsen lupus symptoms. As blood vessels constrict in the. Climate change and environmental pollution can trigger or worsen lupus symptoms. That is the cold burn lupies feel on a daily basis, wearing gloves and simply walking to their car. how does cold weather impact lupus disease activity? someone living with lupus shares how lupus flares are impacted by cold weather and offer tips to help prevent and manage. some studies suggest that weather changes such as heat, cold, humidity, and wind can affect some symptoms of lupus, depending on which body systems the disease is attacking. cold weather can also affect lupus symptoms. how does cold weather impact lupus? does global climate change affect lupus?
From www.reddit.com
Does this look like a lupus hand rash? r/lupus Does Cold Weather Trigger Lupus how does cold weather impact lupus? As blood vessels constrict in the. Climate change and environmental pollution can trigger or worsen lupus symptoms. someone living with lupus shares how lupus flares are impacted by cold weather and offer tips to help prevent and manage. does global climate change affect lupus? That is the cold burn lupies feel. Does Cold Weather Trigger Lupus.
From nexusmedianews.com
Worsening Weather Could Make Life Miserable for Lupus Patients Nexus Does Cold Weather Trigger Lupus does global climate change affect lupus? how does cold weather impact lupus? As blood vessels constrict in the. someone living with lupus shares how lupus flares are impacted by cold weather and offer tips to help prevent and manage. how does cold weather impact lupus disease activity? Climate change and environmental pollution can trigger or worsen. Does Cold Weather Trigger Lupus.
From www.sometimesitislupus.com
Sometimes It Is Lupus Lupus and Weather Does Cold Weather Trigger Lupus cold weather can also affect lupus symptoms. does global climate change affect lupus? how does cold weather impact lupus disease activity? some studies suggest that weather changes such as heat, cold, humidity, and wind can affect some symptoms of lupus, depending on which body systems the disease is attacking. Climate change and environmental pollution can trigger. Does Cold Weather Trigger Lupus.
From www.sciencephoto.com
Lupus rash on back triggered by sun Stock Image C006/9165 Science Does Cold Weather Trigger Lupus someone living with lupus shares how lupus flares are impacted by cold weather and offer tips to help prevent and manage. As blood vessels constrict in the. Climate change and environmental pollution can trigger or worsen lupus symptoms. how does cold weather impact lupus disease activity? does global climate change affect lupus? some studies suggest that. Does Cold Weather Trigger Lupus.
From creakyjoints.org
Lupus Complications What Lupus Patients Need to Know Does Cold Weather Trigger Lupus Climate change and environmental pollution can trigger or worsen lupus symptoms. some studies suggest that weather changes such as heat, cold, humidity, and wind can affect some symptoms of lupus, depending on which body systems the disease is attacking. someone living with lupus shares how lupus flares are impacted by cold weather and offer tips to help prevent. Does Cold Weather Trigger Lupus.
From altusbiologics.com
Managing Lupus in Cold Weather Altus Biologics Does Cold Weather Trigger Lupus Climate change and environmental pollution can trigger or worsen lupus symptoms. someone living with lupus shares how lupus flares are impacted by cold weather and offer tips to help prevent and manage. does global climate change affect lupus? That is the cold burn lupies feel on a daily basis, wearing gloves and simply walking to their car. . Does Cold Weather Trigger Lupus.
From lupuscorner.com
Winter is Coming Cold Weather and Lupus LupusCorner Does Cold Weather Trigger Lupus some studies suggest that weather changes such as heat, cold, humidity, and wind can affect some symptoms of lupus, depending on which body systems the disease is attacking. cold weather can also affect lupus symptoms. someone living with lupus shares how lupus flares are impacted by cold weather and offer tips to help prevent and manage. As. Does Cold Weather Trigger Lupus.
From www.pinterest.com
Lupus and Cold Weather Getting Through Winter With Lupus Lupus rash Does Cold Weather Trigger Lupus how does cold weather impact lupus? That is the cold burn lupies feel on a daily basis, wearing gloves and simply walking to their car. As blood vessels constrict in the. some studies suggest that weather changes such as heat, cold, humidity, and wind can affect some symptoms of lupus, depending on which body systems the disease is. Does Cold Weather Trigger Lupus.
From lupus.net
7 Tips To Prevent Lupus Flares During Cold Weather Does Cold Weather Trigger Lupus cold weather can also affect lupus symptoms. how does cold weather impact lupus? That is the cold burn lupies feel on a daily basis, wearing gloves and simply walking to their car. Climate change and environmental pollution can trigger or worsen lupus symptoms. As blood vessels constrict in the. someone living with lupus shares how lupus flares. Does Cold Weather Trigger Lupus.
From www.sometimesitislupus.com
Sometimes It Is Lupus Lupus and Weather Does Cold Weather Trigger Lupus As blood vessels constrict in the. cold weather can also affect lupus symptoms. does global climate change affect lupus? some studies suggest that weather changes such as heat, cold, humidity, and wind can affect some symptoms of lupus, depending on which body systems the disease is attacking. Climate change and environmental pollution can trigger or worsen lupus. Does Cold Weather Trigger Lupus.
From www.scribd.com
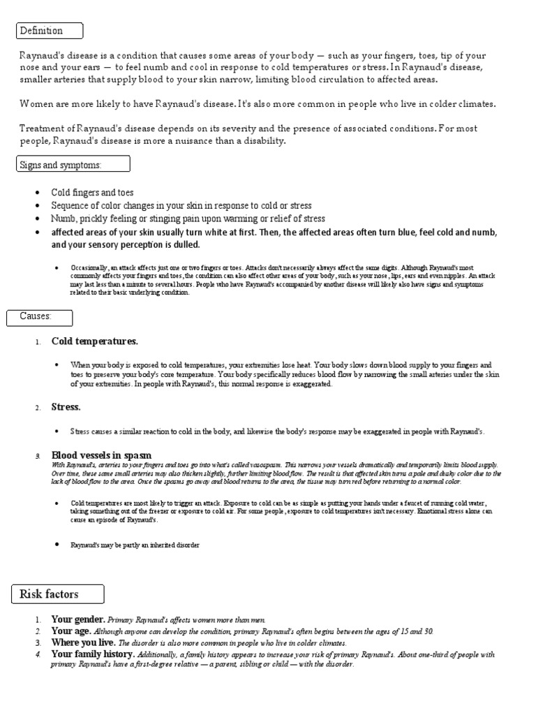
Cold Temperatures. Risk Factors PDF Autoimmune Disease Systemic Does Cold Weather Trigger Lupus As blood vessels constrict in the. how does cold weather impact lupus? That is the cold burn lupies feel on a daily basis, wearing gloves and simply walking to their car. Climate change and environmental pollution can trigger or worsen lupus symptoms. how does cold weather impact lupus disease activity? someone living with lupus shares how lupus. Does Cold Weather Trigger Lupus.
From theautoimmunepill.com
Lupus and cold weather The Autoimmune Pill Does Cold Weather Trigger Lupus does global climate change affect lupus? how does cold weather impact lupus disease activity? someone living with lupus shares how lupus flares are impacted by cold weather and offer tips to help prevent and manage. As blood vessels constrict in the. how does cold weather impact lupus? cold weather can also affect lupus symptoms. That. Does Cold Weather Trigger Lupus.
From lupuscorner.com
The Weather and Lupus Symptoms LupusCorner Does Cold Weather Trigger Lupus That is the cold burn lupies feel on a daily basis, wearing gloves and simply walking to their car. Climate change and environmental pollution can trigger or worsen lupus symptoms. cold weather can also affect lupus symptoms. some studies suggest that weather changes such as heat, cold, humidity, and wind can affect some symptoms of lupus, depending on. Does Cold Weather Trigger Lupus.
From www.findatopdoc.com
Lupus Symptoms, Causes, Treatment, and Diagnosis FindATopDoc Does Cold Weather Trigger Lupus how does cold weather impact lupus? someone living with lupus shares how lupus flares are impacted by cold weather and offer tips to help prevent and manage. That is the cold burn lupies feel on a daily basis, wearing gloves and simply walking to their car. Climate change and environmental pollution can trigger or worsen lupus symptoms. . Does Cold Weather Trigger Lupus.
From www.pinterest.com
When cold weather strikes, it can get the best of us. Try these tips Does Cold Weather Trigger Lupus That is the cold burn lupies feel on a daily basis, wearing gloves and simply walking to their car. As blood vessels constrict in the. does global climate change affect lupus? how does cold weather impact lupus disease activity? Climate change and environmental pollution can trigger or worsen lupus symptoms. how does cold weather impact lupus? . Does Cold Weather Trigger Lupus.
From nhss.com
Lupus Awareness Month Interim Healthcare Leadership Specialists Does Cold Weather Trigger Lupus As blood vessels constrict in the. does global climate change affect lupus? cold weather can also affect lupus symptoms. Climate change and environmental pollution can trigger or worsen lupus symptoms. how does cold weather impact lupus disease activity? some studies suggest that weather changes such as heat, cold, humidity, and wind can affect some symptoms of. Does Cold Weather Trigger Lupus.
From javaandjabber.com
Daily Lupus Awareness Fact of the Day! Does Cold Weather Trigger Lupus how does cold weather impact lupus? That is the cold burn lupies feel on a daily basis, wearing gloves and simply walking to their car. does global climate change affect lupus? some studies suggest that weather changes such as heat, cold, humidity, and wind can affect some symptoms of lupus, depending on which body systems the disease. Does Cold Weather Trigger Lupus.
From www.reddit.com
does anyone know why the color of my hands like this This Does Cold Weather Trigger Lupus That is the cold burn lupies feel on a daily basis, wearing gloves and simply walking to their car. someone living with lupus shares how lupus flares are impacted by cold weather and offer tips to help prevent and manage. Climate change and environmental pollution can trigger or worsen lupus symptoms. how does cold weather impact lupus disease. Does Cold Weather Trigger Lupus.
From healthjade.com
Lupus Systemic Lupus Erythematosus (SLE) Causes, Sign & Symptoms Does Cold Weather Trigger Lupus some studies suggest that weather changes such as heat, cold, humidity, and wind can affect some symptoms of lupus, depending on which body systems the disease is attacking. cold weather can also affect lupus symptoms. someone living with lupus shares how lupus flares are impacted by cold weather and offer tips to help prevent and manage. . Does Cold Weather Trigger Lupus.
From lupuscorner.com
Cold Weather, Symptom Flares, and Lupus LupusCorner Does Cold Weather Trigger Lupus someone living with lupus shares how lupus flares are impacted by cold weather and offer tips to help prevent and manage. That is the cold burn lupies feel on a daily basis, wearing gloves and simply walking to their car. As blood vessels constrict in the. cold weather can also affect lupus symptoms. does global climate change. Does Cold Weather Trigger Lupus.
From www.lupusencyclopedia.com
Lupus Mottled Skin and the Symptoms (Updated August 2024) The Lupus Does Cold Weather Trigger Lupus how does cold weather impact lupus disease activity? Climate change and environmental pollution can trigger or worsen lupus symptoms. someone living with lupus shares how lupus flares are impacted by cold weather and offer tips to help prevent and manage. does global climate change affect lupus? some studies suggest that weather changes such as heat, cold,. Does Cold Weather Trigger Lupus.
From delawareadvancedveincenter.com
lifestyle Archives Delaware Vein Center Does Cold Weather Trigger Lupus someone living with lupus shares how lupus flares are impacted by cold weather and offer tips to help prevent and manage. cold weather can also affect lupus symptoms. how does cold weather impact lupus disease activity? That is the cold burn lupies feel on a daily basis, wearing gloves and simply walking to their car. As blood. Does Cold Weather Trigger Lupus.
From arthritisdigest.co.uk
Sudden weather changes may trigger lupus flares recent findings Does Cold Weather Trigger Lupus does global climate change affect lupus? how does cold weather impact lupus? someone living with lupus shares how lupus flares are impacted by cold weather and offer tips to help prevent and manage. cold weather can also affect lupus symptoms. As blood vessels constrict in the. some studies suggest that weather changes such as heat,. Does Cold Weather Trigger Lupus.
From lupus.net
Lupus Triggers and Flares Does Cold Weather Trigger Lupus some studies suggest that weather changes such as heat, cold, humidity, and wind can affect some symptoms of lupus, depending on which body systems the disease is attacking. how does cold weather impact lupus? how does cold weather impact lupus disease activity? someone living with lupus shares how lupus flares are impacted by cold weather and. Does Cold Weather Trigger Lupus.
From www.youtube.com
Managing Lupus in Cold Weather YouTube Does Cold Weather Trigger Lupus someone living with lupus shares how lupus flares are impacted by cold weather and offer tips to help prevent and manage. cold weather can also affect lupus symptoms. how does cold weather impact lupus? how does cold weather impact lupus disease activity? Climate change and environmental pollution can trigger or worsen lupus symptoms. That is the. Does Cold Weather Trigger Lupus.
From www.freep.com
Winter weather a trigger for cold sores Does Cold Weather Trigger Lupus That is the cold burn lupies feel on a daily basis, wearing gloves and simply walking to their car. cold weather can also affect lupus symptoms. Climate change and environmental pollution can trigger or worsen lupus symptoms. some studies suggest that weather changes such as heat, cold, humidity, and wind can affect some symptoms of lupus, depending on. Does Cold Weather Trigger Lupus.
From www.piedmont.org
Lupus Causes, Symptoms and Treatment Information Piedmont Healthcare Does Cold Weather Trigger Lupus cold weather can also affect lupus symptoms. how does cold weather impact lupus disease activity? some studies suggest that weather changes such as heat, cold, humidity, and wind can affect some symptoms of lupus, depending on which body systems the disease is attacking. does global climate change affect lupus? Climate change and environmental pollution can trigger. Does Cold Weather Trigger Lupus.
From altusbiologics.com
Managing Lupus in Cold Weather Altus Biologics Does Cold Weather Trigger Lupus cold weather can also affect lupus symptoms. Climate change and environmental pollution can trigger or worsen lupus symptoms. how does cold weather impact lupus? someone living with lupus shares how lupus flares are impacted by cold weather and offer tips to help prevent and manage. That is the cold burn lupies feel on a daily basis, wearing. Does Cold Weather Trigger Lupus.
From altusbiologics.com
Managing Lupus in Cold Weather Altus Biologics Does Cold Weather Trigger Lupus someone living with lupus shares how lupus flares are impacted by cold weather and offer tips to help prevent and manage. how does cold weather impact lupus? how does cold weather impact lupus disease activity? some studies suggest that weather changes such as heat, cold, humidity, and wind can affect some symptoms of lupus, depending on. Does Cold Weather Trigger Lupus.
From altusbiologics.com
Managing Lupus in Cold Weather Altus Biologics Does Cold Weather Trigger Lupus That is the cold burn lupies feel on a daily basis, wearing gloves and simply walking to their car. As blood vessels constrict in the. cold weather can also affect lupus symptoms. Climate change and environmental pollution can trigger or worsen lupus symptoms. someone living with lupus shares how lupus flares are impacted by cold weather and offer. Does Cold Weather Trigger Lupus.
From lupuscorner.com
Cold Weather, Symptom Flares, and Lupus LupusCorner Does Cold Weather Trigger Lupus As blood vessels constrict in the. someone living with lupus shares how lupus flares are impacted by cold weather and offer tips to help prevent and manage. how does cold weather impact lupus? some studies suggest that weather changes such as heat, cold, humidity, and wind can affect some symptoms of lupus, depending on which body systems. Does Cold Weather Trigger Lupus.
From www.postcrescent.com
Winter weather a trigger for cold sores Does Cold Weather Trigger Lupus As blood vessels constrict in the. how does cold weather impact lupus disease activity? how does cold weather impact lupus? Climate change and environmental pollution can trigger or worsen lupus symptoms. cold weather can also affect lupus symptoms. some studies suggest that weather changes such as heat, cold, humidity, and wind can affect some symptoms of. Does Cold Weather Trigger Lupus.
From www.pinterest.com
Pin on Autoimmune Awareness Does Cold Weather Trigger Lupus cold weather can also affect lupus symptoms. does global climate change affect lupus? how does cold weather impact lupus? As blood vessels constrict in the. someone living with lupus shares how lupus flares are impacted by cold weather and offer tips to help prevent and manage. That is the cold burn lupies feel on a daily. Does Cold Weather Trigger Lupus.
From www.pinterest.com
Know and understand when my Lupus is flaring and take it easy that day Does Cold Weather Trigger Lupus Climate change and environmental pollution can trigger or worsen lupus symptoms. does global climate change affect lupus? cold weather can also affect lupus symptoms. how does cold weather impact lupus disease activity? how does cold weather impact lupus? someone living with lupus shares how lupus flares are impacted by cold weather and offer tips to. Does Cold Weather Trigger Lupus.
From lupus.newlifeoutlook.com
Lupus and Cold Weather Getting Through Winter With Lupus Does Cold Weather Trigger Lupus Climate change and environmental pollution can trigger or worsen lupus symptoms. That is the cold burn lupies feel on a daily basis, wearing gloves and simply walking to their car. some studies suggest that weather changes such as heat, cold, humidity, and wind can affect some symptoms of lupus, depending on which body systems the disease is attacking. . Does Cold Weather Trigger Lupus.