How Does Electron Volts Work . electron volt, unit of energy commonly used in atomic and nuclear physics, equal to the energy gained by an electron (a charged. explain electron volt and its usage in submicroscopic process. an electron volt (ev) is a unit of energy equal to the amount of kinetic energy gained or lost by an electron when it moves through an. energies in electron volts. When a free positive charge q is accelerated by an electric field, such as shown in. revision notes on 22.1.2 the electronvolt for the cie a level physics syllabus, written by the physics experts at save my exams. Room temperature thermal energy of a molecule.0.04 ev.
from www.gkseries.com
explain electron volt and its usage in submicroscopic process. When a free positive charge q is accelerated by an electric field, such as shown in. revision notes on 22.1.2 the electronvolt for the cie a level physics syllabus, written by the physics experts at save my exams. Room temperature thermal energy of a molecule.0.04 ev. an electron volt (ev) is a unit of energy equal to the amount of kinetic energy gained or lost by an electron when it moves through an. energies in electron volts. electron volt, unit of energy commonly used in atomic and nuclear physics, equal to the energy gained by an electron (a charged.
Electron volt is a unit of
How Does Electron Volts Work Room temperature thermal energy of a molecule.0.04 ev. energies in electron volts. explain electron volt and its usage in submicroscopic process. electron volt, unit of energy commonly used in atomic and nuclear physics, equal to the energy gained by an electron (a charged. When a free positive charge q is accelerated by an electric field, such as shown in. Room temperature thermal energy of a molecule.0.04 ev. an electron volt (ev) is a unit of energy equal to the amount of kinetic energy gained or lost by an electron when it moves through an. revision notes on 22.1.2 the electronvolt for the cie a level physics syllabus, written by the physics experts at save my exams.
From www.youtube.com
Electron Energy Levels and Photons IB Physics YouTube How Does Electron Volts Work electron volt, unit of energy commonly used in atomic and nuclear physics, equal to the energy gained by an electron (a charged. an electron volt (ev) is a unit of energy equal to the amount of kinetic energy gained or lost by an electron when it moves through an. When a free positive charge q is accelerated by. How Does Electron Volts Work.
From www.slideserve.com
PPT 5. Electric Currents PowerPoint Presentation, free download ID How Does Electron Volts Work an electron volt (ev) is a unit of energy equal to the amount of kinetic energy gained or lost by an electron when it moves through an. When a free positive charge q is accelerated by an electric field, such as shown in. explain electron volt and its usage in submicroscopic process. Room temperature thermal energy of a. How Does Electron Volts Work.
From www.slideserve.com
PPT Chapter 16 PowerPoint Presentation, free download ID580025 How Does Electron Volts Work electron volt, unit of energy commonly used in atomic and nuclear physics, equal to the energy gained by an electron (a charged. Room temperature thermal energy of a molecule.0.04 ev. an electron volt (ev) is a unit of energy equal to the amount of kinetic energy gained or lost by an electron when it moves through an. When. How Does Electron Volts Work.
From bdteletalk.com
Electron Volt To Volts How Does Electron Volts Work energies in electron volts. When a free positive charge q is accelerated by an electric field, such as shown in. revision notes on 22.1.2 the electronvolt for the cie a level physics syllabus, written by the physics experts at save my exams. Room temperature thermal energy of a molecule.0.04 ev. electron volt, unit of energy commonly used. How Does Electron Volts Work.
From www.slideserve.com
PPT Chapter 25 electric potential PowerPoint Presentation, free How Does Electron Volts Work energies in electron volts. revision notes on 22.1.2 the electronvolt for the cie a level physics syllabus, written by the physics experts at save my exams. electron volt, unit of energy commonly used in atomic and nuclear physics, equal to the energy gained by an electron (a charged. When a free positive charge q is accelerated by. How Does Electron Volts Work.
From www.slideserve.com
PPT Chapter 27 Quantum Theory PowerPoint Presentation, free download How Does Electron Volts Work revision notes on 22.1.2 the electronvolt for the cie a level physics syllabus, written by the physics experts at save my exams. explain electron volt and its usage in submicroscopic process. electron volt, unit of energy commonly used in atomic and nuclear physics, equal to the energy gained by an electron (a charged. When a free positive. How Does Electron Volts Work.
From www.inspectapedia.com
How Electricity Works basics for homeowners How Does Electron Volts Work energies in electron volts. revision notes on 22.1.2 the electronvolt for the cie a level physics syllabus, written by the physics experts at save my exams. Room temperature thermal energy of a molecule.0.04 ev. explain electron volt and its usage in submicroscopic process. When a free positive charge q is accelerated by an electric field, such as. How Does Electron Volts Work.
From www.youtube.com
Electron Volts YouTube How Does Electron Volts Work an electron volt (ev) is a unit of energy equal to the amount of kinetic energy gained or lost by an electron when it moves through an. explain electron volt and its usage in submicroscopic process. Room temperature thermal energy of a molecule.0.04 ev. When a free positive charge q is accelerated by an electric field, such as. How Does Electron Volts Work.
From www.gkseries.com
Electron volt is a unit of How Does Electron Volts Work energies in electron volts. electron volt, unit of energy commonly used in atomic and nuclear physics, equal to the energy gained by an electron (a charged. an electron volt (ev) is a unit of energy equal to the amount of kinetic energy gained or lost by an electron when it moves through an. explain electron volt. How Does Electron Volts Work.
From www.youtube.com
How many electron volt make one joule? YouTube How Does Electron Volts Work explain electron volt and its usage in submicroscopic process. Room temperature thermal energy of a molecule.0.04 ev. revision notes on 22.1.2 the electronvolt for the cie a level physics syllabus, written by the physics experts at save my exams. electron volt, unit of energy commonly used in atomic and nuclear physics, equal to the energy gained by. How Does Electron Volts Work.
From www.pearson.com
Electron Volt Explained, Conversion to Joules, Basic Introduction How Does Electron Volts Work energies in electron volts. When a free positive charge q is accelerated by an electric field, such as shown in. an electron volt (ev) is a unit of energy equal to the amount of kinetic energy gained or lost by an electron when it moves through an. explain electron volt and its usage in submicroscopic process. Room. How Does Electron Volts Work.
From www.youtube.com
Electron Volts and Joules YouTube How Does Electron Volts Work an electron volt (ev) is a unit of energy equal to the amount of kinetic energy gained or lost by an electron when it moves through an. Room temperature thermal energy of a molecule.0.04 ev. explain electron volt and its usage in submicroscopic process. revision notes on 22.1.2 the electronvolt for the cie a level physics syllabus,. How Does Electron Volts Work.
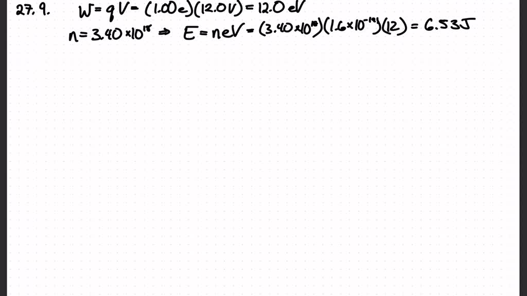
From www.numerade.com
SOLVED(a) In electronvolts, how much work does an ideal battery with How Does Electron Volts Work electron volt, unit of energy commonly used in atomic and nuclear physics, equal to the energy gained by an electron (a charged. explain electron volt and its usage in submicroscopic process. energies in electron volts. When a free positive charge q is accelerated by an electric field, such as shown in. an electron volt (ev) is. How Does Electron Volts Work.
From nsmn1.uh.edu
The electronvolt How Does Electron Volts Work an electron volt (ev) is a unit of energy equal to the amount of kinetic energy gained or lost by an electron when it moves through an. When a free positive charge q is accelerated by an electric field, such as shown in. energies in electron volts. Room temperature thermal energy of a molecule.0.04 ev. revision notes. How Does Electron Volts Work.
From www.slideserve.com
PPT Chapter 27 Quantum Theory PowerPoint Presentation, free download How Does Electron Volts Work an electron volt (ev) is a unit of energy equal to the amount of kinetic energy gained or lost by an electron when it moves through an. When a free positive charge q is accelerated by an electric field, such as shown in. explain electron volt and its usage in submicroscopic process. energies in electron volts. . How Does Electron Volts Work.
From www.youtube.com
Electron volt is a unit of YouTube How Does Electron Volts Work revision notes on 22.1.2 the electronvolt for the cie a level physics syllabus, written by the physics experts at save my exams. an electron volt (ev) is a unit of energy equal to the amount of kinetic energy gained or lost by an electron when it moves through an. explain electron volt and its usage in submicroscopic. How Does Electron Volts Work.
From www.youtube.com
What is an Electron Volt? YouTube How Does Electron Volts Work When a free positive charge q is accelerated by an electric field, such as shown in. explain electron volt and its usage in submicroscopic process. Room temperature thermal energy of a molecule.0.04 ev. an electron volt (ev) is a unit of energy equal to the amount of kinetic energy gained or lost by an electron when it moves. How Does Electron Volts Work.
From www.ency123.com
Electricity for Kids What Does Voltage Mean? Ency123 How Does Electron Volts Work revision notes on 22.1.2 the electronvolt for the cie a level physics syllabus, written by the physics experts at save my exams. electron volt, unit of energy commonly used in atomic and nuclear physics, equal to the energy gained by an electron (a charged. energies in electron volts. explain electron volt and its usage in submicroscopic. How Does Electron Volts Work.
From www.youtube.com
Electron Volt Explained, Conversion to Joules, Basic Introduction YouTube How Does Electron Volts Work electron volt, unit of energy commonly used in atomic and nuclear physics, equal to the energy gained by an electron (a charged. explain electron volt and its usage in submicroscopic process. an electron volt (ev) is a unit of energy equal to the amount of kinetic energy gained or lost by an electron when it moves through. How Does Electron Volts Work.
From www.youtube.com
Joules to electronvolts conversion and viceversa YouTube How Does Electron Volts Work revision notes on 22.1.2 the electronvolt for the cie a level physics syllabus, written by the physics experts at save my exams. explain electron volt and its usage in submicroscopic process. an electron volt (ev) is a unit of energy equal to the amount of kinetic energy gained or lost by an electron when it moves through. How Does Electron Volts Work.
From energytheory.com
What is Electron Volt(eV)? Energy Theory How Does Electron Volts Work explain electron volt and its usage in submicroscopic process. revision notes on 22.1.2 the electronvolt for the cie a level physics syllabus, written by the physics experts at save my exams. When a free positive charge q is accelerated by an electric field, such as shown in. an electron volt (ev) is a unit of energy equal. How Does Electron Volts Work.
From www.youtube.com
1 electron volts YouTube How Does Electron Volts Work When a free positive charge q is accelerated by an electric field, such as shown in. Room temperature thermal energy of a molecule.0.04 ev. an electron volt (ev) is a unit of energy equal to the amount of kinetic energy gained or lost by an electron when it moves through an. energies in electron volts. electron volt,. How Does Electron Volts Work.
From nerdytechy.com
Volt to ElectronVolt (V to eV) Conversion Calculator NerdyTechy How Does Electron Volts Work Room temperature thermal energy of a molecule.0.04 ev. energies in electron volts. When a free positive charge q is accelerated by an electric field, such as shown in. revision notes on 22.1.2 the electronvolt for the cie a level physics syllabus, written by the physics experts at save my exams. electron volt, unit of energy commonly used. How Does Electron Volts Work.
From thescienceandmathszone.com
Electronvolts The Science and Maths Zone How Does Electron Volts Work an electron volt (ev) is a unit of energy equal to the amount of kinetic energy gained or lost by an electron when it moves through an. When a free positive charge q is accelerated by an electric field, such as shown in. energies in electron volts. electron volt, unit of energy commonly used in atomic and. How Does Electron Volts Work.
From www.youtube.com
6 What is electron volt and why it is used to measure energy instead of How Does Electron Volts Work an electron volt (ev) is a unit of energy equal to the amount of kinetic energy gained or lost by an electron when it moves through an. When a free positive charge q is accelerated by an electric field, such as shown in. revision notes on 22.1.2 the electronvolt for the cie a level physics syllabus, written by. How Does Electron Volts Work.
From www.slideserve.com
PPT PHYSICS UNIT 7 ELECTRICITY PowerPoint Presentation, free How Does Electron Volts Work When a free positive charge q is accelerated by an electric field, such as shown in. an electron volt (ev) is a unit of energy equal to the amount of kinetic energy gained or lost by an electron when it moves through an. electron volt, unit of energy commonly used in atomic and nuclear physics, equal to the. How Does Electron Volts Work.
From www.youtube.com
Electron Volts YouTube How Does Electron Volts Work explain electron volt and its usage in submicroscopic process. When a free positive charge q is accelerated by an electric field, such as shown in. revision notes on 22.1.2 the electronvolt for the cie a level physics syllabus, written by the physics experts at save my exams. energies in electron volts. electron volt, unit of energy. How Does Electron Volts Work.
From www.youtube.com
What Exactly is The Electronvolt? A Level Physics YouTube How Does Electron Volts Work When a free positive charge q is accelerated by an electric field, such as shown in. electron volt, unit of energy commonly used in atomic and nuclear physics, equal to the energy gained by an electron (a charged. Room temperature thermal energy of a molecule.0.04 ev. energies in electron volts. explain electron volt and its usage in. How Does Electron Volts Work.
From www.youtube.com
Electron Volt (eV) What is it? (Plus Conversion to Joules) YouTube How Does Electron Volts Work Room temperature thermal energy of a molecule.0.04 ev. electron volt, unit of energy commonly used in atomic and nuclear physics, equal to the energy gained by an electron (a charged. energies in electron volts. explain electron volt and its usage in submicroscopic process. an electron volt (ev) is a unit of energy equal to the amount. How Does Electron Volts Work.
From www.coursehero.com
[Solved] Show that the energy in electron volts of one photon is How Does Electron Volts Work revision notes on 22.1.2 the electronvolt for the cie a level physics syllabus, written by the physics experts at save my exams. energies in electron volts. an electron volt (ev) is a unit of energy equal to the amount of kinetic energy gained or lost by an electron when it moves through an. explain electron volt. How Does Electron Volts Work.
From theengineeringmindset.com
How Electricity Works The Engineering Mindset How Does Electron Volts Work revision notes on 22.1.2 the electronvolt for the cie a level physics syllabus, written by the physics experts at save my exams. explain electron volt and its usage in submicroscopic process. When a free positive charge q is accelerated by an electric field, such as shown in. Room temperature thermal energy of a molecule.0.04 ev. energies in. How Does Electron Volts Work.
From www.slideserve.com
PPT Physics Day 15 PowerPoint Presentation, free download ID3296807 How Does Electron Volts Work explain electron volt and its usage in submicroscopic process. electron volt, unit of energy commonly used in atomic and nuclear physics, equal to the energy gained by an electron (a charged. Room temperature thermal energy of a molecule.0.04 ev. an electron volt (ev) is a unit of energy equal to the amount of kinetic energy gained or. How Does Electron Volts Work.
From www.numerade.com
SOLVED(a) In electronvolts, how much work does an ideal battery with How Does Electron Volts Work Room temperature thermal energy of a molecule.0.04 ev. electron volt, unit of energy commonly used in atomic and nuclear physics, equal to the energy gained by an electron (a charged. explain electron volt and its usage in submicroscopic process. When a free positive charge q is accelerated by an electric field, such as shown in. an electron. How Does Electron Volts Work.
From www.youtube.com
Electron Energy Levels Example YouTube How Does Electron Volts Work an electron volt (ev) is a unit of energy equal to the amount of kinetic energy gained or lost by an electron when it moves through an. explain electron volt and its usage in submicroscopic process. electron volt, unit of energy commonly used in atomic and nuclear physics, equal to the energy gained by an electron (a. How Does Electron Volts Work.
From www.youtube.com
Electron volt Electrostatics Electron volt and Joules class 12 How Does Electron Volts Work explain electron volt and its usage in submicroscopic process. an electron volt (ev) is a unit of energy equal to the amount of kinetic energy gained or lost by an electron when it moves through an. When a free positive charge q is accelerated by an electric field, such as shown in. Room temperature thermal energy of a. How Does Electron Volts Work.