H2So4 Koh Titration . The purpose of such procedure is to determine the concentration of an acid or a base to a precise value (several. A student titrated a 25.0 cm3. Titration is a procedure by which an acid with a base are neutralized. In this titration, the burette is filled with. You can reduce the cognitive load by careful scaffolding using the table method. The example below demonstrates the technique to solve a titration problem for a titration of sulfuric acid with sodium hydroxide. Our titration calculator will help you never have to ask how do i calculate titrations? again. In my latest chem lab the objective was to create a primary standard of $\ce {naoh}$ and use it to determine the concentration of. This neutralisation reaction can be used as the basis of a titration as shown in the diagram on the right.
from www.youtube.com
Our titration calculator will help you never have to ask how do i calculate titrations? again. The purpose of such procedure is to determine the concentration of an acid or a base to a precise value (several. This neutralisation reaction can be used as the basis of a titration as shown in the diagram on the right. The example below demonstrates the technique to solve a titration problem for a titration of sulfuric acid with sodium hydroxide. You can reduce the cognitive load by careful scaffolding using the table method. A student titrated a 25.0 cm3. Titration is a procedure by which an acid with a base are neutralized. In my latest chem lab the objective was to create a primary standard of $\ce {naoh}$ and use it to determine the concentration of. In this titration, the burette is filled with.
KOH+H2SO4=K2SO4+H2O Balance the chemical equation mydocumentary838
H2So4 Koh Titration In this titration, the burette is filled with. A student titrated a 25.0 cm3. Our titration calculator will help you never have to ask how do i calculate titrations? again. This neutralisation reaction can be used as the basis of a titration as shown in the diagram on the right. The example below demonstrates the technique to solve a titration problem for a titration of sulfuric acid with sodium hydroxide. Titration is a procedure by which an acid with a base are neutralized. In this titration, the burette is filled with. You can reduce the cognitive load by careful scaffolding using the table method. In my latest chem lab the objective was to create a primary standard of $\ce {naoh}$ and use it to determine the concentration of. The purpose of such procedure is to determine the concentration of an acid or a base to a precise value (several.
From www.numerade.com
SOLVED 'The reaction between potassium hydroxide and sulfuric acid is H2So4 Koh Titration In this titration, the burette is filled with. You can reduce the cognitive load by careful scaffolding using the table method. In my latest chem lab the objective was to create a primary standard of $\ce {naoh}$ and use it to determine the concentration of. Our titration calculator will help you never have to ask how do i calculate titrations?. H2So4 Koh Titration.
From www.facebook.com
Balance KOH + H2SO4 = K2SO4 + H2O (Potassium Hydroxide and Sulfuric H2So4 Koh Titration In my latest chem lab the objective was to create a primary standard of $\ce {naoh}$ and use it to determine the concentration of. A student titrated a 25.0 cm3. The purpose of such procedure is to determine the concentration of an acid or a base to a precise value (several. This neutralisation reaction can be used as the basis. H2So4 Koh Titration.
From www.assignmentexpert.com
Answer in General Chemistry for cath 350286 H2So4 Koh Titration A student titrated a 25.0 cm3. Titration is a procedure by which an acid with a base are neutralized. Our titration calculator will help you never have to ask how do i calculate titrations? again. In my latest chem lab the objective was to create a primary standard of $\ce {naoh}$ and use it to determine the concentration of. The. H2So4 Koh Titration.
From giasudiem10.edu.vn
KOH + H2SO4 Phương trình hóa học và bài tập vận dụng H2So4 Koh Titration Our titration calculator will help you never have to ask how do i calculate titrations? again. This neutralisation reaction can be used as the basis of a titration as shown in the diagram on the right. Titration is a procedure by which an acid with a base are neutralized. In this titration, the burette is filled with. The example below. H2So4 Koh Titration.
From www.youtube.com
KOH AND H2SO4 TITRATION YouTube H2So4 Koh Titration A student titrated a 25.0 cm3. In this titration, the burette is filled with. You can reduce the cognitive load by careful scaffolding using the table method. In my latest chem lab the objective was to create a primary standard of $\ce {naoh}$ and use it to determine the concentration of. This neutralisation reaction can be used as the basis. H2So4 Koh Titration.
From www.numerade.com
SOLVED Write a balanced equation for the corresponding titration H2So4 Koh Titration You can reduce the cognitive load by careful scaffolding using the table method. The example below demonstrates the technique to solve a titration problem for a titration of sulfuric acid with sodium hydroxide. The purpose of such procedure is to determine the concentration of an acid or a base to a precise value (several. In this titration, the burette is. H2So4 Koh Titration.
From www.youtube.com
How to balance KOH+H2SO4=K2SO4+H2OChemical equation KOH+H2SO4=K2SO4 H2So4 Koh Titration The purpose of such procedure is to determine the concentration of an acid or a base to a precise value (several. You can reduce the cognitive load by careful scaffolding using the table method. Titration is a procedure by which an acid with a base are neutralized. This neutralisation reaction can be used as the basis of a titration as. H2So4 Koh Titration.
From www.studypool.com
SOLUTION Estimation of koh with standardized h2so4 titration H2So4 Koh Titration Titration is a procedure by which an acid with a base are neutralized. In this titration, the burette is filled with. The example below demonstrates the technique to solve a titration problem for a titration of sulfuric acid with sodium hydroxide. Our titration calculator will help you never have to ask how do i calculate titrations? again. The purpose of. H2So4 Koh Titration.
From www.studypool.com
SOLUTION Estimation of koh with standardized h2so4 titration H2So4 Koh Titration In my latest chem lab the objective was to create a primary standard of $\ce {naoh}$ and use it to determine the concentration of. Our titration calculator will help you never have to ask how do i calculate titrations? again. The example below demonstrates the technique to solve a titration problem for a titration of sulfuric acid with sodium hydroxide.. H2So4 Koh Titration.
From slideplayer.com
Acid Base Titrations Lesson ppt download H2So4 Koh Titration In this titration, the burette is filled with. Our titration calculator will help you never have to ask how do i calculate titrations? again. A student titrated a 25.0 cm3. This neutralisation reaction can be used as the basis of a titration as shown in the diagram on the right. The example below demonstrates the technique to solve a titration. H2So4 Koh Titration.
From slideplayer.com
Ch. 15 & 16 Acids & Bases III. Titration (p ) ppt download H2So4 Koh Titration Titration is a procedure by which an acid with a base are neutralized. In this titration, the burette is filled with. In my latest chem lab the objective was to create a primary standard of $\ce {naoh}$ and use it to determine the concentration of. The example below demonstrates the technique to solve a titration problem for a titration of. H2So4 Koh Titration.
From www.numerade.com
SOLVED During a titration, 10.00 mL of sulphuric acid, H2SO4 is H2So4 Koh Titration Our titration calculator will help you never have to ask how do i calculate titrations? again. The purpose of such procedure is to determine the concentration of an acid or a base to a precise value (several. The example below demonstrates the technique to solve a titration problem for a titration of sulfuric acid with sodium hydroxide. Titration is a. H2So4 Koh Titration.
From www.chegg.com
Solved (a) A titration is performed to determine the H2So4 Koh Titration This neutralisation reaction can be used as the basis of a titration as shown in the diagram on the right. Our titration calculator will help you never have to ask how do i calculate titrations? again. In my latest chem lab the objective was to create a primary standard of $\ce {naoh}$ and use it to determine the concentration of.. H2So4 Koh Titration.
From www.researchgate.net
Titration of 1 mL diluted bath (H2SO4/H3PO4) with 0.5 M NaOH in water H2So4 Koh Titration This neutralisation reaction can be used as the basis of a titration as shown in the diagram on the right. In this titration, the burette is filled with. Our titration calculator will help you never have to ask how do i calculate titrations? again. A student titrated a 25.0 cm3. Titration is a procedure by which an acid with a. H2So4 Koh Titration.
From www.youtube.com
KOH+H2SO4=K2SO4+H2O Balance the chemical equation mydocumentary838 H2So4 Koh Titration You can reduce the cognitive load by careful scaffolding using the table method. Our titration calculator will help you never have to ask how do i calculate titrations? again. In this titration, the burette is filled with. Titration is a procedure by which an acid with a base are neutralized. The purpose of such procedure is to determine the concentration. H2So4 Koh Titration.
From mavink.com
H2so4 Titration Curve H2So4 Koh Titration This neutralisation reaction can be used as the basis of a titration as shown in the diagram on the right. Titration is a procedure by which an acid with a base are neutralized. The example below demonstrates the technique to solve a titration problem for a titration of sulfuric acid with sodium hydroxide. In my latest chem lab the objective. H2So4 Koh Titration.
From www.youtube.com
How to Write the Net Ionic Equation for KOH + H2SO4 = K2SO4 + H2O YouTube H2So4 Koh Titration Our titration calculator will help you never have to ask how do i calculate titrations? again. This neutralisation reaction can be used as the basis of a titration as shown in the diagram on the right. Titration is a procedure by which an acid with a base are neutralized. The example below demonstrates the technique to solve a titration problem. H2So4 Koh Titration.
From www.numerade.com
SOLVED Using the following data of the results of a titration with H2So4 Koh Titration The purpose of such procedure is to determine the concentration of an acid or a base to a precise value (several. In this titration, the burette is filled with. The example below demonstrates the technique to solve a titration problem for a titration of sulfuric acid with sodium hydroxide. A student titrated a 25.0 cm3. In my latest chem lab. H2So4 Koh Titration.
From www.numerade.com
SOLVED Describe what happens at the molecular level when the H2So4 Koh Titration The example below demonstrates the technique to solve a titration problem for a titration of sulfuric acid with sodium hydroxide. The purpose of such procedure is to determine the concentration of an acid or a base to a precise value (several. You can reduce the cognitive load by careful scaffolding using the table method. In this titration, the burette is. H2So4 Koh Titration.
From www.azom.com
Titrating Acid Mixtures H2So4 Koh Titration This neutralisation reaction can be used as the basis of a titration as shown in the diagram on the right. A student titrated a 25.0 cm3. Our titration calculator will help you never have to ask how do i calculate titrations? again. You can reduce the cognitive load by careful scaffolding using the table method. In my latest chem lab. H2So4 Koh Titration.
From byjus.com
calculate the PH of solution containing 0.98g H2SO4 in 100 mL of water H2So4 Koh Titration This neutralisation reaction can be used as the basis of a titration as shown in the diagram on the right. The example below demonstrates the technique to solve a titration problem for a titration of sulfuric acid with sodium hydroxide. In my latest chem lab the objective was to create a primary standard of $\ce {naoh}$ and use it to. H2So4 Koh Titration.
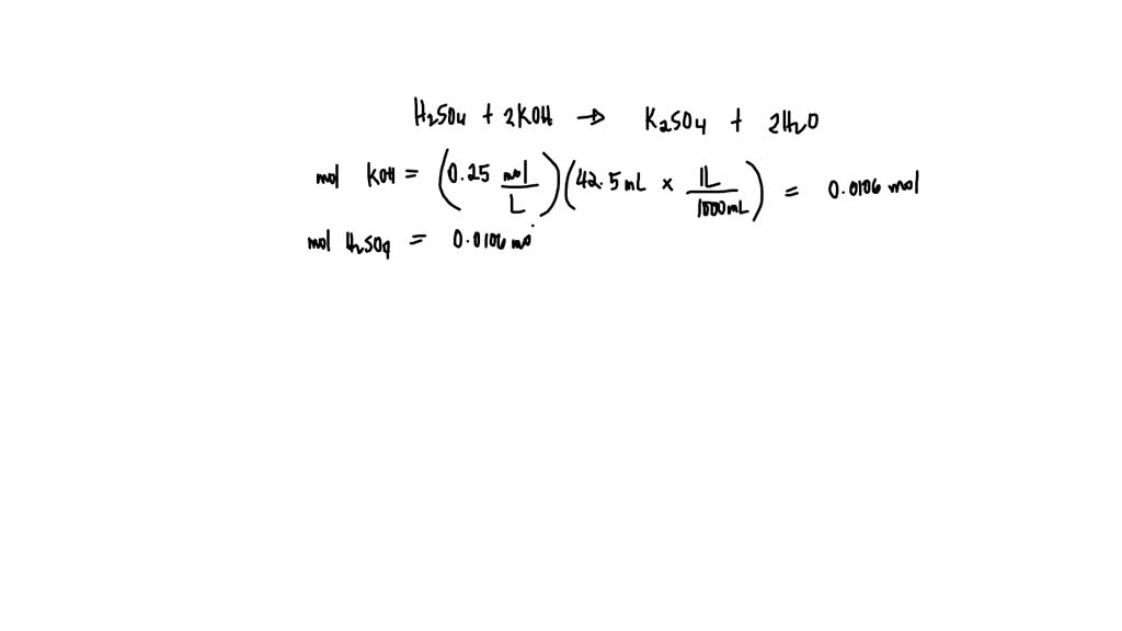
From www.numerade.com
SOLVED 42.5 ml of solution of 0.25 M KOH was required to completely H2So4 Koh Titration In this titration, the burette is filled with. In my latest chem lab the objective was to create a primary standard of $\ce {naoh}$ and use it to determine the concentration of. You can reduce the cognitive load by careful scaffolding using the table method. The example below demonstrates the technique to solve a titration problem for a titration of. H2So4 Koh Titration.
From www.numerade.com
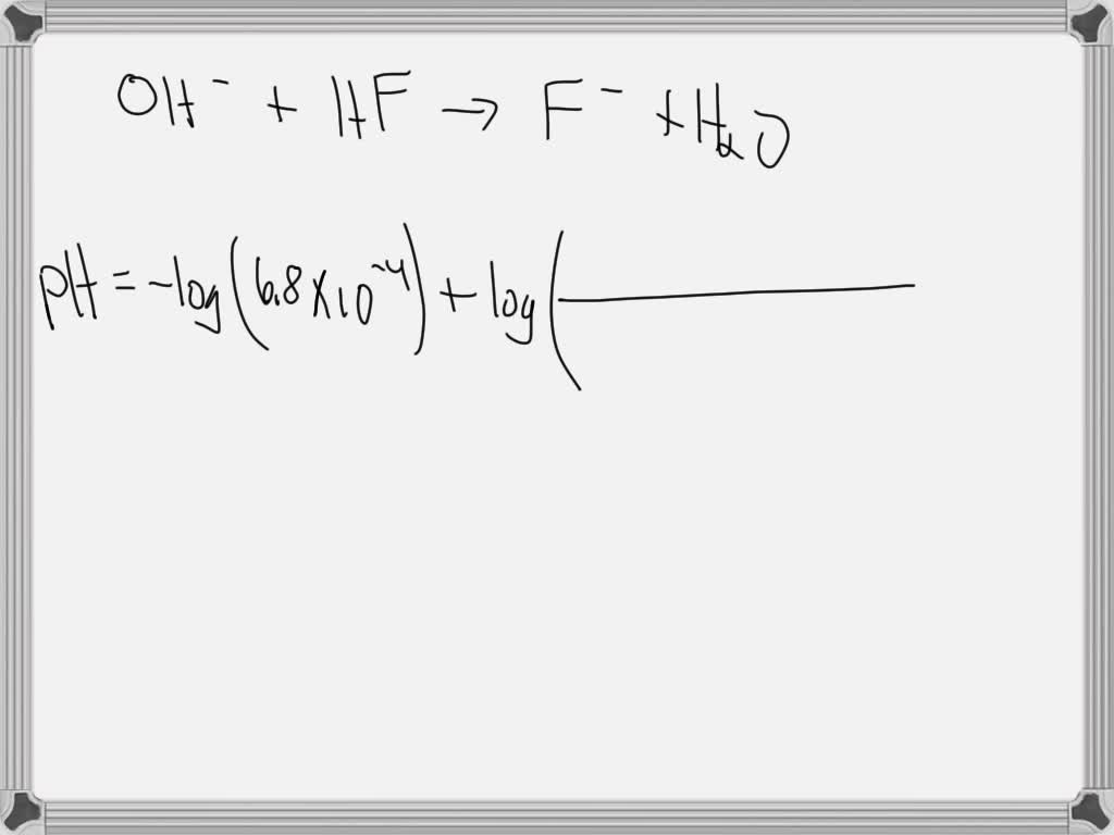
Determine the pH during the titration of 30 mL of 3.0M KOH with 1.5M H2So4 Koh Titration You can reduce the cognitive load by careful scaffolding using the table method. A student titrated a 25.0 cm3. This neutralisation reaction can be used as the basis of a titration as shown in the diagram on the right. Titration is a procedure by which an acid with a base are neutralized. The example below demonstrates the technique to solve. H2So4 Koh Titration.
From www.numerade.com
A student carried out a titration using H2SO4 and KOH. The balanced H2So4 Koh Titration In this titration, the burette is filled with. The example below demonstrates the technique to solve a titration problem for a titration of sulfuric acid with sodium hydroxide. In my latest chem lab the objective was to create a primary standard of $\ce {naoh}$ and use it to determine the concentration of. This neutralisation reaction can be used as the. H2So4 Koh Titration.
From www.chegg.com
Solved 4. Consider the titration of 50.0 ml of 2.0 KOH. H2So4 Koh Titration Our titration calculator will help you never have to ask how do i calculate titrations? again. This neutralisation reaction can be used as the basis of a titration as shown in the diagram on the right. The example below demonstrates the technique to solve a titration problem for a titration of sulfuric acid with sodium hydroxide. You can reduce the. H2So4 Koh Titration.
From slideplayer.com
Acid/Base Titration. ppt download H2So4 Koh Titration A student titrated a 25.0 cm3. The example below demonstrates the technique to solve a titration problem for a titration of sulfuric acid with sodium hydroxide. The purpose of such procedure is to determine the concentration of an acid or a base to a precise value (several. Titration is a procedure by which an acid with a base are neutralized.. H2So4 Koh Titration.
From www.studypool.com
SOLUTION Solution for a student carried out a titration using h2so4 H2So4 Koh Titration This neutralisation reaction can be used as the basis of a titration as shown in the diagram on the right. In my latest chem lab the objective was to create a primary standard of $\ce {naoh}$ and use it to determine the concentration of. A student titrated a 25.0 cm3. The example below demonstrates the technique to solve a titration. H2So4 Koh Titration.
From oneclass.com
OneClass Write the balanced neutralization reaction between H2SO4 and H2So4 Koh Titration Our titration calculator will help you never have to ask how do i calculate titrations? again. In this titration, the burette is filled with. Titration is a procedure by which an acid with a base are neutralized. The example below demonstrates the technique to solve a titration problem for a titration of sulfuric acid with sodium hydroxide. A student titrated. H2So4 Koh Titration.
From w20.b2m.cz
H2so4 Koh K2so4 H2o EDUCA H2So4 Koh Titration The purpose of such procedure is to determine the concentration of an acid or a base to a precise value (several. Titration is a procedure by which an acid with a base are neutralized. The example below demonstrates the technique to solve a titration problem for a titration of sulfuric acid with sodium hydroxide. Our titration calculator will help you. H2So4 Koh Titration.
From www.youtube.com
Type of Reaction for KOH + H2SO4 = K2SO4 + H2O YouTube H2So4 Koh Titration Titration is a procedure by which an acid with a base are neutralized. You can reduce the cognitive load by careful scaffolding using the table method. A student titrated a 25.0 cm3. In my latest chem lab the objective was to create a primary standard of $\ce {naoh}$ and use it to determine the concentration of. The example below demonstrates. H2So4 Koh Titration.
From studylib.net
AcidBase Titration Answers, Sources of Error H2So4 Koh Titration The example below demonstrates the technique to solve a titration problem for a titration of sulfuric acid with sodium hydroxide. In this titration, the burette is filled with. Titration is a procedure by which an acid with a base are neutralized. This neutralisation reaction can be used as the basis of a titration as shown in the diagram on the. H2So4 Koh Titration.
From www.chegg.com
Solved A student carried out a titration using H2SO4 and H2So4 Koh Titration You can reduce the cognitive load by careful scaffolding using the table method. This neutralisation reaction can be used as the basis of a titration as shown in the diagram on the right. Titration is a procedure by which an acid with a base are neutralized. The purpose of such procedure is to determine the concentration of an acid or. H2So4 Koh Titration.
From slideplayer.com
Definitions and Properties ppt download H2So4 Koh Titration A student titrated a 25.0 cm3. In my latest chem lab the objective was to create a primary standard of $\ce {naoh}$ and use it to determine the concentration of. You can reduce the cognitive load by careful scaffolding using the table method. Titration is a procedure by which an acid with a base are neutralized. Our titration calculator will. H2So4 Koh Titration.
From www.numerade.com
SOLVED A 28.00 mL sample of an H2SO4 solution of unknown concentration H2So4 Koh Titration In this titration, the burette is filled with. The purpose of such procedure is to determine the concentration of an acid or a base to a precise value (several. You can reduce the cognitive load by careful scaffolding using the table method. The example below demonstrates the technique to solve a titration problem for a titration of sulfuric acid with. H2So4 Koh Titration.
From www.studypool.com
SOLUTION Estimation of koh with standardized h2so4 titration H2So4 Koh Titration Our titration calculator will help you never have to ask how do i calculate titrations? again. A student titrated a 25.0 cm3. This neutralisation reaction can be used as the basis of a titration as shown in the diagram on the right. In my latest chem lab the objective was to create a primary standard of $\ce {naoh}$ and use. H2So4 Koh Titration.