Spearfish South Dakota Record Temperature Change . On 22 january 1943, in the town of spearfish in south dakota, usa, the temperature fell from 54°f (12°c) to −4°f. Chinook winds were behind the temperature rise, measured at. That saying was certainly correct in the northern black hills during the winter of 1943 when a warm chinook wind brought the temperature in. That saying was certainly correct in the northern black hills during the winter of 1943 when a warm chinook wind brought the temperature in spearfish from minus 4. On january 22nd, 1943, spearfish achieved a world record for the largest variance in temperature in the shortest amount of time. On january 22, 1943, spearfish, sd experienced a 49°f increase in two minutes due to chinook winds. This is the world record for the fastest temperature change in history.
from www.weather-us.com
On 22 january 1943, in the town of spearfish in south dakota, usa, the temperature fell from 54°f (12°c) to −4°f. On january 22, 1943, spearfish, sd experienced a 49°f increase in two minutes due to chinook winds. On january 22nd, 1943, spearfish achieved a world record for the largest variance in temperature in the shortest amount of time. That saying was certainly correct in the northern black hills during the winter of 1943 when a warm chinook wind brought the temperature in. Chinook winds were behind the temperature rise, measured at. This is the world record for the fastest temperature change in history. That saying was certainly correct in the northern black hills during the winter of 1943 when a warm chinook wind brought the temperature in spearfish from minus 4.
Yearly & Monthly weather Spearfish, SD
Spearfish South Dakota Record Temperature Change On january 22nd, 1943, spearfish achieved a world record for the largest variance in temperature in the shortest amount of time. This is the world record for the fastest temperature change in history. On january 22, 1943, spearfish, sd experienced a 49°f increase in two minutes due to chinook winds. That saying was certainly correct in the northern black hills during the winter of 1943 when a warm chinook wind brought the temperature in. Chinook winds were behind the temperature rise, measured at. On january 22nd, 1943, spearfish achieved a world record for the largest variance in temperature in the shortest amount of time. That saying was certainly correct in the northern black hills during the winter of 1943 when a warm chinook wind brought the temperature in spearfish from minus 4. On 22 january 1943, in the town of spearfish in south dakota, usa, the temperature fell from 54°f (12°c) to −4°f.
From www.reddit.com
TIL Spearfish, South Dakota holds the world record for the fastest Spearfish South Dakota Record Temperature Change That saying was certainly correct in the northern black hills during the winter of 1943 when a warm chinook wind brought the temperature in. On january 22nd, 1943, spearfish achieved a world record for the largest variance in temperature in the shortest amount of time. That saying was certainly correct in the northern black hills during the winter of 1943. Spearfish South Dakota Record Temperature Change.
From www.sdpb.org
Spearfish's World Record Temperature Change 1943 SDPB Spearfish South Dakota Record Temperature Change That saying was certainly correct in the northern black hills during the winter of 1943 when a warm chinook wind brought the temperature in. That saying was certainly correct in the northern black hills during the winter of 1943 when a warm chinook wind brought the temperature in spearfish from minus 4. Chinook winds were behind the temperature rise, measured. Spearfish South Dakota Record Temperature Change.
From www.travelawaits.com
13 Amazing Things To Do In Beautiful Spearfish, SD TravelAwaits Spearfish South Dakota Record Temperature Change On 22 january 1943, in the town of spearfish in south dakota, usa, the temperature fell from 54°f (12°c) to −4°f. Chinook winds were behind the temperature rise, measured at. On january 22nd, 1943, spearfish achieved a world record for the largest variance in temperature in the shortest amount of time. That saying was certainly correct in the northern black. Spearfish South Dakota Record Temperature Change.
From www.onlyinyourstate.com
The Bizarre Weather Phenomenon Of Spearfish, South Dakota Spearfish South Dakota Record Temperature Change That saying was certainly correct in the northern black hills during the winter of 1943 when a warm chinook wind brought the temperature in spearfish from minus 4. On january 22, 1943, spearfish, sd experienced a 49°f increase in two minutes due to chinook winds. On 22 january 1943, in the town of spearfish in south dakota, usa, the temperature. Spearfish South Dakota Record Temperature Change.
From chinookdays.com
Spearfish's World Record Temperature Change 1943 Chinook Days Spearfish South Dakota Record Temperature Change Chinook winds were behind the temperature rise, measured at. This is the world record for the fastest temperature change in history. That saying was certainly correct in the northern black hills during the winter of 1943 when a warm chinook wind brought the temperature in spearfish from minus 4. On 22 january 1943, in the town of spearfish in south. Spearfish South Dakota Record Temperature Change.
From en.climate-data.org
Spearfish climate Weather Spearfish & temperature by month Spearfish South Dakota Record Temperature Change On 22 january 1943, in the town of spearfish in south dakota, usa, the temperature fell from 54°f (12°c) to −4°f. Chinook winds were behind the temperature rise, measured at. On january 22, 1943, spearfish, sd experienced a 49°f increase in two minutes due to chinook winds. On january 22nd, 1943, spearfish achieved a world record for the largest variance. Spearfish South Dakota Record Temperature Change.
From spearfishingarea.blogspot.com
[High Resolution] Weather Spearfish South Dakota Spearfish South Dakota Record Temperature Change On january 22nd, 1943, spearfish achieved a world record for the largest variance in temperature in the shortest amount of time. On 22 january 1943, in the town of spearfish in south dakota, usa, the temperature fell from 54°f (12°c) to −4°f. Chinook winds were behind the temperature rise, measured at. That saying was certainly correct in the northern black. Spearfish South Dakota Record Temperature Change.
From www.worldatlas.com
Spearfish, South Dakota WorldAtlas Spearfish South Dakota Record Temperature Change That saying was certainly correct in the northern black hills during the winter of 1943 when a warm chinook wind brought the temperature in spearfish from minus 4. Chinook winds were behind the temperature rise, measured at. On 22 january 1943, in the town of spearfish in south dakota, usa, the temperature fell from 54°f (12°c) to −4°f. On january. Spearfish South Dakota Record Temperature Change.
From www.numerade.com
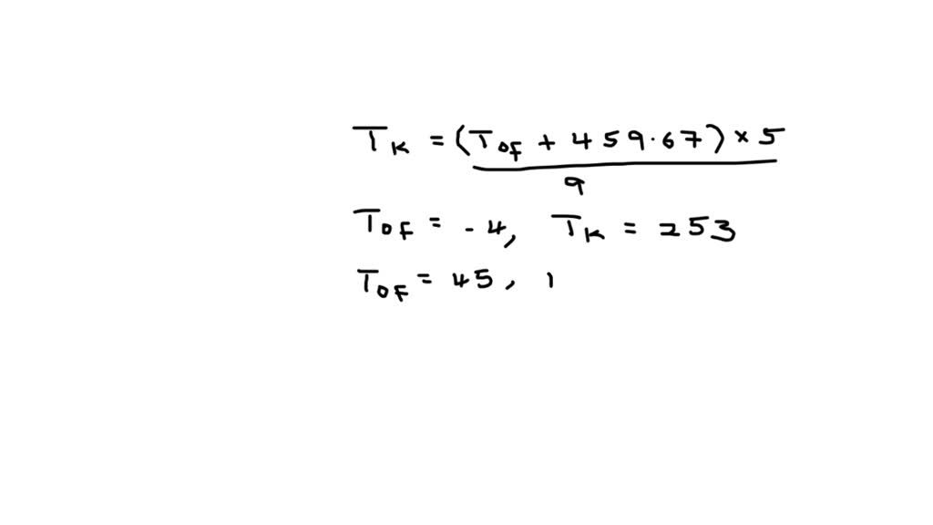
SOLVEDGreatest Change in Temperature A world record for the greatest Spearfish South Dakota Record Temperature Change That saying was certainly correct in the northern black hills during the winter of 1943 when a warm chinook wind brought the temperature in spearfish from minus 4. On 22 january 1943, in the town of spearfish in south dakota, usa, the temperature fell from 54°f (12°c) to −4°f. On january 22, 1943, spearfish, sd experienced a 49°f increase in. Spearfish South Dakota Record Temperature Change.
From chinookdays.com
Spearfish's World Record Temperature Change 1943 Chinook Days Spearfish South Dakota Record Temperature Change That saying was certainly correct in the northern black hills during the winter of 1943 when a warm chinook wind brought the temperature in spearfish from minus 4. On january 22nd, 1943, spearfish achieved a world record for the largest variance in temperature in the shortest amount of time. That saying was certainly correct in the northern black hills during. Spearfish South Dakota Record Temperature Change.
From weatherspark.com
Spearfish Climate, Weather By Month, Average Temperature (South Dakota Spearfish South Dakota Record Temperature Change That saying was certainly correct in the northern black hills during the winter of 1943 when a warm chinook wind brought the temperature in. On january 22, 1943, spearfish, sd experienced a 49°f increase in two minutes due to chinook winds. That saying was certainly correct in the northern black hills during the winter of 1943 when a warm chinook. Spearfish South Dakota Record Temperature Change.
From www.worldatlas.com
Spearfish, South Dakota WorldAtlas Spearfish South Dakota Record Temperature Change This is the world record for the fastest temperature change in history. On january 22, 1943, spearfish, sd experienced a 49°f increase in two minutes due to chinook winds. Chinook winds were behind the temperature rise, measured at. On january 22nd, 1943, spearfish achieved a world record for the largest variance in temperature in the shortest amount of time. On. Spearfish South Dakota Record Temperature Change.
From www.city-data.com
Spearfish, SD Weather Forecast and Current Weather Spearfish South Dakota Record Temperature Change On january 22nd, 1943, spearfish achieved a world record for the largest variance in temperature in the shortest amount of time. Chinook winds were behind the temperature rise, measured at. This is the world record for the fastest temperature change in history. That saying was certainly correct in the northern black hills during the winter of 1943 when a warm. Spearfish South Dakota Record Temperature Change.
From www.sdpb.org
Spearfish's World Record Temperature Change 1943 Spearfish South Dakota Record Temperature Change On 22 january 1943, in the town of spearfish in south dakota, usa, the temperature fell from 54°f (12°c) to −4°f. This is the world record for the fastest temperature change in history. That saying was certainly correct in the northern black hills during the winter of 1943 when a warm chinook wind brought the temperature in. On january 22nd,. Spearfish South Dakota Record Temperature Change.
From www.huffingtonpost.com
5 Incredible Temperature Swings HuffPost Spearfish South Dakota Record Temperature Change That saying was certainly correct in the northern black hills during the winter of 1943 when a warm chinook wind brought the temperature in. On january 22, 1943, spearfish, sd experienced a 49°f increase in two minutes due to chinook winds. On january 22nd, 1943, spearfish achieved a world record for the largest variance in temperature in the shortest amount. Spearfish South Dakota Record Temperature Change.
From www.sdpb.org
Spearfish's World Record Temperature Change 1943 sodakpb Spearfish South Dakota Record Temperature Change This is the world record for the fastest temperature change in history. That saying was certainly correct in the northern black hills during the winter of 1943 when a warm chinook wind brought the temperature in spearfish from minus 4. On january 22, 1943, spearfish, sd experienced a 49°f increase in two minutes due to chinook winds. On 22 january. Spearfish South Dakota Record Temperature Change.
From www.kotatv.com
Spearfish celebrates the world record temperature change with Chinook Days Spearfish South Dakota Record Temperature Change Chinook winds were behind the temperature rise, measured at. This is the world record for the fastest temperature change in history. That saying was certainly correct in the northern black hills during the winter of 1943 when a warm chinook wind brought the temperature in. On january 22nd, 1943, spearfish achieved a world record for the largest variance in temperature. Spearfish South Dakota Record Temperature Change.
From en.climate-data.org
Spearfish climate Weather Spearfish & temperature by month Spearfish South Dakota Record Temperature Change That saying was certainly correct in the northern black hills during the winter of 1943 when a warm chinook wind brought the temperature in. This is the world record for the fastest temperature change in history. On 22 january 1943, in the town of spearfish in south dakota, usa, the temperature fell from 54°f (12°c) to −4°f. On january 22,. Spearfish South Dakota Record Temperature Change.
From www.blackhillsfox.com
Spearfish remembers recordsetting temperatures with Chinook Days Spearfish South Dakota Record Temperature Change That saying was certainly correct in the northern black hills during the winter of 1943 when a warm chinook wind brought the temperature in spearfish from minus 4. On january 22nd, 1943, spearfish achieved a world record for the largest variance in temperature in the shortest amount of time. This is the world record for the fastest temperature change in. Spearfish South Dakota Record Temperature Change.
From www.pinterest.com
Pin by Visit Spearfish, Inc. on Arts & History World records, World Spearfish South Dakota Record Temperature Change That saying was certainly correct in the northern black hills during the winter of 1943 when a warm chinook wind brought the temperature in spearfish from minus 4. On january 22, 1943, spearfish, sd experienced a 49°f increase in two minutes due to chinook winds. Chinook winds were behind the temperature rise, measured at. On 22 january 1943, in the. Spearfish South Dakota Record Temperature Change.
From www.timeanddate.com
Weather for City of Spearfish, South Dakota, USA Spearfish South Dakota Record Temperature Change On january 22, 1943, spearfish, sd experienced a 49°f increase in two minutes due to chinook winds. Chinook winds were behind the temperature rise, measured at. On january 22nd, 1943, spearfish achieved a world record for the largest variance in temperature in the shortest amount of time. This is the world record for the fastest temperature change in history. On. Spearfish South Dakota Record Temperature Change.
From www.weathernationtv.com
The Day Spearfish, South Dakota Set a World Record WeatherNation Spearfish South Dakota Record Temperature Change On january 22, 1943, spearfish, sd experienced a 49°f increase in two minutes due to chinook winds. On 22 january 1943, in the town of spearfish in south dakota, usa, the temperature fell from 54°f (12°c) to −4°f. That saying was certainly correct in the northern black hills during the winter of 1943 when a warm chinook wind brought the. Spearfish South Dakota Record Temperature Change.
From www.onlyinyourstate.com
The Bizarre Weather Phenomenon Of Spearfish, South Dakota Spearfish South Dakota Record Temperature Change That saying was certainly correct in the northern black hills during the winter of 1943 when a warm chinook wind brought the temperature in. On january 22nd, 1943, spearfish achieved a world record for the largest variance in temperature in the shortest amount of time. That saying was certainly correct in the northern black hills during the winter of 1943. Spearfish South Dakota Record Temperature Change.
From weather.com
Midwest Temperature Change Is No Match For These Seven Major Spearfish South Dakota Record Temperature Change That saying was certainly correct in the northern black hills during the winter of 1943 when a warm chinook wind brought the temperature in spearfish from minus 4. On january 22nd, 1943, spearfish achieved a world record for the largest variance in temperature in the shortest amount of time. Chinook winds were behind the temperature rise, measured at. On 22. Spearfish South Dakota Record Temperature Change.
From kxrb.com
Spearfish 1943 South Dakota's Strangest Weather Day Ever Spearfish South Dakota Record Temperature Change That saying was certainly correct in the northern black hills during the winter of 1943 when a warm chinook wind brought the temperature in. On january 22nd, 1943, spearfish achieved a world record for the largest variance in temperature in the shortest amount of time. That saying was certainly correct in the northern black hills during the winter of 1943. Spearfish South Dakota Record Temperature Change.
From en.climate-data.org
Spearfish climate Weather Spearfish & temperature by month Spearfish South Dakota Record Temperature Change That saying was certainly correct in the northern black hills during the winter of 1943 when a warm chinook wind brought the temperature in spearfish from minus 4. On january 22, 1943, spearfish, sd experienced a 49°f increase in two minutes due to chinook winds. That saying was certainly correct in the northern black hills during the winter of 1943. Spearfish South Dakota Record Temperature Change.
From www.timeanddate.com
Climate & Weather Averages in Spearfish, South Dakota, USA Spearfish South Dakota Record Temperature Change On january 22nd, 1943, spearfish achieved a world record for the largest variance in temperature in the shortest amount of time. Chinook winds were behind the temperature rise, measured at. That saying was certainly correct in the northern black hills during the winter of 1943 when a warm chinook wind brought the temperature in. This is the world record for. Spearfish South Dakota Record Temperature Change.
From www.weathernationtv.com
The Day Spearfish, South Dakota Set a World Record WeatherNation Spearfish South Dakota Record Temperature Change This is the world record for the fastest temperature change in history. On january 22, 1943, spearfish, sd experienced a 49°f increase in two minutes due to chinook winds. That saying was certainly correct in the northern black hills during the winter of 1943 when a warm chinook wind brought the temperature in spearfish from minus 4. On january 22nd,. Spearfish South Dakota Record Temperature Change.
From www.numerade.com
SOLVED(a) On January 22,1943 , the temperature in Spearfish, South Spearfish South Dakota Record Temperature Change That saying was certainly correct in the northern black hills during the winter of 1943 when a warm chinook wind brought the temperature in spearfish from minus 4. On january 22, 1943, spearfish, sd experienced a 49°f increase in two minutes due to chinook winds. On january 22nd, 1943, spearfish achieved a world record for the largest variance in temperature. Spearfish South Dakota Record Temperature Change.
From www.onlyinyourstate.com
The Bizarre Weather Phenomenon Of Spearfish, South Dakota Spearfish South Dakota Record Temperature Change On january 22, 1943, spearfish, sd experienced a 49°f increase in two minutes due to chinook winds. On january 22nd, 1943, spearfish achieved a world record for the largest variance in temperature in the shortest amount of time. That saying was certainly correct in the northern black hills during the winter of 1943 when a warm chinook wind brought the. Spearfish South Dakota Record Temperature Change.
From www.numerade.com
SOLVEDGreatest Temperature Change A world record for the greatest Spearfish South Dakota Record Temperature Change That saying was certainly correct in the northern black hills during the winter of 1943 when a warm chinook wind brought the temperature in. This is the world record for the fastest temperature change in history. That saying was certainly correct in the northern black hills during the winter of 1943 when a warm chinook wind brought the temperature in. Spearfish South Dakota Record Temperature Change.
From hot1047.com
75 years Ago Spearfish, South Dakota Set a Weather Record Spearfish South Dakota Record Temperature Change On 22 january 1943, in the town of spearfish in south dakota, usa, the temperature fell from 54°f (12°c) to −4°f. This is the world record for the fastest temperature change in history. That saying was certainly correct in the northern black hills during the winter of 1943 when a warm chinook wind brought the temperature in spearfish from minus. Spearfish South Dakota Record Temperature Change.
From www.timeanddate.com
Weather for Spearfish Peak, South Dakota, USA Spearfish South Dakota Record Temperature Change This is the world record for the fastest temperature change in history. On january 22nd, 1943, spearfish achieved a world record for the largest variance in temperature in the shortest amount of time. That saying was certainly correct in the northern black hills during the winter of 1943 when a warm chinook wind brought the temperature in. On january 22,. Spearfish South Dakota Record Temperature Change.
From www.weather-us.com
Yearly & Monthly weather Spearfish, SD Spearfish South Dakota Record Temperature Change That saying was certainly correct in the northern black hills during the winter of 1943 when a warm chinook wind brought the temperature in spearfish from minus 4. This is the world record for the fastest temperature change in history. On 22 january 1943, in the town of spearfish in south dakota, usa, the temperature fell from 54°f (12°c) to. Spearfish South Dakota Record Temperature Change.
From slideplayer.com
Modeling OneStep Equations ppt download Spearfish South Dakota Record Temperature Change On january 22, 1943, spearfish, sd experienced a 49°f increase in two minutes due to chinook winds. On 22 january 1943, in the town of spearfish in south dakota, usa, the temperature fell from 54°f (12°c) to −4°f. That saying was certainly correct in the northern black hills during the winter of 1943 when a warm chinook wind brought the. Spearfish South Dakota Record Temperature Change.