Differential Equation Xdy-Ydx=0 . If the coefficient of dx is the only function of x and coefficient of dy is only a function of y in the given differential equation. Show that the differential equation: Solve the following differential equation: Order differential equation of the form m(x;y)dx + n(x;y)dy = 0 is called an exact equation if the expression on the left hand side is an exact. Example 21 solve the differential equation (π₯ ππ¦βπ¦ ππ₯)π¦ π ππ (π¦/π₯)= (π¦ ππ₯+π₯ ππ¦)π₯ cosβ‘ (π¦/π₯) (π₯ ππ¦βπ¦ ππ₯)π¦ π ππ (π¦/π₯)= (π¦. Dividing by xy on both sides, we get: He has been teaching from the past 14 years. He provides courses for maths, science and computer science at teachoo. Ydy β xdx = 0. By integrating on both sides, we get, log y = log x +.
from www.teachoo.com
Show that the differential equation: Dividing by xy on both sides, we get: Order differential equation of the form m(x;y)dx + n(x;y)dy = 0 is called an exact equation if the expression on the left hand side is an exact. He has been teaching from the past 14 years. Solve the following differential equation: He provides courses for maths, science and computer science at teachoo. Ydy β xdx = 0. If the coefficient of dx is the only function of x and coefficient of dy is only a function of y in the given differential equation. Example 21 solve the differential equation (π₯ ππ¦βπ¦ ππ₯)π¦ π ππ (π¦/π₯)= (π¦ ππ₯+π₯ ππ¦)π₯ cosβ‘ (π¦/π₯) (π₯ ππ¦βπ¦ ππ₯)π¦ π ππ (π¦/π₯)= (π¦. By integrating on both sides, we get, log y = log x +.
[MCQ] The general solution of differential equation y dx x dy = 0 is
Differential Equation Xdy-Ydx=0 Dividing by xy on both sides, we get: He provides courses for maths, science and computer science at teachoo. He has been teaching from the past 14 years. Show that the differential equation: If the coefficient of dx is the only function of x and coefficient of dy is only a function of y in the given differential equation. Example 21 solve the differential equation (π₯ ππ¦βπ¦ ππ₯)π¦ π ππ (π¦/π₯)= (π¦ ππ₯+π₯ ππ¦)π₯ cosβ‘ (π¦/π₯) (π₯ ππ¦βπ¦ ππ₯)π¦ π ππ (π¦/π₯)= (π¦. Solve the following differential equation: Ydy β xdx = 0. Dividing by xy on both sides, we get: Order differential equation of the form m(x;y)dx + n(x;y)dy = 0 is called an exact equation if the expression on the left hand side is an exact. By integrating on both sides, we get, log y = log x +.
From www.teachoo.com
Ex 9.5, 6 Solve Differential Equation x dy y dx = root x2 + y2 dx Differential Equation Xdy-Ydx=0 Order differential equation of the form m(x;y)dx + n(x;y)dy = 0 is called an exact equation if the expression on the left hand side is an exact. He provides courses for maths, science and computer science at teachoo. He has been teaching from the past 14 years. Show that the differential equation: Example 21 solve the differential equation (π₯ ππ¦βπ¦. Differential Equation Xdy-Ydx=0.
From www.chegg.com
Solved The solution of the differential equation xdyydx=0 Differential Equation Xdy-Ydx=0 Dividing by xy on both sides, we get: He has been teaching from the past 14 years. Solve the following differential equation: Example 21 solve the differential equation (π₯ ππ¦βπ¦ ππ₯)π¦ π ππ (π¦/π₯)= (π¦ ππ₯+π₯ ππ¦)π₯ cosβ‘ (π¦/π₯) (π₯ ππ¦βπ¦ ππ₯)π¦ π ππ (π¦/π₯)= (π¦. Ydy β xdx = 0. Order differential equation of the form m(x;y)dx + n(x;y)dy = 0. Differential Equation Xdy-Ydx=0.
From www.teachoo.com
[Class 12] Solve differential equation π¦ππ₯ + (π₯ β y^2)ππ¦ = 0 Differential Equation Xdy-Ydx=0 He has been teaching from the past 14 years. Order differential equation of the form m(x;y)dx + n(x;y)dy = 0 is called an exact equation if the expression on the left hand side is an exact. Ydy β xdx = 0. He provides courses for maths, science and computer science at teachoo. By integrating on both sides, we get, log. Differential Equation Xdy-Ydx=0.
From www.teachoo.com
[MCQ] The general solution of differential equation y dx x dy = 0 is Differential Equation Xdy-Ydx=0 He has been teaching from the past 14 years. He provides courses for maths, science and computer science at teachoo. Dividing by xy on both sides, we get: Ydy β xdx = 0. Show that the differential equation: Example 21 solve the differential equation (π₯ ππ¦βπ¦ ππ₯)π¦ π ππ (π¦/π₯)= (π¦ ππ₯+π₯ ππ¦)π₯ cosβ‘ (π¦/π₯) (π₯ ππ¦βπ¦ ππ₯)π¦ π ππ (π¦/π₯)= (π¦.. Differential Equation Xdy-Ydx=0.
From www.teachoo.com
[MCQ] The general solution of differential equation ydx xdy = 0 is Differential Equation Xdy-Ydx=0 Order differential equation of the form m(x;y)dx + n(x;y)dy = 0 is called an exact equation if the expression on the left hand side is an exact. Show that the differential equation: He has been teaching from the past 14 years. Ydy β xdx = 0. By integrating on both sides, we get, log y = log x +. Solve. Differential Equation Xdy-Ydx=0.
From www.youtube.com
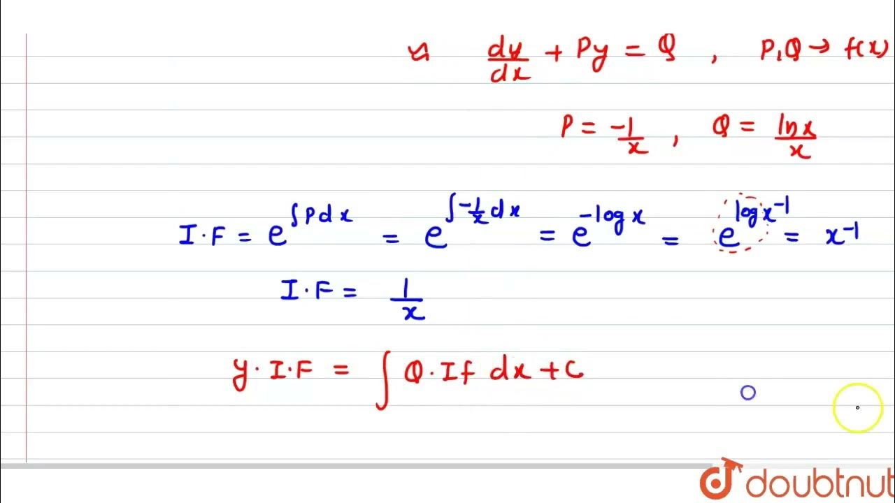
The solution of the differential equation ydxxdy+lnxdx=0 is (where, C Differential Equation Xdy-Ydx=0 He has been teaching from the past 14 years. Ydy β xdx = 0. Dividing by xy on both sides, we get: If the coefficient of dx is the only function of x and coefficient of dy is only a function of y in the given differential equation. He provides courses for maths, science and computer science at teachoo. By. Differential Equation Xdy-Ydx=0.
From www.youtube.com
Solve xdyydx=0 .12th Business Maths Ex 4.2 Solving differential Differential Equation Xdy-Ydx=0 Show that the differential equation: By integrating on both sides, we get, log y = log x +. Ydy β xdx = 0. Solve the following differential equation: Order differential equation of the form m(x;y)dx + n(x;y)dy = 0 is called an exact equation if the expression on the left hand side is an exact. Dividing by xy on both. Differential Equation Xdy-Ydx=0.
From www.youtube.com
The solution of differential equation xdy ydx = 0 represents. YouTube Differential Equation Xdy-Ydx=0 Solve the following differential equation: Dividing by xy on both sides, we get: By integrating on both sides, we get, log y = log x +. He provides courses for maths, science and computer science at teachoo. Order differential equation of the form m(x;y)dx + n(x;y)dy = 0 is called an exact equation if the expression on the left hand. Differential Equation Xdy-Ydx=0.
From www.numerade.com
SOLVEDQuestion 2 Identify whether the following differential equations Differential Equation Xdy-Ydx=0 Show that the differential equation: He provides courses for maths, science and computer science at teachoo. Order differential equation of the form m(x;y)dx + n(x;y)dy = 0 is called an exact equation if the expression on the left hand side is an exact. Solve the following differential equation: He has been teaching from the past 14 years. Dividing by xy. Differential Equation Xdy-Ydx=0.
From www.youtube.com
The solution of the equation `xdyydx=sqrt(x^2y^2)dx` subject to the Differential Equation Xdy-Ydx=0 Example 21 solve the differential equation (π₯ ππ¦βπ¦ ππ₯)π¦ π ππ (π¦/π₯)= (π¦ ππ₯+π₯ ππ¦)π₯ cosβ‘ (π¦/π₯) (π₯ ππ¦βπ¦ ππ₯)π¦ π ππ (π¦/π₯)= (π¦. Order differential equation of the form m(x;y)dx + n(x;y)dy = 0 is called an exact equation if the expression on the left hand side is an exact. He has been teaching from the past 14 years. Dividing by. Differential Equation Xdy-Ydx=0.
From www.teachoo.com
Example 27 Solve (x dy ydx) y sin (y/x) = (ydx + xdy) Differential Equation Xdy-Ydx=0 Ydy β xdx = 0. Example 21 solve the differential equation (π₯ ππ¦βπ¦ ππ₯)π¦ π ππ (π¦/π₯)= (π¦ ππ₯+π₯ ππ¦)π₯ cosβ‘ (π¦/π₯) (π₯ ππ¦βπ¦ ππ₯)π¦ π ππ (π¦/π₯)= (π¦. By integrating on both sides, we get, log y = log x +. Dividing by xy on both sides, we get: If the coefficient of dx is the only function of x and. Differential Equation Xdy-Ydx=0.
From www.toppr.com
What is the solution of the differential equation xdy + ydx = 0 Differential Equation Xdy-Ydx=0 He provides courses for maths, science and computer science at teachoo. He has been teaching from the past 14 years. Ydy β xdx = 0. By integrating on both sides, we get, log y = log x +. Order differential equation of the form m(x;y)dx + n(x;y)dy = 0 is called an exact equation if the expression on the left. Differential Equation Xdy-Ydx=0.
From www.youtube.com
The solution of the differential equation xdy + ydx= xydx when y(1)=1 Differential Equation Xdy-Ydx=0 Solve the following differential equation: Ydy β xdx = 0. He has been teaching from the past 14 years. If the coefficient of dx is the only function of x and coefficient of dy is only a function of y in the given differential equation. He provides courses for maths, science and computer science at teachoo. Show that the differential. Differential Equation Xdy-Ydx=0.
From www.youtube.com
Differential Equation ydx + (x + xy)dy = 0 YouTube Differential Equation Xdy-Ydx=0 He has been teaching from the past 14 years. Example 21 solve the differential equation (π₯ ππ¦βπ¦ ππ₯)π¦ π ππ (π¦/π₯)= (π¦ ππ₯+π₯ ππ¦)π₯ cosβ‘ (π¦/π₯) (π₯ ππ¦βπ¦ ππ₯)π¦ π ππ (π¦/π₯)= (π¦. If the coefficient of dx is the only function of x and coefficient of dy is only a function of y in the given differential equation. Show that the. Differential Equation Xdy-Ydx=0.
From www.teachoo.com
Example 21 Find general solution ydx (x + 2y2)dy = 0 Differential Equation Xdy-Ydx=0 Show that the differential equation: He has been teaching from the past 14 years. Dividing by xy on both sides, we get: Example 21 solve the differential equation (π₯ ππ¦βπ¦ ππ₯)π¦ π ππ (π¦/π₯)= (π¦ ππ₯+π₯ ππ¦)π₯ cosβ‘ (π¦/π₯) (π₯ ππ¦βπ¦ ππ₯)π¦ π ππ (π¦/π₯)= (π¦. Solve the following differential equation: Ydy β xdx = 0. If the coefficient of dx is. Differential Equation Xdy-Ydx=0.
From edurev.in
The equation xdy +ydx = 0 represents a family ofa)Hyperbolasb Differential Equation Xdy-Ydx=0 He provides courses for maths, science and computer science at teachoo. Ydy β xdx = 0. Show that the differential equation: By integrating on both sides, we get, log y = log x +. Solve the following differential equation: Example 21 solve the differential equation (π₯ ππ¦βπ¦ ππ₯)π¦ π ππ (π¦/π₯)= (π¦ ππ₯+π₯ ππ¦)π₯ cosβ‘ (π¦/π₯) (π₯ ππ¦βπ¦ ππ₯)π¦ π ππ (π¦/π₯)=. Differential Equation Xdy-Ydx=0.
From www.doubtnut.com
Solution of the differential equation xdyydx=0 represents Differential Equation Xdy-Ydx=0 If the coefficient of dx is the only function of x and coefficient of dy is only a function of y in the given differential equation. He provides courses for maths, science and computer science at teachoo. Solve the following differential equation: Ydy β xdx = 0. By integrating on both sides, we get, log y = log x +.. Differential Equation Xdy-Ydx=0.
From www.toppr.com
Solve the differential equation (xdy ydx) y sin (y/x) = (ydx + xdy Differential Equation Xdy-Ydx=0 Dividing by xy on both sides, we get: Example 21 solve the differential equation (π₯ ππ¦βπ¦ ππ₯)π¦ π ππ (π¦/π₯)= (π¦ ππ₯+π₯ ππ¦)π₯ cosβ‘ (π¦/π₯) (π₯ ππ¦βπ¦ ππ₯)π¦ π ππ (π¦/π₯)= (π¦. If the coefficient of dx is the only function of x and coefficient of dy is only a function of y in the given differential equation. He provides courses for. Differential Equation Xdy-Ydx=0.
From www.teachoo.com
Example 17 Show 2y e x/y dx + (y 2x ex/y) dy = 0, particular Differential Equation Xdy-Ydx=0 He has been teaching from the past 14 years. Solve the following differential equation: He provides courses for maths, science and computer science at teachoo. Ydy β xdx = 0. If the coefficient of dx is the only function of x and coefficient of dy is only a function of y in the given differential equation. Order differential equation of. Differential Equation Xdy-Ydx=0.
From www.teachoo.com
Example 27 Solve (x dy ydx) y sin (y/x) = (ydx + xdy) Differential Equation Xdy-Ydx=0 Dividing by xy on both sides, we get: He provides courses for maths, science and computer science at teachoo. Ydy β xdx = 0. He has been teaching from the past 14 years. Solve the following differential equation: Show that the differential equation: By integrating on both sides, we get, log y = log x +. Order differential equation of. Differential Equation Xdy-Ydx=0.
From www.coursehero.com
[Solved] Evaluate the following differential equations Integrating Differential Equation Xdy-Ydx=0 He has been teaching from the past 14 years. Show that the differential equation: He provides courses for maths, science and computer science at teachoo. If the coefficient of dx is the only function of x and coefficient of dy is only a function of y in the given differential equation. Example 21 solve the differential equation (π₯ ππ¦βπ¦ ππ₯)π¦. Differential Equation Xdy-Ydx=0.
From www.youtube.com
solvexdx+ydy+(xdyydx)/(x^2+y^2)=0 differential equationsfirst order Differential Equation Xdy-Ydx=0 Dividing by xy on both sides, we get: He has been teaching from the past 14 years. He provides courses for maths, science and computer science at teachoo. Order differential equation of the form m(x;y)dx + n(x;y)dy = 0 is called an exact equation if the expression on the left hand side is an exact. Example 21 solve the differential. Differential Equation Xdy-Ydx=0.
From www.teachoo.com
Find general solution of differential equation xdy (y + 2x^2)dx = 0 Differential Equation Xdy-Ydx=0 Show that the differential equation: By integrating on both sides, we get, log y = log x +. Ydy β xdx = 0. He has been teaching from the past 14 years. Example 21 solve the differential equation (π₯ ππ¦βπ¦ ππ₯)π¦ π ππ (π¦/π₯)= (π¦ ππ₯+π₯ ππ¦)π₯ cosβ‘ (π¦/π₯) (π₯ ππ¦βπ¦ ππ₯)π¦ π ππ (π¦/π₯)= (π¦. Order differential equation of the form. Differential Equation Xdy-Ydx=0.
From www.youtube.com
Solve ydxxdy+logxdx=0 CLASS 12 DIFFERENTIAL EQUATIONS MATHS Differential Equation Xdy-Ydx=0 He has been teaching from the past 14 years. Example 21 solve the differential equation (π₯ ππ¦βπ¦ ππ₯)π¦ π ππ (π¦/π₯)= (π¦ ππ₯+π₯ ππ¦)π₯ cosβ‘ (π¦/π₯) (π₯ ππ¦βπ¦ ππ₯)π¦ π ππ (π¦/π₯)= (π¦. Show that the differential equation: If the coefficient of dx is the only function of x and coefficient of dy is only a function of y in the given. Differential Equation Xdy-Ydx=0.
From www.bartleby.com
Answered Solve the following differentialβ¦ bartleby Differential Equation Xdy-Ydx=0 Ydy β xdx = 0. He has been teaching from the past 14 years. Solve the following differential equation: Show that the differential equation: If the coefficient of dx is the only function of x and coefficient of dy is only a function of y in the given differential equation. Dividing by xy on both sides, we get: By integrating. Differential Equation Xdy-Ydx=0.
From edurev.in
Solution of the differential equation xdy andndash; ydx = 0 represents Differential Equation Xdy-Ydx=0 Ydy β xdx = 0. Solve the following differential equation: Example 21 solve the differential equation (π₯ ππ¦βπ¦ ππ₯)π¦ π ππ (π¦/π₯)= (π¦ ππ₯+π₯ ππ¦)π₯ cosβ‘ (π¦/π₯) (π₯ ππ¦βπ¦ ππ₯)π¦ π ππ (π¦/π₯)= (π¦. If the coefficient of dx is the only function of x and coefficient of dy is only a function of y in the given differential equation. He has. Differential Equation Xdy-Ydx=0.
From www.teachoo.com
Solve the differential equation π₯ππ¦ β π¦ππ₯ = βx^2 + y^2 dx Differential Equation Xdy-Ydx=0 By integrating on both sides, we get, log y = log x +. He provides courses for maths, science and computer science at teachoo. Show that the differential equation: Example 21 solve the differential equation (π₯ ππ¦βπ¦ ππ₯)π¦ π ππ (π¦/π₯)= (π¦ ππ₯+π₯ ππ¦)π₯ cosβ‘ (π¦/π₯) (π₯ ππ¦βπ¦ ππ₯)π¦ π ππ (π¦/π₯)= (π¦. Ydy β xdx = 0. Order differential equation of. Differential Equation Xdy-Ydx=0.
From www.toppr.com
The general solution of the differential equation ydx xdy + x^2 .sin Differential Equation Xdy-Ydx=0 Order differential equation of the form m(x;y)dx + n(x;y)dy = 0 is called an exact equation if the expression on the left hand side is an exact. Show that the differential equation: Dividing by xy on both sides, we get: If the coefficient of dx is the only function of x and coefficient of dy is only a function of. Differential Equation Xdy-Ydx=0.
From www.youtube.com
Solve the differential equation ydx xdy = xydx YouTube Differential Equation Xdy-Ydx=0 Dividing by xy on both sides, we get: By integrating on both sides, we get, log y = log x +. Order differential equation of the form m(x;y)dx + n(x;y)dy = 0 is called an exact equation if the expression on the left hand side is an exact. Solve the following differential equation: Example 21 solve the differential equation (π₯. Differential Equation Xdy-Ydx=0.
From www.quora.com
What is the general solution of the differential equation xdyydx+2x Differential Equation Xdy-Ydx=0 Solve the following differential equation: Dividing by xy on both sides, we get: He has been teaching from the past 14 years. Ydy β xdx = 0. Example 21 solve the differential equation (π₯ ππ¦βπ¦ ππ₯)π¦ π ππ (π¦/π₯)= (π¦ ππ₯+π₯ ππ¦)π₯ cosβ‘ (π¦/π₯) (π₯ ππ¦βπ¦ ππ₯)π¦ π ππ (π¦/π₯)= (π¦. By integrating on both sides, we get, log y = log. Differential Equation Xdy-Ydx=0.
From www.youtube.com
Solve xdyβydx=a(x^2+y^2 )dy exactdifferential differential_equation Differential Equation Xdy-Ydx=0 Order differential equation of the form m(x;y)dx + n(x;y)dy = 0 is called an exact equation if the expression on the left hand side is an exact. Show that the differential equation: He provides courses for maths, science and computer science at teachoo. Example 21 solve the differential equation (π₯ ππ¦βπ¦ ππ₯)π¦ π ππ (π¦/π₯)= (π¦ ππ₯+π₯ ππ¦)π₯ cosβ‘ (π¦/π₯) (π₯. Differential Equation Xdy-Ydx=0.
From askfilo.com
solution of the differential equation xdy+ydx=0 is Filo Differential Equation Xdy-Ydx=0 If the coefficient of dx is the only function of x and coefficient of dy is only a function of y in the given differential equation. Solve the following differential equation: Order differential equation of the form m(x;y)dx + n(x;y)dy = 0 is called an exact equation if the expression on the left hand side is an exact. Ydy β. Differential Equation Xdy-Ydx=0.
From www.youtube.com
Solution of the differential equation xdyydx=0 represents a straight Differential Equation Xdy-Ydx=0 Ydy β xdx = 0. Show that the differential equation: Order differential equation of the form m(x;y)dx + n(x;y)dy = 0 is called an exact equation if the expression on the left hand side is an exact. Example 21 solve the differential equation (π₯ ππ¦βπ¦ ππ₯)π¦ π ππ (π¦/π₯)= (π¦ ππ₯+π₯ ππ¦)π₯ cosβ‘ (π¦/π₯) (π₯ ππ¦βπ¦ ππ₯)π¦ π ππ (π¦/π₯)= (π¦. Solve. Differential Equation Xdy-Ydx=0.
From www.chegg.com
Solved Consider the differential equation (x + y) dx xdy=0 Differential Equation Xdy-Ydx=0 Ydy β xdx = 0. Example 21 solve the differential equation (π₯ ππ¦βπ¦ ππ₯)π¦ π ππ (π¦/π₯)= (π¦ ππ₯+π₯ ππ¦)π₯ cosβ‘ (π¦/π₯) (π₯ ππ¦βπ¦ ππ₯)π¦ π ππ (π¦/π₯)= (π¦. Show that the differential equation: If the coefficient of dx is the only function of x and coefficient of dy is only a function of y in the given differential equation. Dividing by. Differential Equation Xdy-Ydx=0.
From www.chegg.com
Solved Solve the differential equation xdy + ydx + xy(3dx + Differential Equation Xdy-Ydx=0 Solve the following differential equation: Ydy β xdx = 0. By integrating on both sides, we get, log y = log x +. Example 21 solve the differential equation (π₯ ππ¦βπ¦ ππ₯)π¦ π ππ (π¦/π₯)= (π¦ ππ₯+π₯ ππ¦)π₯ cosβ‘ (π¦/π₯) (π₯ ππ¦βπ¦ ππ₯)π¦ π ππ (π¦/π₯)= (π¦. Show that the differential equation: Order differential equation of the form m(x;y)dx + n(x;y)dy =. Differential Equation Xdy-Ydx=0.