Harmonic Oscillator Dimensions . A simple harmonic oscillator is a particle or system that undergoes harmonic motion about an equilibrium position, such as an object with mass vibrating on a spring. (picĀ ture of harmonic oscillator eigenfunctions 0, 4, and. The hamiltonian is h= p2 x+p2y +p2 z 2m + m!2 2 x2 +y2 +z2 (1) the. Most of the time the particle is in the position x0 since there the velocity is zero, while at x = 0 the velocity is maximum. Here is a sneak preview of what the harmonic oscillator eigenfunctions look like:
from www.gkseries.com
The hamiltonian is h= p2 x+p2y +p2 z 2m + m!2 2 x2 +y2 +z2 (1) the. (picĀ ture of harmonic oscillator eigenfunctions 0, 4, and. Most of the time the particle is in the position x0 since there the velocity is zero, while at x = 0 the velocity is maximum. A simple harmonic oscillator is a particle or system that undergoes harmonic motion about an equilibrium position, such as an object with mass vibrating on a spring. Here is a sneak preview of what the harmonic oscillator eigenfunctions look like:
The Hamiltonian for a quantum harmonic oscillator of mass š in three
Harmonic Oscillator Dimensions (picĀ ture of harmonic oscillator eigenfunctions 0, 4, and. Here is a sneak preview of what the harmonic oscillator eigenfunctions look like: (picĀ ture of harmonic oscillator eigenfunctions 0, 4, and. The hamiltonian is h= p2 x+p2y +p2 z 2m + m!2 2 x2 +y2 +z2 (1) the. Most of the time the particle is in the position x0 since there the velocity is zero, while at x = 0 the velocity is maximum. A simple harmonic oscillator is a particle or system that undergoes harmonic motion about an equilibrium position, such as an object with mass vibrating on a spring.
From www.researchgate.net
Harmonicoscillator trial wave functions (dark gray) adjusted with Harmonic Oscillator Dimensions The hamiltonian is h= p2 x+p2y +p2 z 2m + m!2 2 x2 +y2 +z2 (1) the. Most of the time the particle is in the position x0 since there the velocity is zero, while at x = 0 the velocity is maximum. A simple harmonic oscillator is a particle or system that undergoes harmonic motion about an equilibrium position,. Harmonic Oscillator Dimensions.
From www.researchgate.net
Onedimensional coupled harmonic oscillator model. Download Harmonic Oscillator Dimensions The hamiltonian is h= p2 x+p2y +p2 z 2m + m!2 2 x2 +y2 +z2 (1) the. Most of the time the particle is in the position x0 since there the velocity is zero, while at x = 0 the velocity is maximum. (picĀ ture of harmonic oscillator eigenfunctions 0, 4, and. A simple harmonic oscillator is a particle or. Harmonic Oscillator Dimensions.
From www.reddit.com
How do you get this solution to the simple harmonic oscillator Harmonic Oscillator Dimensions A simple harmonic oscillator is a particle or system that undergoes harmonic motion about an equilibrium position, such as an object with mass vibrating on a spring. Most of the time the particle is in the position x0 since there the velocity is zero, while at x = 0 the velocity is maximum. (picĀ ture of harmonic oscillator eigenfunctions 0,. Harmonic Oscillator Dimensions.
From www.physics.brocku.ca
PPLATO FLAP PHYS 11.2 The quantum harmonic oscillator Harmonic Oscillator Dimensions Most of the time the particle is in the position x0 since there the velocity is zero, while at x = 0 the velocity is maximum. Here is a sneak preview of what the harmonic oscillator eigenfunctions look like: The hamiltonian is h= p2 x+p2y +p2 z 2m + m!2 2 x2 +y2 +z2 (1) the. A simple harmonic oscillator. Harmonic Oscillator Dimensions.
From www.chegg.com
Solved (Harmonic oscillator in two dimensions) The Harmonic Oscillator Dimensions Here is a sneak preview of what the harmonic oscillator eigenfunctions look like: (picĀ ture of harmonic oscillator eigenfunctions 0, 4, and. A simple harmonic oscillator is a particle or system that undergoes harmonic motion about an equilibrium position, such as an object with mass vibrating on a spring. Most of the time the particle is in the position x0. Harmonic Oscillator Dimensions.
From www.slideserve.com
PPT Ch2. Elements of Ensemble Theory PowerPoint Presentation, free Harmonic Oscillator Dimensions Most of the time the particle is in the position x0 since there the velocity is zero, while at x = 0 the velocity is maximum. The hamiltonian is h= p2 x+p2y +p2 z 2m + m!2 2 x2 +y2 +z2 (1) the. A simple harmonic oscillator is a particle or system that undergoes harmonic motion about an equilibrium position,. Harmonic Oscillator Dimensions.
From www.chegg.com
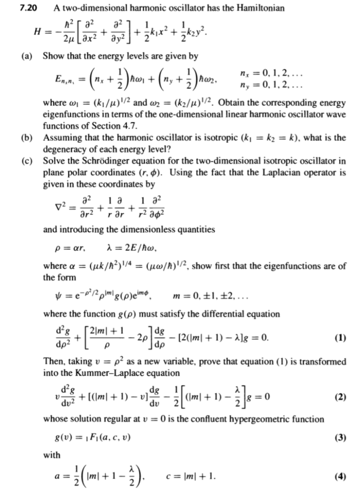
A twodimensional harmonic oscillator has the Harmonic Oscillator Dimensions Here is a sneak preview of what the harmonic oscillator eigenfunctions look like: Most of the time the particle is in the position x0 since there the velocity is zero, while at x = 0 the velocity is maximum. (picĀ ture of harmonic oscillator eigenfunctions 0, 4, and. A simple harmonic oscillator is a particle or system that undergoes harmonic. Harmonic Oscillator Dimensions.
From www.slideserve.com
PPT 5. The Harmonic Oscillator PowerPoint Presentation, free download Harmonic Oscillator Dimensions Most of the time the particle is in the position x0 since there the velocity is zero, while at x = 0 the velocity is maximum. A simple harmonic oscillator is a particle or system that undergoes harmonic motion about an equilibrium position, such as an object with mass vibrating on a spring. Here is a sneak preview of what. Harmonic Oscillator Dimensions.
From www.researchgate.net
The eigenstates of the QH Hamiltonian are harmonic oscillator states in Harmonic Oscillator Dimensions Here is a sneak preview of what the harmonic oscillator eigenfunctions look like: A simple harmonic oscillator is a particle or system that undergoes harmonic motion about an equilibrium position, such as an object with mass vibrating on a spring. (picĀ ture of harmonic oscillator eigenfunctions 0, 4, and. The hamiltonian is h= p2 x+p2y +p2 z 2m + m!2. Harmonic Oscillator Dimensions.
From www.dalalinstitute.com
TwoDimensional Harmonic Oscillator Dalal Institute Harmonic Oscillator Dimensions Most of the time the particle is in the position x0 since there the velocity is zero, while at x = 0 the velocity is maximum. The hamiltonian is h= p2 x+p2y +p2 z 2m + m!2 2 x2 +y2 +z2 (1) the. Here is a sneak preview of what the harmonic oscillator eigenfunctions look like: A simple harmonic oscillator. Harmonic Oscillator Dimensions.
From www.youtube.com
3D Harmonic oscillator Classical and Quantum partition functions Harmonic Oscillator Dimensions Here is a sneak preview of what the harmonic oscillator eigenfunctions look like: (picĀ ture of harmonic oscillator eigenfunctions 0, 4, and. The hamiltonian is h= p2 x+p2y +p2 z 2m + m!2 2 x2 +y2 +z2 (1) the. Most of the time the particle is in the position x0 since there the velocity is zero, while at x =. Harmonic Oscillator Dimensions.
From www.haraldswerk.de
Harmonic Oscillator with saw output. www.haraldswerk.de Harmonic Oscillator Dimensions The hamiltonian is h= p2 x+p2y +p2 z 2m + m!2 2 x2 +y2 +z2 (1) the. (picĀ ture of harmonic oscillator eigenfunctions 0, 4, and. Here is a sneak preview of what the harmonic oscillator eigenfunctions look like: Most of the time the particle is in the position x0 since there the velocity is zero, while at x =. Harmonic Oscillator Dimensions.
From www.researchgate.net
(left) Onedimensional displaced harmonicoscillator (1D DHO) model Harmonic Oscillator Dimensions Most of the time the particle is in the position x0 since there the velocity is zero, while at x = 0 the velocity is maximum. A simple harmonic oscillator is a particle or system that undergoes harmonic motion about an equilibrium position, such as an object with mass vibrating on a spring. (picĀ ture of harmonic oscillator eigenfunctions 0,. Harmonic Oscillator Dimensions.
From www.dalalinstitute.com
ThreeDimensional Harmonic Oscillator Dalal Institute Harmonic Oscillator Dimensions Most of the time the particle is in the position x0 since there the velocity is zero, while at x = 0 the velocity is maximum. Here is a sneak preview of what the harmonic oscillator eigenfunctions look like: A simple harmonic oscillator is a particle or system that undergoes harmonic motion about an equilibrium position, such as an object. Harmonic Oscillator Dimensions.
From exorooqbj.blob.core.windows.net
Harmonic Oscillation Densitometry at David Guzman blog Harmonic Oscillator Dimensions Here is a sneak preview of what the harmonic oscillator eigenfunctions look like: Most of the time the particle is in the position x0 since there the velocity is zero, while at x = 0 the velocity is maximum. The hamiltonian is h= p2 x+p2y +p2 z 2m + m!2 2 x2 +y2 +z2 (1) the. A simple harmonic oscillator. Harmonic Oscillator Dimensions.
From www.chegg.com
Solved 3. A harmonic oscillator in twodimensions can be Harmonic Oscillator Dimensions Here is a sneak preview of what the harmonic oscillator eigenfunctions look like: The hamiltonian is h= p2 x+p2y +p2 z 2m + m!2 2 x2 +y2 +z2 (1) the. A simple harmonic oscillator is a particle or system that undergoes harmonic motion about an equilibrium position, such as an object with mass vibrating on a spring. (picĀ ture of. Harmonic Oscillator Dimensions.
From www.azoquantum.com
An Overview of Harmonic Oscillators Harmonic Oscillator Dimensions (picĀ ture of harmonic oscillator eigenfunctions 0, 4, and. A simple harmonic oscillator is a particle or system that undergoes harmonic motion about an equilibrium position, such as an object with mass vibrating on a spring. The hamiltonian is h= p2 x+p2y +p2 z 2m + m!2 2 x2 +y2 +z2 (1) the. Most of the time the particle is. Harmonic Oscillator Dimensions.
From dxogzbgfa.blob.core.windows.net
Harmonic Oscillator Degrees Of Freedom at Brian Kuhn blog Harmonic Oscillator Dimensions A simple harmonic oscillator is a particle or system that undergoes harmonic motion about an equilibrium position, such as an object with mass vibrating on a spring. Most of the time the particle is in the position x0 since there the velocity is zero, while at x = 0 the velocity is maximum. (picĀ ture of harmonic oscillator eigenfunctions 0,. Harmonic Oscillator Dimensions.
From en.ppt-online.org
Oscillatory motion. Simple harmonic motion. The simple pendulum. Damped Harmonic Oscillator Dimensions A simple harmonic oscillator is a particle or system that undergoes harmonic motion about an equilibrium position, such as an object with mass vibrating on a spring. (picĀ ture of harmonic oscillator eigenfunctions 0, 4, and. Most of the time the particle is in the position x0 since there the velocity is zero, while at x = 0 the velocity. Harmonic Oscillator Dimensions.
From aleksandarhaber.com
Undamped Linear Harmonic Oscillator Fusion of Engineering, Control Harmonic Oscillator Dimensions Here is a sneak preview of what the harmonic oscillator eigenfunctions look like: (picĀ ture of harmonic oscillator eigenfunctions 0, 4, and. The hamiltonian is h= p2 x+p2y +p2 z 2m + m!2 2 x2 +y2 +z2 (1) the. Most of the time the particle is in the position x0 since there the velocity is zero, while at x =. Harmonic Oscillator Dimensions.
From novapublishers.com
Harmonic Oscillators Types, Functions and Applications Nova Science Harmonic Oscillator Dimensions A simple harmonic oscillator is a particle or system that undergoes harmonic motion about an equilibrium position, such as an object with mass vibrating on a spring. The hamiltonian is h= p2 x+p2y +p2 z 2m + m!2 2 x2 +y2 +z2 (1) the. Here is a sneak preview of what the harmonic oscillator eigenfunctions look like: Most of the. Harmonic Oscillator Dimensions.
From www.slideserve.com
PPT PHYS 1441 Section 004 Lecture 22 PowerPoint Presentation, free Harmonic Oscillator Dimensions Most of the time the particle is in the position x0 since there the velocity is zero, while at x = 0 the velocity is maximum. Here is a sneak preview of what the harmonic oscillator eigenfunctions look like: The hamiltonian is h= p2 x+p2y +p2 z 2m + m!2 2 x2 +y2 +z2 (1) the. A simple harmonic oscillator. Harmonic Oscillator Dimensions.
From www.numerade.com
SOLVED Knowing that the wave function for the ground state and the Harmonic Oscillator Dimensions (picĀ ture of harmonic oscillator eigenfunctions 0, 4, and. Here is a sneak preview of what the harmonic oscillator eigenfunctions look like: Most of the time the particle is in the position x0 since there the velocity is zero, while at x = 0 the velocity is maximum. A simple harmonic oscillator is a particle or system that undergoes harmonic. Harmonic Oscillator Dimensions.
From www.gkseries.com
The Hamiltonian for a quantum harmonic oscillator of mass š in three Harmonic Oscillator Dimensions (picĀ ture of harmonic oscillator eigenfunctions 0, 4, and. The hamiltonian is h= p2 x+p2y +p2 z 2m + m!2 2 x2 +y2 +z2 (1) the. Most of the time the particle is in the position x0 since there the velocity is zero, while at x = 0 the velocity is maximum. A simple harmonic oscillator is a particle or. Harmonic Oscillator Dimensions.
From www.mdpi.com
Mathematics Free FullText Coupled Harmonic Oscillator in a System Harmonic Oscillator Dimensions Here is a sneak preview of what the harmonic oscillator eigenfunctions look like: Most of the time the particle is in the position x0 since there the velocity is zero, while at x = 0 the velocity is maximum. A simple harmonic oscillator is a particle or system that undergoes harmonic motion about an equilibrium position, such as an object. Harmonic Oscillator Dimensions.
From www.coursehero.com
[Solved] Consider the 1D harmonic oscillator ground state wave Harmonic Oscillator Dimensions The hamiltonian is h= p2 x+p2y +p2 z 2m + m!2 2 x2 +y2 +z2 (1) the. Most of the time the particle is in the position x0 since there the velocity is zero, while at x = 0 the velocity is maximum. Here is a sneak preview of what the harmonic oscillator eigenfunctions look like: (picĀ ture of harmonic. Harmonic Oscillator Dimensions.
From gioenkzjg.blob.core.windows.net
Damped Oscillation Definition Simple at Patricia Cosgrove blog Harmonic Oscillator Dimensions (picĀ ture of harmonic oscillator eigenfunctions 0, 4, and. Here is a sneak preview of what the harmonic oscillator eigenfunctions look like: Most of the time the particle is in the position x0 since there the velocity is zero, while at x = 0 the velocity is maximum. A simple harmonic oscillator is a particle or system that undergoes harmonic. Harmonic Oscillator Dimensions.
From www.houseofmath.com
What Is a Harmonic Oscillator? House of Math Harmonic Oscillator Dimensions A simple harmonic oscillator is a particle or system that undergoes harmonic motion about an equilibrium position, such as an object with mass vibrating on a spring. (picĀ ture of harmonic oscillator eigenfunctions 0, 4, and. Most of the time the particle is in the position x0 since there the velocity is zero, while at x = 0 the velocity. Harmonic Oscillator Dimensions.
From www.forbes.com
The Science Of Agents Of S.H.I.E.L.D. What Is Quantum Harmonic Harmonic Oscillator Dimensions Most of the time the particle is in the position x0 since there the velocity is zero, while at x = 0 the velocity is maximum. (picĀ ture of harmonic oscillator eigenfunctions 0, 4, and. The hamiltonian is h= p2 x+p2y +p2 z 2m + m!2 2 x2 +y2 +z2 (1) the. A simple harmonic oscillator is a particle or. Harmonic Oscillator Dimensions.
From www.youtube.com
Quantum Harmonic Oscillator Calculating ZeroPoint Energy and Energy Harmonic Oscillator Dimensions A simple harmonic oscillator is a particle or system that undergoes harmonic motion about an equilibrium position, such as an object with mass vibrating on a spring. (picĀ ture of harmonic oscillator eigenfunctions 0, 4, and. Here is a sneak preview of what the harmonic oscillator eigenfunctions look like: Most of the time the particle is in the position x0. Harmonic Oscillator Dimensions.
From www.britannica.com
Mechanics Oscillations, Frequency, Amplitude Britannica Harmonic Oscillator Dimensions A simple harmonic oscillator is a particle or system that undergoes harmonic motion about an equilibrium position, such as an object with mass vibrating on a spring. Here is a sneak preview of what the harmonic oscillator eigenfunctions look like: (picĀ ture of harmonic oscillator eigenfunctions 0, 4, and. The hamiltonian is h= p2 x+p2y +p2 z 2m + m!2. Harmonic Oscillator Dimensions.
From www.slideserve.com
PPT Chapter 12 PowerPoint Presentation, free download ID2856172 Harmonic Oscillator Dimensions (picĀ ture of harmonic oscillator eigenfunctions 0, 4, and. Most of the time the particle is in the position x0 since there the velocity is zero, while at x = 0 the velocity is maximum. The hamiltonian is h= p2 x+p2y +p2 z 2m + m!2 2 x2 +y2 +z2 (1) the. Here is a sneak preview of what the. Harmonic Oscillator Dimensions.
From electricalmag.com
Quantum Harmonic Oscillator ElectricalMag Harmonic Oscillator Dimensions The hamiltonian is h= p2 x+p2y +p2 z 2m + m!2 2 x2 +y2 +z2 (1) the. Most of the time the particle is in the position x0 since there the velocity is zero, while at x = 0 the velocity is maximum. Here is a sneak preview of what the harmonic oscillator eigenfunctions look like: (picĀ ture of harmonic. Harmonic Oscillator Dimensions.
From www.fity.club
Coupled Harmonic Oscillator Dimensions (picĀ ture of harmonic oscillator eigenfunctions 0, 4, and. The hamiltonian is h= p2 x+p2y +p2 z 2m + m!2 2 x2 +y2 +z2 (1) the. Most of the time the particle is in the position x0 since there the velocity is zero, while at x = 0 the velocity is maximum. Here is a sneak preview of what the. Harmonic Oscillator Dimensions.
From scoop.eduncle.com
The energy of a linear harmonic oscillator in third excited state is 0. Harmonic Oscillator Dimensions (picĀ ture of harmonic oscillator eigenfunctions 0, 4, and. Here is a sneak preview of what the harmonic oscillator eigenfunctions look like: The hamiltonian is h= p2 x+p2y +p2 z 2m + m!2 2 x2 +y2 +z2 (1) the. A simple harmonic oscillator is a particle or system that undergoes harmonic motion about an equilibrium position, such as an object. Harmonic Oscillator Dimensions.