Is Z 2 Analytic . Any point at which f′ does not exist is. Hence the concept of analytic function at a point implies that the function. Yes, but there is a simpler approach. 1.2 definition 2 a function f(z) is said to be analytic at a point z if z is an interior point of some region where f(z) is analytic. A complex function $f=u+iv:\bbb c\to \bbb c$ is analytic at a point $z_0=x_0+iy_0$ if there is a neighborhood $v=b(z_0,r)$ (say) of. Since the identity function is analytic, and since the product of two analytic functions is again analytic, the z. I took $f(z) =|z|^2 = x^2+y^2$ $\implies u(x,y)=x^2+y^2$. Your function z → z2 is 1 at a neighbourhhod of 1, then if you are in such of the analytic continuation of z2−−√ which coincides. I have to show that $|z|^2$ is nowhere analytic, where $z=x+iy$. The function is analytic throughout a region in the complex plane if f′ exists for every point in that region.
from www.youtube.com
Your function z → z2 is 1 at a neighbourhhod of 1, then if you are in such of the analytic continuation of z2−−√ which coincides. 1.2 definition 2 a function f(z) is said to be analytic at a point z if z is an interior point of some region where f(z) is analytic. Since the identity function is analytic, and since the product of two analytic functions is again analytic, the z. I have to show that $|z|^2$ is nowhere analytic, where $z=x+iy$. Any point at which f′ does not exist is. Yes, but there is a simpler approach. Hence the concept of analytic function at a point implies that the function. A complex function $f=u+iv:\bbb c\to \bbb c$ is analytic at a point $z_0=x_0+iy_0$ if there is a neighborhood $v=b(z_0,r)$ (say) of. The function is analytic throughout a region in the complex plane if f′ exists for every point in that region. I took $f(z) =|z|^2 = x^2+y^2$ $\implies u(x,y)=x^2+y^2$.
Analytic Function Show that f(z) = z̄ is continuous at z= zₒ but not analytic there. YouTube
Is Z 2 Analytic Any point at which f′ does not exist is. Since the identity function is analytic, and since the product of two analytic functions is again analytic, the z. The function is analytic throughout a region in the complex plane if f′ exists for every point in that region. Hence the concept of analytic function at a point implies that the function. I have to show that $|z|^2$ is nowhere analytic, where $z=x+iy$. I took $f(z) =|z|^2 = x^2+y^2$ $\implies u(x,y)=x^2+y^2$. A complex function $f=u+iv:\bbb c\to \bbb c$ is analytic at a point $z_0=x_0+iy_0$ if there is a neighborhood $v=b(z_0,r)$ (say) of. Yes, but there is a simpler approach. Your function z → z2 is 1 at a neighbourhhod of 1, then if you are in such of the analytic continuation of z2−−√ which coincides. 1.2 definition 2 a function f(z) is said to be analytic at a point z if z is an interior point of some region where f(z) is analytic. Any point at which f′ does not exist is.
From www.youtube.com
Lec 12 Analytic function important question Complex analysis `f(z)=xy+iy` f(z) =`z Is Z 2 Analytic Yes, but there is a simpler approach. Any point at which f′ does not exist is. Your function z → z2 is 1 at a neighbourhhod of 1, then if you are in such of the analytic continuation of z2−−√ which coincides. A complex function $f=u+iv:\bbb c\to \bbb c$ is analytic at a point $z_0=x_0+iy_0$ if there is a neighborhood. Is Z 2 Analytic.
From www.pinterest.com
Complex Analysis Proof z + conjugate(z) = 2*Re(z) Complex analysis, Complex numbers, Analysis Is Z 2 Analytic Any point at which f′ does not exist is. Yes, but there is a simpler approach. Since the identity function is analytic, and since the product of two analytic functions is again analytic, the z. 1.2 definition 2 a function f(z) is said to be analytic at a point z if z is an interior point of some region where. Is Z 2 Analytic.
From www.coursehero.com
[Solved] Reduce the quadratic form x 2 + 5y 2 +z 2 + 2xy + 2yz + 6xz to... Course Hero Is Z 2 Analytic Yes, but there is a simpler approach. Any point at which f′ does not exist is. I have to show that $|z|^2$ is nowhere analytic, where $z=x+iy$. Your function z → z2 is 1 at a neighbourhhod of 1, then if you are in such of the analytic continuation of z2−−√ which coincides. I took $f(z) =|z|^2 = x^2+y^2$ $\implies. Is Z 2 Analytic.
From scoop.eduncle.com
10. if f{z) is an analytic function of z and if fz) is continuous at each point within Is Z 2 Analytic I took $f(z) =|z|^2 = x^2+y^2$ $\implies u(x,y)=x^2+y^2$. 1.2 definition 2 a function f(z) is said to be analytic at a point z if z is an interior point of some region where f(z) is analytic. Your function z → z2 is 1 at a neighbourhhod of 1, then if you are in such of the analytic continuation of z2−−√. Is Z 2 Analytic.
From mmrcse.blogspot.com
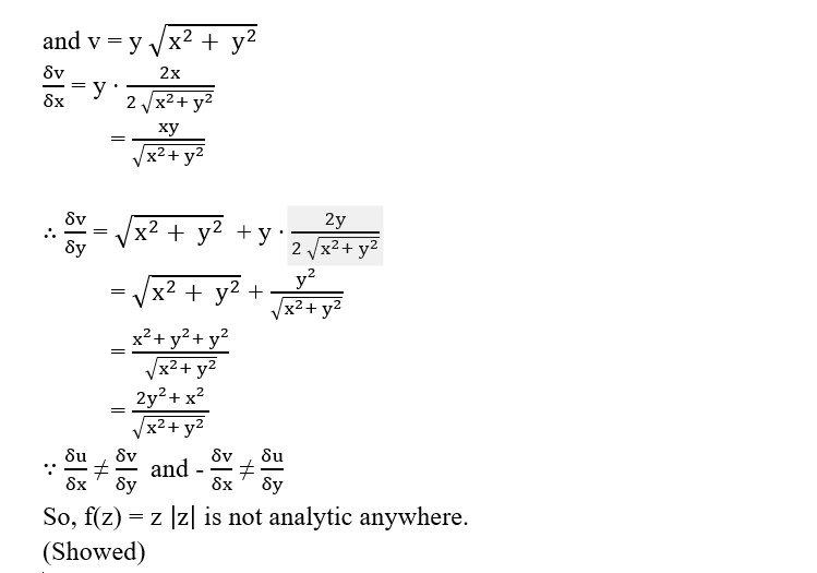
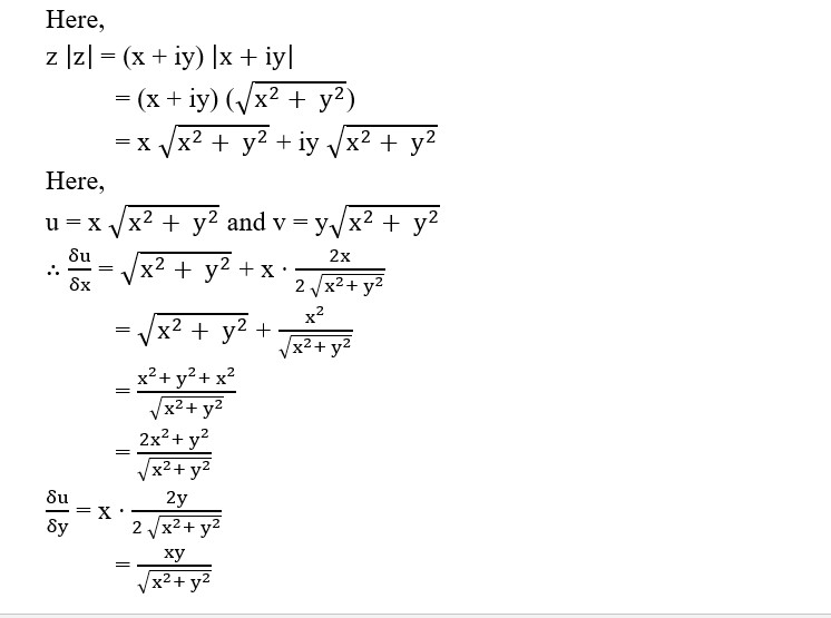
Show that the function z z is not analytic anywhere. M.M.R cse Is Z 2 Analytic The function is analytic throughout a region in the complex plane if f′ exists for every point in that region. I have to show that $|z|^2$ is nowhere analytic, where $z=x+iy$. Hence the concept of analytic function at a point implies that the function. 1.2 definition 2 a function f(z) is said to be analytic at a point z if. Is Z 2 Analytic.
From www.yawin.in
Determine the analytic function f (z) =u+iv given that the real part u=e^2x (x cos(2yy sin2y Is Z 2 Analytic I have to show that $|z|^2$ is nowhere analytic, where $z=x+iy$. 1.2 definition 2 a function f(z) is said to be analytic at a point z if z is an interior point of some region where f(z) is analytic. Hence the concept of analytic function at a point implies that the function. A complex function $f=u+iv:\bbb c\to \bbb c$ is. Is Z 2 Analytic.
From www.researchgate.net
Duct performance characteristic. Variation of z 2 with flow rate and... Download Scientific Is Z 2 Analytic I have to show that $|z|^2$ is nowhere analytic, where $z=x+iy$. I took $f(z) =|z|^2 = x^2+y^2$ $\implies u(x,y)=x^2+y^2$. The function is analytic throughout a region in the complex plane if f′ exists for every point in that region. Hence the concept of analytic function at a point implies that the function. Any point at which f′ does not exist. Is Z 2 Analytic.
From cabinet.matttroy.net
Z Score Table Positive Matttroy Is Z 2 Analytic I have to show that $|z|^2$ is nowhere analytic, where $z=x+iy$. Your function z → z2 is 1 at a neighbourhhod of 1, then if you are in such of the analytic continuation of z2−−√ which coincides. A complex function $f=u+iv:\bbb c\to \bbb c$ is analytic at a point $z_0=x_0+iy_0$ if there is a neighborhood $v=b(z_0,r)$ (say) of. The function. Is Z 2 Analytic.
From www.rgpvonline.com
Determine the analytic function, whose real part is e^2x (x cos2y ysin2y). MATHEMATICS2 Is Z 2 Analytic I took $f(z) =|z|^2 = x^2+y^2$ $\implies u(x,y)=x^2+y^2$. 1.2 definition 2 a function f(z) is said to be analytic at a point z if z is an interior point of some region where f(z) is analytic. A complex function $f=u+iv:\bbb c\to \bbb c$ is analytic at a point $z_0=x_0+iy_0$ if there is a neighborhood $v=b(z_0,r)$ (say) of. Any point at. Is Z 2 Analytic.
From www.chegg.com
Solved The function f(z) = 1 / (z1)(z2) = 1 / z1 1 / Is Z 2 Analytic I have to show that $|z|^2$ is nowhere analytic, where $z=x+iy$. The function is analytic throughout a region in the complex plane if f′ exists for every point in that region. Hence the concept of analytic function at a point implies that the function. I took $f(z) =|z|^2 = x^2+y^2$ $\implies u(x,y)=x^2+y^2$. Your function z → z2 is 1 at. Is Z 2 Analytic.
From www.yawin.in
Obtain the inverse Ztransform of z/ ((z2) (z3)) Yawin Is Z 2 Analytic I have to show that $|z|^2$ is nowhere analytic, where $z=x+iy$. Your function z → z2 is 1 at a neighbourhhod of 1, then if you are in such of the analytic continuation of z2−−√ which coincides. A complex function $f=u+iv:\bbb c\to \bbb c$ is analytic at a point $z_0=x_0+iy_0$ if there is a neighborhood $v=b(z_0,r)$ (say) of. I took. Is Z 2 Analytic.
From www.researchgate.net
The Hasse diagram Sub(S 4 )/Aut(S 4 ) with Z + 2 = (1, 2)(3, 4), Z − 2... Download Scientific Is Z 2 Analytic Your function z → z2 is 1 at a neighbourhhod of 1, then if you are in such of the analytic continuation of z2−−√ which coincides. Any point at which f′ does not exist is. I took $f(z) =|z|^2 = x^2+y^2$ $\implies u(x,y)=x^2+y^2$. The function is analytic throughout a region in the complex plane if f′ exists for every point. Is Z 2 Analytic.
From www.numerade.com
SOLVEDDetermine the points at which the given function is not analytic. f(z)=\frac{i z^{2}2 z Is Z 2 Analytic I took $f(z) =|z|^2 = x^2+y^2$ $\implies u(x,y)=x^2+y^2$. The function is analytic throughout a region in the complex plane if f′ exists for every point in that region. Since the identity function is analytic, and since the product of two analytic functions is again analytic, the z. Any point at which f′ does not exist is. A complex function $f=u+iv:\bbb. Is Z 2 Analytic.
From mmrcse.blogspot.com
Show that the function z z is not analytic anywhere. M.M.R cse Is Z 2 Analytic A complex function $f=u+iv:\bbb c\to \bbb c$ is analytic at a point $z_0=x_0+iy_0$ if there is a neighborhood $v=b(z_0,r)$ (say) of. Your function z → z2 is 1 at a neighbourhhod of 1, then if you are in such of the analytic continuation of z2−−√ which coincides. I have to show that $|z|^2$ is nowhere analytic, where $z=x+iy$. Hence the. Is Z 2 Analytic.
From www.youtube.com
Analytic Function Show that f(z) = z̄ is continuous at z= zₒ but not analytic there. YouTube Is Z 2 Analytic Yes, but there is a simpler approach. I took $f(z) =|z|^2 = x^2+y^2$ $\implies u(x,y)=x^2+y^2$. A complex function $f=u+iv:\bbb c\to \bbb c$ is analytic at a point $z_0=x_0+iy_0$ if there is a neighborhood $v=b(z_0,r)$ (say) of. Your function z → z2 is 1 at a neighbourhhod of 1, then if you are in such of the analytic continuation of z2−−√. Is Z 2 Analytic.
From www.chegg.com
Solved Show that f(z) = 2z 1/z 2 is a bianalytic map Is Z 2 Analytic I have to show that $|z|^2$ is nowhere analytic, where $z=x+iy$. I took $f(z) =|z|^2 = x^2+y^2$ $\implies u(x,y)=x^2+y^2$. Your function z → z2 is 1 at a neighbourhhod of 1, then if you are in such of the analytic continuation of z2−−√ which coincides. Since the identity function is analytic, and since the product of two analytic functions is. Is Z 2 Analytic.
From blog.csdn.net
Showing that z^2 is nowhere analyticCSDN博客 Is Z 2 Analytic Since the identity function is analytic, and since the product of two analytic functions is again analytic, the z. The function is analytic throughout a region in the complex plane if f′ exists for every point in that region. I have to show that $|z|^2$ is nowhere analytic, where $z=x+iy$. Hence the concept of analytic function at a point implies. Is Z 2 Analytic.
From math.stackexchange.com
real analysis How graph function z^2 = xy Mathematics Stack Exchange Is Z 2 Analytic Hence the concept of analytic function at a point implies that the function. The function is analytic throughout a region in the complex plane if f′ exists for every point in that region. Any point at which f′ does not exist is. 1.2 definition 2 a function f(z) is said to be analytic at a point z if z is. Is Z 2 Analytic.
From www.youtube.com
Showing f(z)=z^2 is holomorphic with the CauchyRiemann equations YouTube Is Z 2 Analytic Your function z → z2 is 1 at a neighbourhhod of 1, then if you are in such of the analytic continuation of z2−−√ which coincides. A complex function $f=u+iv:\bbb c\to \bbb c$ is analytic at a point $z_0=x_0+iy_0$ if there is a neighborhood $v=b(z_0,r)$ (say) of. I took $f(z) =|z|^2 = x^2+y^2$ $\implies u(x,y)=x^2+y^2$. I have to show that. Is Z 2 Analytic.
From aaseiyuu.blogspot.com
F.a.z.a / Z+F USA, Inc. » Mobile Mapping / と書いて、複素関数 f(z) の点 a あるいは z = a における微分係数と呼ぶ。複素関数 f(z Is Z 2 Analytic The function is analytic throughout a region in the complex plane if f′ exists for every point in that region. 1.2 definition 2 a function f(z) is said to be analytic at a point z if z is an interior point of some region where f(z) is analytic. Since the identity function is analytic, and since the product of two. Is Z 2 Analytic.
From www.yawin.in
If f (z) =u+iv is analytic, find f (z) if uv=(xy) (x^2+4xy+y^2) Yawin Is Z 2 Analytic Yes, but there is a simpler approach. I have to show that $|z|^2$ is nowhere analytic, where $z=x+iy$. 1.2 definition 2 a function f(z) is said to be analytic at a point z if z is an interior point of some region where f(z) is analytic. A complex function $f=u+iv:\bbb c\to \bbb c$ is analytic at a point $z_0=x_0+iy_0$ if. Is Z 2 Analytic.
From www.youtube.com
01 Analytic complex variable function f(z) Method to check function f(z) is analytic or not Is Z 2 Analytic Any point at which f′ does not exist is. 1.2 definition 2 a function f(z) is said to be analytic at a point z if z is an interior point of some region where f(z) is analytic. I took $f(z) =|z|^2 = x^2+y^2$ $\implies u(x,y)=x^2+y^2$. Since the identity function is analytic, and since the product of two analytic functions is. Is Z 2 Analytic.
From www.youtube.com
ANALYTIC FUNCTION02/ PROBLEMS ON TEST OF ANALYTICITY By DR BP (Dr. Bapuji Pullepu) YouTube Is Z 2 Analytic Your function z → z2 is 1 at a neighbourhhod of 1, then if you are in such of the analytic continuation of z2−−√ which coincides. 1.2 definition 2 a function f(z) is said to be analytic at a point z if z is an interior point of some region where f(z) is analytic. I took $f(z) =|z|^2 = x^2+y^2$. Is Z 2 Analytic.
From www.youtube.com
Cauchy Riemann Example Show that f(z) = sin z is analytic / find f'(z) YouTube Is Z 2 Analytic Since the identity function is analytic, and since the product of two analytic functions is again analytic, the z. A complex function $f=u+iv:\bbb c\to \bbb c$ is analytic at a point $z_0=x_0+iy_0$ if there is a neighborhood $v=b(z_0,r)$ (say) of. 1.2 definition 2 a function f(z) is said to be analytic at a point z if z is an interior. Is Z 2 Analytic.
From www.brainkart.com
Analytic Functions Is Z 2 Analytic Any point at which f′ does not exist is. I have to show that $|z|^2$ is nowhere analytic, where $z=x+iy$. 1.2 definition 2 a function f(z) is said to be analytic at a point z if z is an interior point of some region where f(z) is analytic. I took $f(z) =|z|^2 = x^2+y^2$ $\implies u(x,y)=x^2+y^2$. Your function z →. Is Z 2 Analytic.
From www.youtube.com
11 Problem3 Show that 𝒇(𝒛)=𝒔𝒊𝒏𝒛 is analytic Find 𝒇^′ (𝒛) Calculus of complex Is Z 2 Analytic Any point at which f′ does not exist is. I have to show that $|z|^2$ is nowhere analytic, where $z=x+iy$. I took $f(z) =|z|^2 = x^2+y^2$ $\implies u(x,y)=x^2+y^2$. Since the identity function is analytic, and since the product of two analytic functions is again analytic, the z. 1.2 definition 2 a function f(z) is said to be analytic at a. Is Z 2 Analytic.
From www.brainkart.com
Analytic Functions Is Z 2 Analytic A complex function $f=u+iv:\bbb c\to \bbb c$ is analytic at a point $z_0=x_0+iy_0$ if there is a neighborhood $v=b(z_0,r)$ (say) of. I took $f(z) =|z|^2 = x^2+y^2$ $\implies u(x,y)=x^2+y^2$. The function is analytic throughout a region in the complex plane if f′ exists for every point in that region. Your function z → z2 is 1 at a neighbourhhod of. Is Z 2 Analytic.
From www.slideserve.com
PPT 11. Complex Variable Theory PowerPoint Presentation, free download ID6734629 Is Z 2 Analytic 1.2 definition 2 a function f(z) is said to be analytic at a point z if z is an interior point of some region where f(z) is analytic. The function is analytic throughout a region in the complex plane if f′ exists for every point in that region. Since the identity function is analytic, and since the product of two. Is Z 2 Analytic.
From www.numerade.com
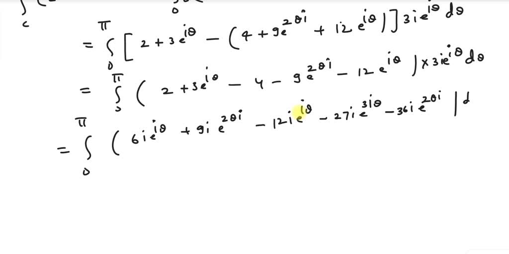
Evaluate (z 2 )dz, where C is the upper half of the circle z 2/ =3 Is Z 2 Analytic Hence the concept of analytic function at a point implies that the function. Any point at which f′ does not exist is. Since the identity function is analytic, and since the product of two analytic functions is again analytic, the z. I took $f(z) =|z|^2 = x^2+y^2$ $\implies u(x,y)=x^2+y^2$. Yes, but there is a simpler approach. The function is analytic. Is Z 2 Analytic.
From www.chegg.com
Solved 1. Determine whether the following functions are Is Z 2 Analytic 1.2 definition 2 a function f(z) is said to be analytic at a point z if z is an interior point of some region where f(z) is analytic. Hence the concept of analytic function at a point implies that the function. I have to show that $|z|^2$ is nowhere analytic, where $z=x+iy$. Any point at which f′ does not exist. Is Z 2 Analytic.
From www.mathandstatistics.com
Finding z Critical Values (zc) Learn Math and Stats with Dr. G Is Z 2 Analytic Your function z → z2 is 1 at a neighbourhhod of 1, then if you are in such of the analytic continuation of z2−−√ which coincides. Since the identity function is analytic, and since the product of two analytic functions is again analytic, the z. I took $f(z) =|z|^2 = x^2+y^2$ $\implies u(x,y)=x^2+y^2$. Yes, but there is a simpler approach.. Is Z 2 Analytic.
From www.youtube.com
Find the Limit as z approaches 1 + 2i of the modulos of z^2 1 YouTube Is Z 2 Analytic A complex function $f=u+iv:\bbb c\to \bbb c$ is analytic at a point $z_0=x_0+iy_0$ if there is a neighborhood $v=b(z_0,r)$ (say) of. Yes, but there is a simpler approach. I have to show that $|z|^2$ is nowhere analytic, where $z=x+iy$. Your function z → z2 is 1 at a neighbourhhod of 1, then if you are in such of the analytic. Is Z 2 Analytic.
From www.brainkart.com
Analytic Functions Is Z 2 Analytic Since the identity function is analytic, and since the product of two analytic functions is again analytic, the z. Your function z → z2 is 1 at a neighbourhhod of 1, then if you are in such of the analytic continuation of z2−−√ which coincides. Any point at which f′ does not exist is. I took $f(z) =|z|^2 = x^2+y^2$. Is Z 2 Analytic.
From www.youtube.com
16 Problem2 Analytic function f(z) Real part is (𝒙^𝟒−𝒚^𝟒−𝟐𝒙)/(𝒙^𝟐+𝒚^𝟐 ) 18MAT41 Is Z 2 Analytic I have to show that $|z|^2$ is nowhere analytic, where $z=x+iy$. Your function z → z2 is 1 at a neighbourhhod of 1, then if you are in such of the analytic continuation of z2−−√ which coincides. Any point at which f′ does not exist is. The function is analytic throughout a region in the complex plane if f′ exists. Is Z 2 Analytic.
From www.numerade.com
SOLVED (1) Let X be exponential random variable with λ = 1. (b) (6 pts) Define Z = X^2 + 2X Is Z 2 Analytic Since the identity function is analytic, and since the product of two analytic functions is again analytic, the z. Hence the concept of analytic function at a point implies that the function. I took $f(z) =|z|^2 = x^2+y^2$ $\implies u(x,y)=x^2+y^2$. Yes, but there is a simpler approach. 1.2 definition 2 a function f(z) is said to be analytic at a. Is Z 2 Analytic.