Angle Measured Clockwise . Make sure you are accurate, carefully make a small but visible mark on the map. The bearing of a from b is 205. But both angles have the same terminal side. Clockwise means moving in the same way or direction as the hands of a clock move. To draw an angle in standard position, draw the initial side along the. A bearing is an angle, measured clockwise from the north direction. Because both angles have the same terminal side, they are coterminal angles. Measure an angle of 105° clockwise from the north line. Below, the bearing of b from a is 025 degrees (note 3 figures are always given). A positive angle is measured counterclockwise from the initial side and a negative angle is measured clockwise. If two angles in standard. Learn how to identify clockwise and anticlockwise. Every angle greater than 360° or less.
from www.researchgate.net
Because both angles have the same terminal side, they are coterminal angles. If two angles in standard. But both angles have the same terminal side. The bearing of a from b is 205. Every angle greater than 360° or less. To draw an angle in standard position, draw the initial side along the. Measure an angle of 105° clockwise from the north line. Learn how to identify clockwise and anticlockwise. A positive angle is measured counterclockwise from the initial side and a negative angle is measured clockwise. Make sure you are accurate, carefully make a small but visible mark on the map.
The position angles of field measured clockwise with respect
Angle Measured Clockwise Learn how to identify clockwise and anticlockwise. Below, the bearing of b from a is 025 degrees (note 3 figures are always given). Measure an angle of 105° clockwise from the north line. Every angle greater than 360° or less. Clockwise means moving in the same way or direction as the hands of a clock move. The bearing of a from b is 205. But both angles have the same terminal side. If two angles in standard. A bearing is an angle, measured clockwise from the north direction. Because both angles have the same terminal side, they are coterminal angles. A positive angle is measured counterclockwise from the initial side and a negative angle is measured clockwise. Learn how to identify clockwise and anticlockwise. Make sure you are accurate, carefully make a small but visible mark on the map. To draw an angle in standard position, draw the initial side along the.
From www.chegg.com
Solved What is the direction of the electric field at the Angle Measured Clockwise Learn how to identify clockwise and anticlockwise. The bearing of a from b is 205. Below, the bearing of b from a is 025 degrees (note 3 figures are always given). To draw an angle in standard position, draw the initial side along the. If two angles in standard. Make sure you are accurate, carefully make a small but visible. Angle Measured Clockwise.
From www.numerade.com
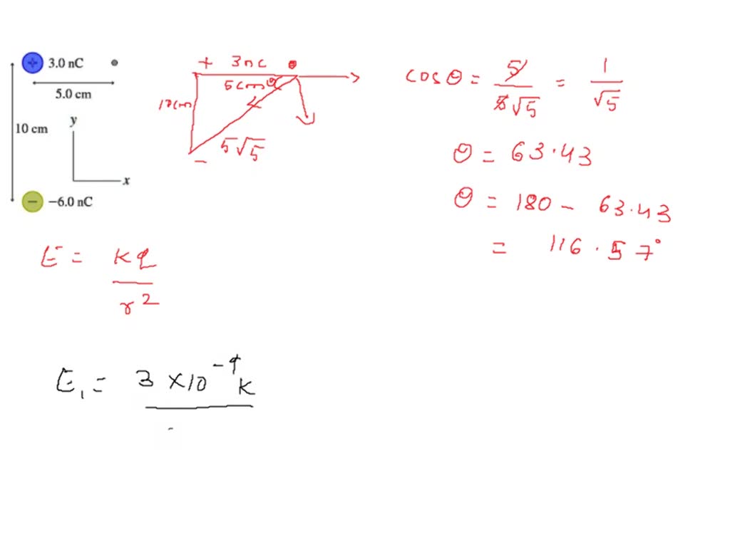
SOLVED PartA) What is the strength of the electric field at the Angle Measured Clockwise Measure an angle of 105° clockwise from the north line. Because both angles have the same terminal side, they are coterminal angles. Below, the bearing of b from a is 025 degrees (note 3 figures are always given). The bearing of a from b is 205. If two angles in standard. A bearing is an angle, measured clockwise from the. Angle Measured Clockwise.
From www.numerade.com
SOLVED Three forces of magnitudes F1=4.0N, F2=6.0N, and F3=8.0N are Angle Measured Clockwise Because both angles have the same terminal side, they are coterminal angles. Clockwise means moving in the same way or direction as the hands of a clock move. To draw an angle in standard position, draw the initial side along the. But both angles have the same terminal side. Learn how to identify clockwise and anticlockwise. The bearing of a. Angle Measured Clockwise.
From www.chegg.com
Solved Determine the magnitude of the resultant force Angle Measured Clockwise But both angles have the same terminal side. The bearing of a from b is 205. Learn how to identify clockwise and anticlockwise. Every angle greater than 360° or less. To draw an angle in standard position, draw the initial side along the. Clockwise means moving in the same way or direction as the hands of a clock move. Measure. Angle Measured Clockwise.
From www.chegg.com
Solved Compute the vertical and horizontal components for Angle Measured Clockwise Measure an angle of 105° clockwise from the north line. Make sure you are accurate, carefully make a small but visible mark on the map. Because both angles have the same terminal side, they are coterminal angles. Learn how to identify clockwise and anticlockwise. If two angles in standard. To draw an angle in standard position, draw the initial side. Angle Measured Clockwise.
From www.researchgate.net
Distribution of the azimuth angle α (measured clockwise from Angle Measured Clockwise Below, the bearing of b from a is 025 degrees (note 3 figures are always given). The bearing of a from b is 205. Make sure you are accurate, carefully make a small but visible mark on the map. A positive angle is measured counterclockwise from the initial side and a negative angle is measured clockwise. A bearing is an. Angle Measured Clockwise.
From www.studyxapp.com
what is the strength of the electric field at the position indicated by Angle Measured Clockwise But both angles have the same terminal side. Clockwise means moving in the same way or direction as the hands of a clock move. A bearing is an angle, measured clockwise from the north direction. Measure an angle of 105° clockwise from the north line. If two angles in standard. Every angle greater than 360° or less. A positive angle. Angle Measured Clockwise.
From byjus.com
A. Find the angle made by the straight line y= √(3)x+3 with the Angle Measured Clockwise Learn how to identify clockwise and anticlockwise. Clockwise means moving in the same way or direction as the hands of a clock move. Because both angles have the same terminal side, they are coterminal angles. A positive angle is measured counterclockwise from the initial side and a negative angle is measured clockwise. Below, the bearing of b from a is. Angle Measured Clockwise.
From slideplayer.com
Notes 4.1 Angles and Their Measure ppt download Angle Measured Clockwise Because both angles have the same terminal side, they are coterminal angles. A positive angle is measured counterclockwise from the initial side and a negative angle is measured clockwise. To draw an angle in standard position, draw the initial side along the. Make sure you are accurate, carefully make a small but visible mark on the map. Clockwise means moving. Angle Measured Clockwise.
From www.cuemath.com
Clockwise Definition & Examples Cuemath Angle Measured Clockwise A positive angle is measured counterclockwise from the initial side and a negative angle is measured clockwise. Every angle greater than 360° or less. But both angles have the same terminal side. Below, the bearing of b from a is 025 degrees (note 3 figures are always given). To draw an angle in standard position, draw the initial side along. Angle Measured Clockwise.
From www.gauthmath.com
Solved 4 The bearing of A from B is 310° Do not write outside the box Angle Measured Clockwise Every angle greater than 360° or less. Clockwise means moving in the same way or direction as the hands of a clock move. A positive angle is measured counterclockwise from the initial side and a negative angle is measured clockwise. The bearing of a from b is 205. Learn how to identify clockwise and anticlockwise. Because both angles have the. Angle Measured Clockwise.
From www.numerade.com
SOLVED SAMPLE PROBLEM4 Determine the 𝐱 and y components of each Angle Measured Clockwise Clockwise means moving in the same way or direction as the hands of a clock move. But both angles have the same terminal side. A positive angle is measured counterclockwise from the initial side and a negative angle is measured clockwise. To draw an angle in standard position, draw the initial side along the. A bearing is an angle, measured. Angle Measured Clockwise.
From www.chegg.com
Solved The total mass of the arm shown in (Figure 1) is 3.0 Angle Measured Clockwise Below, the bearing of b from a is 025 degrees (note 3 figures are always given). Because both angles have the same terminal side, they are coterminal angles. A positive angle is measured counterclockwise from the initial side and a negative angle is measured clockwise. Every angle greater than 360° or less. If two angles in standard. Make sure you. Angle Measured Clockwise.
From www.chegg.com
Solved 3. What are the strength and direction of the Angle Measured Clockwise But both angles have the same terminal side. The bearing of a from b is 205. Learn how to identify clockwise and anticlockwise. Every angle greater than 360° or less. Measure an angle of 105° clockwise from the north line. A positive angle is measured counterclockwise from the initial side and a negative angle is measured clockwise. Clockwise means moving. Angle Measured Clockwise.
From www.numerade.com
SOLVED If F1=800N, determine the magnitude of the resultant force Angle Measured Clockwise The bearing of a from b is 205. Make sure you are accurate, carefully make a small but visible mark on the map. If two angles in standard. Because both angles have the same terminal side, they are coterminal angles. Every angle greater than 360° or less. Learn how to identify clockwise and anticlockwise. But both angles have the same. Angle Measured Clockwise.
From www.numerade.com
SOLVED If Φ = 30° and F2 = 3 kN, determine the magnitude of the Angle Measured Clockwise The bearing of a from b is 205. Below, the bearing of b from a is 025 degrees (note 3 figures are always given). But both angles have the same terminal side. If two angles in standard. Because both angles have the same terminal side, they are coterminal angles. Clockwise means moving in the same way or direction as the. Angle Measured Clockwise.
From www.chegg.com
Solved What is the direction of the electric field at the Angle Measured Clockwise Below, the bearing of b from a is 025 degrees (note 3 figures are always given). Make sure you are accurate, carefully make a small but visible mark on the map. If two angles in standard. Measure an angle of 105° clockwise from the north line. But both angles have the same terminal side. A positive angle is measured counterclockwise. Angle Measured Clockwise.
From www.bartleby.com
Answered (Next two questions) Point P lies on… bartleby Angle Measured Clockwise Make sure you are accurate, carefully make a small but visible mark on the map. Every angle greater than 360° or less. To draw an angle in standard position, draw the initial side along the. The bearing of a from b is 205. Because both angles have the same terminal side, they are coterminal angles. If two angles in standard.. Angle Measured Clockwise.
From www.numerade.com
SOLVED Part C Determine the angle between the positive xaxis and the Angle Measured Clockwise The bearing of a from b is 205. Make sure you are accurate, carefully make a small but visible mark on the map. Learn how to identify clockwise and anticlockwise. Because both angles have the same terminal side, they are coterminal angles. A bearing is an angle, measured clockwise from the north direction. Clockwise means moving in the same way. Angle Measured Clockwise.
From www.researchgate.net
Sky map of the MHM grid. The azimuth angle is measured clockwise from Angle Measured Clockwise But both angles have the same terminal side. Learn how to identify clockwise and anticlockwise. Every angle greater than 360° or less. Because both angles have the same terminal side, they are coterminal angles. Clockwise means moving in the same way or direction as the hands of a clock move. Make sure you are accurate, carefully make a small but. Angle Measured Clockwise.
From www.numerade.com
SOLVED Part A What is the strength of the electric field at the Angle Measured Clockwise Measure an angle of 105° clockwise from the north line. Below, the bearing of b from a is 025 degrees (note 3 figures are always given). Clockwise means moving in the same way or direction as the hands of a clock move. But both angles have the same terminal side. A bearing is an angle, measured clockwise from the north. Angle Measured Clockwise.
From www.pinterest.com
Measuring and Classifying Angles up to 360° Lessons and Worksheets Angle Measured Clockwise To draw an angle in standard position, draw the initial side along the. A positive angle is measured counterclockwise from the initial side and a negative angle is measured clockwise. But both angles have the same terminal side. Clockwise means moving in the same way or direction as the hands of a clock move. If two angles in standard. The. Angle Measured Clockwise.
From www.chegg.com
Solved The horizontal angle measured clockwise Angle Measured Clockwise Measure an angle of 105° clockwise from the north line. A bearing is an angle, measured clockwise from the north direction. To draw an angle in standard position, draw the initial side along the. Make sure you are accurate, carefully make a small but visible mark on the map. The bearing of a from b is 205. Below, the bearing. Angle Measured Clockwise.
From www.numerade.com
SOLVED What is the angle that the resultant force forms with the Angle Measured Clockwise Learn how to identify clockwise and anticlockwise. To draw an angle in standard position, draw the initial side along the. A positive angle is measured counterclockwise from the initial side and a negative angle is measured clockwise. Below, the bearing of b from a is 025 degrees (note 3 figures are always given). Every angle greater than 360° or less.. Angle Measured Clockwise.
From www.chegg.com
Solved I Review What is the strength of the electric field Angle Measured Clockwise Because both angles have the same terminal side, they are coterminal angles. Clockwise means moving in the same way or direction as the hands of a clock move. A positive angle is measured counterclockwise from the initial side and a negative angle is measured clockwise. Every angle greater than 360° or less. A bearing is an angle, measured clockwise from. Angle Measured Clockwise.
From www.chegg.com
Solved What is the strength of the electric field at the Angle Measured Clockwise But both angles have the same terminal side. A bearing is an angle, measured clockwise from the north direction. Because both angles have the same terminal side, they are coterminal angles. Learn how to identify clockwise and anticlockwise. Every angle greater than 360° or less. A positive angle is measured counterclockwise from the initial side and a negative angle is. Angle Measured Clockwise.
From www.researchgate.net
The position angles of field measured clockwise with respect Angle Measured Clockwise Every angle greater than 360° or less. The bearing of a from b is 205. A bearing is an angle, measured clockwise from the north direction. To draw an angle in standard position, draw the initial side along the. Because both angles have the same terminal side, they are coterminal angles. A positive angle is measured counterclockwise from the initial. Angle Measured Clockwise.
From www.chegg.com
Solved •233. If F1 = 600 N and Ø = 30°, determine the Angle Measured Clockwise Measure an angle of 105° clockwise from the north line. Learn how to identify clockwise and anticlockwise. The bearing of a from b is 205. Make sure you are accurate, carefully make a small but visible mark on the map. To draw an angle in standard position, draw the initial side along the. Every angle greater than 360° or less.. Angle Measured Clockwise.
From brainly.com
what is the angle of the clockwise rotation in degrees Angle Measured Clockwise Below, the bearing of b from a is 025 degrees (note 3 figures are always given). Clockwise means moving in the same way or direction as the hands of a clock move. But both angles have the same terminal side. Every angle greater than 360° or less. A positive angle is measured counterclockwise from the initial side and a negative. Angle Measured Clockwise.
From www.chegg.com
Solved What is the direction of the electric field at the Angle Measured Clockwise Below, the bearing of b from a is 025 degrees (note 3 figures are always given). The bearing of a from b is 205. A bearing is an angle, measured clockwise from the north direction. Every angle greater than 360° or less. Learn how to identify clockwise and anticlockwise. To draw an angle in standard position, draw the initial side. Angle Measured Clockwise.
From www.chegg.com
Solved 2. All angles are measured in a counterclockwise Angle Measured Clockwise Below, the bearing of b from a is 025 degrees (note 3 figures are always given). The bearing of a from b is 205. If two angles in standard. Learn how to identify clockwise and anticlockwise. To draw an angle in standard position, draw the initial side along the. But both angles have the same terminal side. Every angle greater. Angle Measured Clockwise.
From www.researchgate.net
Measured thrust and rpm during clockwise skew angle flight test. Angles Angle Measured Clockwise Measure an angle of 105° clockwise from the north line. To draw an angle in standard position, draw the initial side along the. Below, the bearing of b from a is 025 degrees (note 3 figures are always given). Because both angles have the same terminal side, they are coterminal angles. Make sure you are accurate, carefully make a small. Angle Measured Clockwise.
From www.chegg.com
Solved 2. All angles are measured in a counterclockwise Angle Measured Clockwise To draw an angle in standard position, draw the initial side along the. Because both angles have the same terminal side, they are coterminal angles. But both angles have the same terminal side. If two angles in standard. Measure an angle of 105° clockwise from the north line. A positive angle is measured counterclockwise from the initial side and a. Angle Measured Clockwise.
From www.chegg.com
Solved Determine the orientation θR of the resultant force, Angle Measured Clockwise Because both angles have the same terminal side, they are coterminal angles. But both angles have the same terminal side. Measure an angle of 105° clockwise from the north line. Learn how to identify clockwise and anticlockwise. A bearing is an angle, measured clockwise from the north direction. If two angles in standard. A positive angle is measured counterclockwise from. Angle Measured Clockwise.
From learnwithashiso1.blogspot.com
How do you find the angle of deflection? , What is the deflection angle Angle Measured Clockwise Below, the bearing of b from a is 025 degrees (note 3 figures are always given). Clockwise means moving in the same way or direction as the hands of a clock move. But both angles have the same terminal side. A bearing is an angle, measured clockwise from the north direction. To draw an angle in standard position, draw the. Angle Measured Clockwise.