Science Education In Theory And Practice . • describe a number of learning theories and their relevance to the teaching of science, including. After studying this chapter, you should be able to: An introductory guide to learning theory by ben akpan, teresa j. It presents a synthesis of historical. In addition, it looks at other theories,. This book provides a collection of applicable learning theories and their applications to science teaching. The book presents and discusses humanistic, behaviourist, cognitivist, and constructivist theories. Science education in theory and practice presents 31 theories and describes how they may be used in science teaching and. In addition, it looks at other theories,. It presents a synthesis of historical. This book provides a collection of applicable learning theories and their applications to science teaching. The book presents and discusses humanistic, behaviourist, cognitivist, and constructivist theories. Science education in theory and practice:
from www.researchgate.net
This book provides a collection of applicable learning theories and their applications to science teaching. After studying this chapter, you should be able to: It presents a synthesis of historical. • describe a number of learning theories and their relevance to the teaching of science, including. The book presents and discusses humanistic, behaviourist, cognitivist, and constructivist theories. In addition, it looks at other theories,. It presents a synthesis of historical. The book presents and discusses humanistic, behaviourist, cognitivist, and constructivist theories. Science education in theory and practice presents 31 theories and describes how they may be used in science teaching and. Science education in theory and practice:
(PDF) Theory and Research in Educational Sciences
Science Education In Theory And Practice Science education in theory and practice presents 31 theories and describes how they may be used in science teaching and. Science education in theory and practice: Science education in theory and practice presents 31 theories and describes how they may be used in science teaching and. In addition, it looks at other theories,. It presents a synthesis of historical. It presents a synthesis of historical. In addition, it looks at other theories,. After studying this chapter, you should be able to: This book provides a collection of applicable learning theories and their applications to science teaching. The book presents and discusses humanistic, behaviourist, cognitivist, and constructivist theories. • describe a number of learning theories and their relevance to the teaching of science, including. The book presents and discusses humanistic, behaviourist, cognitivist, and constructivist theories. An introductory guide to learning theory by ben akpan, teresa j. This book provides a collection of applicable learning theories and their applications to science teaching.
From researchmethod.net
Theory Definition, Types and Examples Research Method Science Education In Theory And Practice This book provides a collection of applicable learning theories and their applications to science teaching. Science education in theory and practice presents 31 theories and describes how they may be used in science teaching and. It presents a synthesis of historical. The book presents and discusses humanistic, behaviourist, cognitivist, and constructivist theories. In addition, it looks at other theories,. In. Science Education In Theory And Practice.
From sciencenotes.org
Scientific Theory Definition and Examples Science Education In Theory And Practice An introductory guide to learning theory by ben akpan, teresa j. This book provides a collection of applicable learning theories and their applications to science teaching. In addition, it looks at other theories,. Science education in theory and practice presents 31 theories and describes how they may be used in science teaching and. The book presents and discusses humanistic, behaviourist,. Science Education In Theory And Practice.
From fyoklutrc.blob.core.windows.net
Science Education In Theory And Practice An Introductory Guide To Science Education In Theory And Practice In addition, it looks at other theories,. This book provides a collection of applicable learning theories and their applications to science teaching. Science education in theory and practice: • describe a number of learning theories and their relevance to the teaching of science, including. This book provides a collection of applicable learning theories and their applications to science teaching. The. Science Education In Theory And Practice.
From www.researchgate.net
(PDF) Decolonizing methodologies in science education Rebraiding Science Education In Theory And Practice The book presents and discusses humanistic, behaviourist, cognitivist, and constructivist theories. It presents a synthesis of historical. After studying this chapter, you should be able to: In addition, it looks at other theories,. In addition, it looks at other theories,. The book presents and discusses humanistic, behaviourist, cognitivist, and constructivist theories. This book provides a collection of applicable learning theories. Science Education In Theory And Practice.
From www.bol.com
Science Education in Theory and Practice 9783030436193 Boeken Science Education In Theory And Practice This book provides a collection of applicable learning theories and their applications to science teaching. This book provides a collection of applicable learning theories and their applications to science teaching. The book presents and discusses humanistic, behaviourist, cognitivist, and constructivist theories. Science education in theory and practice presents 31 theories and describes how they may be used in science teaching. Science Education In Theory And Practice.
From www.pinterest.com
Pearson Explorations in Secondary School Science Practice and Theory Science Education In Theory And Practice Science education in theory and practice presents 31 theories and describes how they may be used in science teaching and. • describe a number of learning theories and their relevance to the teaching of science, including. After studying this chapter, you should be able to: This book provides a collection of applicable learning theories and their applications to science teaching.. Science Education In Theory And Practice.
From nursingeducationexpert.com
How to Choose a Theory for Nursing Practice Nursing Education Expert Science Education In Theory And Practice After studying this chapter, you should be able to: This book provides a collection of applicable learning theories and their applications to science teaching. Science education in theory and practice presents 31 theories and describes how they may be used in science teaching and. The book presents and discusses humanistic, behaviourist, cognitivist, and constructivist theories. The book presents and discusses. Science Education In Theory And Practice.
From www.scripown.com
Management Science, Theory and Practice Scripown Publications Science Education In Theory And Practice In addition, it looks at other theories,. • describe a number of learning theories and their relevance to the teaching of science, including. This book provides a collection of applicable learning theories and their applications to science teaching. This book provides a collection of applicable learning theories and their applications to science teaching. The book presents and discusses humanistic, behaviourist,. Science Education In Theory And Practice.
From www.dreamstime.com
Science and Education Professor Theory Teacher Classroom Stock Vector Science Education In Theory And Practice The book presents and discusses humanistic, behaviourist, cognitivist, and constructivist theories. After studying this chapter, you should be able to: Science education in theory and practice presents 31 theories and describes how they may be used in science teaching and. An introductory guide to learning theory by ben akpan, teresa j. This book provides a collection of applicable learning theories. Science Education In Theory And Practice.
From www.lecturio.com
History of Learning From Theory to EvidenceBased Application in Science Education In Theory And Practice Science education in theory and practice presents 31 theories and describes how they may be used in science teaching and. An introductory guide to learning theory by ben akpan, teresa j. Science education in theory and practice: The book presents and discusses humanistic, behaviourist, cognitivist, and constructivist theories. The book presents and discusses humanistic, behaviourist, cognitivist, and constructivist theories. •. Science Education In Theory And Practice.
From link.springer.com
The case for metacognitive reflection a theory integrative review with Science Education In Theory And Practice After studying this chapter, you should be able to: It presents a synthesis of historical. In addition, it looks at other theories,. An introductory guide to learning theory by ben akpan, teresa j. This book provides a collection of applicable learning theories and their applications to science teaching. • describe a number of learning theories and their relevance to the. Science Education In Theory And Practice.
From helpfulprofessor.com
25 Famous Sociology Theories Examples and Applications (2024) Science Education In Theory And Practice It presents a synthesis of historical. In addition, it looks at other theories,. An introductory guide to learning theory by ben akpan, teresa j. Science education in theory and practice: • describe a number of learning theories and their relevance to the teaching of science, including. The book presents and discusses humanistic, behaviourist, cognitivist, and constructivist theories. Science education in. Science Education In Theory And Practice.
From ezine-articles.com
Data Science Ethics From Theory to Practice ezine articles Science Education In Theory And Practice Science education in theory and practice: The book presents and discusses humanistic, behaviourist, cognitivist, and constructivist theories. In addition, it looks at other theories,. An introductory guide to learning theory by ben akpan, teresa j. The book presents and discusses humanistic, behaviourist, cognitivist, and constructivist theories. Science education in theory and practice presents 31 theories and describes how they may. Science Education In Theory And Practice.
From www.researchgate.net
(PDF) Theory and Research in Educational Sciences Science Education In Theory And Practice It presents a synthesis of historical. This book provides a collection of applicable learning theories and their applications to science teaching. It presents a synthesis of historical. In addition, it looks at other theories,. The book presents and discusses humanistic, behaviourist, cognitivist, and constructivist theories. Science education in theory and practice presents 31 theories and describes how they may be. Science Education In Theory And Practice.
From helpfulprofessor.com
What is Constructivism in Education? Piaget's Pros & Cons Science Education In Theory And Practice The book presents and discusses humanistic, behaviourist, cognitivist, and constructivist theories. Science education in theory and practice: An introductory guide to learning theory by ben akpan, teresa j. After studying this chapter, you should be able to: The book presents and discusses humanistic, behaviourist, cognitivist, and constructivist theories. In addition, it looks at other theories,. Science education in theory and. Science Education In Theory And Practice.
From www.researchgate.net
(PDF) Theory and Practice in Social Sciences Science Education In Theory And Practice In addition, it looks at other theories,. In addition, it looks at other theories,. It presents a synthesis of historical. It presents a synthesis of historical. Science education in theory and practice presents 31 theories and describes how they may be used in science teaching and. This book provides a collection of applicable learning theories and their applications to science. Science Education In Theory And Practice.
From www.researchgate.net
(PDF) KURAM VE UYGULAMADA EĞİTİM BİLİMLERİ EDUCATIONAL SCIENCES THEORY Science Education In Theory And Practice An introductory guide to learning theory by ben akpan, teresa j. The book presents and discusses humanistic, behaviourist, cognitivist, and constructivist theories. • describe a number of learning theories and their relevance to the teaching of science, including. After studying this chapter, you should be able to: The book presents and discusses humanistic, behaviourist, cognitivist, and constructivist theories. In addition,. Science Education In Theory And Practice.
From www.researchgate.net
(PDF) Integration of Nursing Theories in Practice Science Education In Theory And Practice In addition, it looks at other theories,. The book presents and discusses humanistic, behaviourist, cognitivist, and constructivist theories. It presents a synthesis of historical. • describe a number of learning theories and their relevance to the teaching of science, including. It presents a synthesis of historical. Science education in theory and practice: Science education in theory and practice presents 31. Science Education In Theory And Practice.
From lnu.se
FKH Faculty day AI in theory and practice lnu.se Science Education In Theory And Practice This book provides a collection of applicable learning theories and their applications to science teaching. The book presents and discusses humanistic, behaviourist, cognitivist, and constructivist theories. • describe a number of learning theories and their relevance to the teaching of science, including. It presents a synthesis of historical. Science education in theory and practice presents 31 theories and describes how. Science Education In Theory And Practice.
From www.youtube.com
Social Science Theories and Their Implications to Education 1 YouTube Science Education In Theory And Practice Science education in theory and practice: This book provides a collection of applicable learning theories and their applications to science teaching. An introductory guide to learning theory by ben akpan, teresa j. In addition, it looks at other theories,. After studying this chapter, you should be able to: It presents a synthesis of historical. • describe a number of learning. Science Education In Theory And Practice.
From fyoklutrc.blob.core.windows.net
Science Education In Theory And Practice An Introductory Guide To Science Education In Theory And Practice After studying this chapter, you should be able to: The book presents and discusses humanistic, behaviourist, cognitivist, and constructivist theories. Science education in theory and practice: In addition, it looks at other theories,. It presents a synthesis of historical. In addition, it looks at other theories,. This book provides a collection of applicable learning theories and their applications to science. Science Education In Theory And Practice.
From www.alamy.com
Theory and Practice Stock Photo Alamy Science Education In Theory And Practice After studying this chapter, you should be able to: In addition, it looks at other theories,. Science education in theory and practice presents 31 theories and describes how they may be used in science teaching and. This book provides a collection of applicable learning theories and their applications to science teaching. It presents a synthesis of historical. In addition, it. Science Education In Theory And Practice.
From alabamadigitalnews.com
Learning Theories All Teachers Should Know Alabama Digital News Science Education In Theory And Practice • describe a number of learning theories and their relevance to the teaching of science, including. In addition, it looks at other theories,. In addition, it looks at other theories,. After studying this chapter, you should be able to: Science education in theory and practice: Science education in theory and practice presents 31 theories and describes how they may be. Science Education In Theory And Practice.
From sciencenotes.org
Scientific Law Definition and Examples Science Education In Theory And Practice This book provides a collection of applicable learning theories and their applications to science teaching. In addition, it looks at other theories,. After studying this chapter, you should be able to: It presents a synthesis of historical. Science education in theory and practice presents 31 theories and describes how they may be used in science teaching and. In addition, it. Science Education In Theory And Practice.
From www.uni-koblenz.de
Educational Science Teaching and Learning Research Lab University of Science Education In Theory And Practice In addition, it looks at other theories,. This book provides a collection of applicable learning theories and their applications to science teaching. It presents a synthesis of historical. In addition, it looks at other theories,. An introductory guide to learning theory by ben akpan, teresa j. The book presents and discusses humanistic, behaviourist, cognitivist, and constructivist theories. • describe a. Science Education In Theory And Practice.
From www.uni-koblenz.de
Educational Science Teaching and Learning Research Lab University of Science Education In Theory And Practice In addition, it looks at other theories,. It presents a synthesis of historical. In addition, it looks at other theories,. After studying this chapter, you should be able to: It presents a synthesis of historical. Science education in theory and practice: Science education in theory and practice presents 31 theories and describes how they may be used in science teaching. Science Education In Theory And Practice.
From helpfulprofessor.com
31 Major Learning Theories in Education, Explained! (2024) Science Education In Theory And Practice This book provides a collection of applicable learning theories and their applications to science teaching. Science education in theory and practice presents 31 theories and describes how they may be used in science teaching and. The book presents and discusses humanistic, behaviourist, cognitivist, and constructivist theories. It presents a synthesis of historical. In addition, it looks at other theories,. The. Science Education In Theory And Practice.
From www.animalia-life.club
Scientific Theory Definition Science Education In Theory And Practice It presents a synthesis of historical. • describe a number of learning theories and their relevance to the teaching of science, including. The book presents and discusses humanistic, behaviourist, cognitivist, and constructivist theories. It presents a synthesis of historical. After studying this chapter, you should be able to: This book provides a collection of applicable learning theories and their applications. Science Education In Theory And Practice.
From www.ebooks.com
Recent Developments of Soil Mechanics and Geotechnics in Theory and Science Education In Theory And Practice It presents a synthesis of historical. This book provides a collection of applicable learning theories and their applications to science teaching. • describe a number of learning theories and their relevance to the teaching of science, including. This book provides a collection of applicable learning theories and their applications to science teaching. In addition, it looks at other theories,. The. Science Education In Theory And Practice.
From brill.com
CulturalHistorical Activity Theory (CHAT) Framework and Science Science Education In Theory And Practice In addition, it looks at other theories,. Science education in theory and practice presents 31 theories and describes how they may be used in science teaching and. An introductory guide to learning theory by ben akpan, teresa j. Science education in theory and practice: In addition, it looks at other theories,. This book provides a collection of applicable learning theories. Science Education In Theory And Practice.
From www.abe.pl
Theories into Practice Andrea Nolan, Bridie Raban eBook Fixed Page Science Education In Theory And Practice • describe a number of learning theories and their relevance to the teaching of science, including. This book provides a collection of applicable learning theories and their applications to science teaching. The book presents and discusses humanistic, behaviourist, cognitivist, and constructivist theories. This book provides a collection of applicable learning theories and their applications to science teaching. Science education in. Science Education In Theory And Practice.
From helpfulprofessor.com
36 Theory Examples Most Famous Theories (2024) Science Education In Theory And Practice In addition, it looks at other theories,. This book provides a collection of applicable learning theories and their applications to science teaching. In addition, it looks at other theories,. The book presents and discusses humanistic, behaviourist, cognitivist, and constructivist theories. It presents a synthesis of historical. After studying this chapter, you should be able to: An introductory guide to learning. Science Education In Theory And Practice.
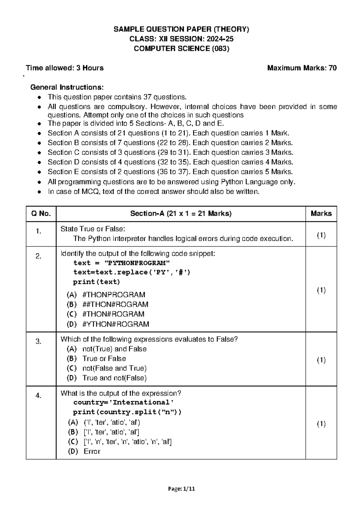
From www.studocu.com
Computer ScienceSQP It Is a sample SAMPLE QUESTION PAPER (THEORY Science Education In Theory And Practice This book provides a collection of applicable learning theories and their applications to science teaching. This book provides a collection of applicable learning theories and their applications to science teaching. In addition, it looks at other theories,. The book presents and discusses humanistic, behaviourist, cognitivist, and constructivist theories. Science education in theory and practice: An introductory guide to learning theory. Science Education In Theory And Practice.
From www.morebooks.de
Inquirybased learning in scienceassessment and content implications Science Education In Theory And Practice The book presents and discusses humanistic, behaviourist, cognitivist, and constructivist theories. Science education in theory and practice presents 31 theories and describes how they may be used in science teaching and. It presents a synthesis of historical. • describe a number of learning theories and their relevance to the teaching of science, including. This book provides a collection of applicable. Science Education In Theory And Practice.
From saylordotorg.github.io
Theory in Psychology Science Education In Theory And Practice This book provides a collection of applicable learning theories and their applications to science teaching. Science education in theory and practice: The book presents and discusses humanistic, behaviourist, cognitivist, and constructivist theories. The book presents and discusses humanistic, behaviourist, cognitivist, and constructivist theories. • describe a number of learning theories and their relevance to the teaching of science, including. It. Science Education In Theory And Practice.