Barium And Bromine Formula . It appears as a white crystalline solid and is. barium bromide is an inorganic chemical compound that has the formula babr2 b a b r 2. learn about the chemical formula, structure, properties and uses of barium bromide, an ionic compound. It appears as a white solid which is soluble. barium bromide is a chemical compound. barium bromide can also be crystallized from its solution. It contains barium and bromide ions. Its chemical formula is babr 2.
from www.numerade.com
It appears as a white solid which is soluble. barium bromide can also be crystallized from its solution. It contains barium and bromide ions. barium bromide is a chemical compound. learn about the chemical formula, structure, properties and uses of barium bromide, an ionic compound. Its chemical formula is babr 2. barium bromide is an inorganic chemical compound that has the formula babr2 b a b r 2. It appears as a white crystalline solid and is.
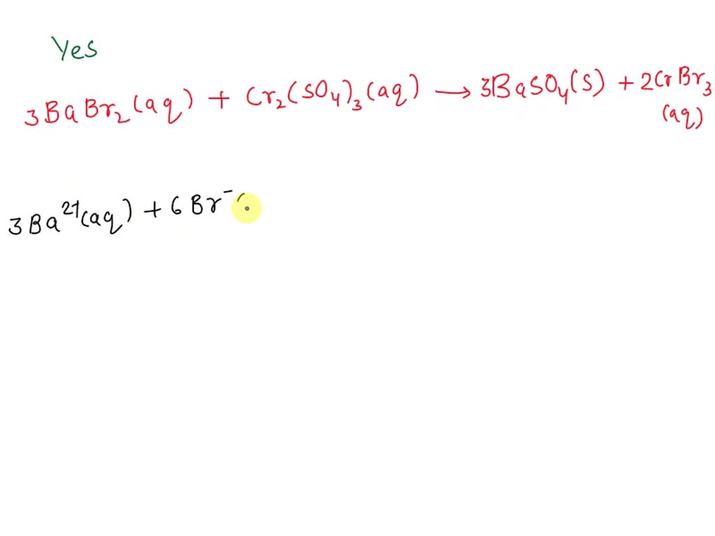
SOLVED Consider the reaction when aqueous solutions of barium sulfide
Barium And Bromine Formula barium bromide can also be crystallized from its solution. It contains barium and bromide ions. It appears as a white solid which is soluble. barium bromide is a chemical compound. learn about the chemical formula, structure, properties and uses of barium bromide, an ionic compound. Its chemical formula is babr 2. barium bromide is an inorganic chemical compound that has the formula babr2 b a b r 2. It appears as a white crystalline solid and is. barium bromide can also be crystallized from its solution.
From exoedqopw.blob.core.windows.net
Ionization Energy Of Bromine Equation at David Taber blog Barium And Bromine Formula barium bromide is an inorganic chemical compound that has the formula babr2 b a b r 2. It appears as a white crystalline solid and is. It appears as a white solid which is soluble. It contains barium and bromide ions. barium bromide is a chemical compound. learn about the chemical formula, structure, properties and uses of. Barium And Bromine Formula.
From www.numerade.com
SOLVEDGaseous chlorine will displace bromide ion from an aqueous Barium And Bromine Formula barium bromide can also be crystallized from its solution. Its chemical formula is babr 2. barium bromide is a chemical compound. It appears as a white crystalline solid and is. learn about the chemical formula, structure, properties and uses of barium bromide, an ionic compound. It contains barium and bromide ions. It appears as a white solid. Barium And Bromine Formula.
From exowfdyuj.blob.core.windows.net
Bromate Bromide Formation at Daisy Haven blog Barium And Bromine Formula Its chemical formula is babr 2. It appears as a white crystalline solid and is. It appears as a white solid which is soluble. It contains barium and bromide ions. barium bromide is an inorganic chemical compound that has the formula babr2 b a b r 2. learn about the chemical formula, structure, properties and uses of barium. Barium And Bromine Formula.
From www.numerade.com
SOLVED The reaction of barium with bromine is similar to that of Barium And Bromine Formula It contains barium and bromide ions. learn about the chemical formula, structure, properties and uses of barium bromide, an ionic compound. It appears as a white solid which is soluble. barium bromide is an inorganic chemical compound that has the formula babr2 b a b r 2. barium bromide is a chemical compound. It appears as a. Barium And Bromine Formula.
From www.toppr.com
Write the balanced chemical equation for the following and identify the Barium And Bromine Formula It appears as a white solid which is soluble. Its chemical formula is babr 2. barium bromide can also be crystallized from its solution. learn about the chemical formula, structure, properties and uses of barium bromide, an ionic compound. It contains barium and bromide ions. barium bromide is an inorganic chemical compound that has the formula babr2. Barium And Bromine Formula.
From www.myxxgirl.com
Balanced Equation Potassium Bromide Aq Barium Iodide My XXX Hot Girl Barium And Bromine Formula barium bromide is a chemical compound. It appears as a white crystalline solid and is. It contains barium and bromide ions. barium bromide can also be crystallized from its solution. learn about the chemical formula, structure, properties and uses of barium bromide, an ionic compound. It appears as a white solid which is soluble. Its chemical formula. Barium And Bromine Formula.
From www.youtube.com
How to write the equation for Equation for BaBr2 + H2O (Barium bromide Barium And Bromine Formula barium bromide is a chemical compound. It appears as a white crystalline solid and is. It contains barium and bromide ions. It appears as a white solid which is soluble. Its chemical formula is babr 2. learn about the chemical formula, structure, properties and uses of barium bromide, an ionic compound. barium bromide is an inorganic chemical. Barium And Bromine Formula.
From brainly.in
what happens when aqueous solution of sodium sulphate and Barium Barium And Bromine Formula It appears as a white solid which is soluble. It appears as a white crystalline solid and is. barium bromide is a chemical compound. learn about the chemical formula, structure, properties and uses of barium bromide, an ionic compound. It contains barium and bromide ions. barium bromide can also be crystallized from its solution. barium bromide. Barium And Bromine Formula.
From www.numerade.com
SOLVED Which the correct equation Including states of matter for the Barium And Bromine Formula It appears as a white crystalline solid and is. barium bromide is an inorganic chemical compound that has the formula babr2 b a b r 2. barium bromide can also be crystallized from its solution. barium bromide is a chemical compound. learn about the chemical formula, structure, properties and uses of barium bromide, an ionic compound.. Barium And Bromine Formula.
From www.numerade.com
SOLVED Decide whether each pair of elements in the table below will Barium And Bromine Formula learn about the chemical formula, structure, properties and uses of barium bromide, an ionic compound. Its chemical formula is babr 2. It contains barium and bromide ions. barium bromide is a chemical compound. barium bromide is an inorganic chemical compound that has the formula babr2 b a b r 2. It appears as a white solid which. Barium And Bromine Formula.
From terranceaddbenson.blogspot.com
Chemical Formula of Bromide TerranceaddBenson Barium And Bromine Formula Its chemical formula is babr 2. It appears as a white solid which is soluble. It appears as a white crystalline solid and is. barium bromide is a chemical compound. barium bromide can also be crystallized from its solution. barium bromide is an inorganic chemical compound that has the formula babr2 b a b r 2. . Barium And Bromine Formula.
From www.youtube.com
How to write the formula for barium bromide YouTube Barium And Bromine Formula Its chemical formula is babr 2. learn about the chemical formula, structure, properties and uses of barium bromide, an ionic compound. It contains barium and bromide ions. barium bromide is an inorganic chemical compound that has the formula babr2 b a b r 2. It appears as a white solid which is soluble. It appears as a white. Barium And Bromine Formula.
From www.toppr.com
Barium Bromide Formula Definition, Concepts and Solved Examples Barium And Bromine Formula barium bromide is an inorganic chemical compound that has the formula babr2 b a b r 2. barium bromide is a chemical compound. learn about the chemical formula, structure, properties and uses of barium bromide, an ionic compound. barium bromide can also be crystallized from its solution. It appears as a white crystalline solid and is.. Barium And Bromine Formula.
From www.numerade.com
SOLVED write the balanced equation and identify the type of reaction Barium And Bromine Formula Its chemical formula is babr 2. It contains barium and bromide ions. barium bromide is a chemical compound. It appears as a white solid which is soluble. It appears as a white crystalline solid and is. barium bromide can also be crystallized from its solution. learn about the chemical formula, structure, properties and uses of barium bromide,. Barium And Bromine Formula.
From www.numerade.com
SOLVED Consider the reaction when aqueous solutions of barium sulfide Barium And Bromine Formula It appears as a white crystalline solid and is. barium bromide can also be crystallized from its solution. barium bromide is an inorganic chemical compound that has the formula babr2 b a b r 2. learn about the chemical formula, structure, properties and uses of barium bromide, an ionic compound. It contains barium and bromide ions. . Barium And Bromine Formula.
From ar.inspiredpencil.com
Bromine Gas Equation Barium And Bromine Formula barium bromide is an inorganic chemical compound that has the formula babr2 b a b r 2. learn about the chemical formula, structure, properties and uses of barium bromide, an ionic compound. It appears as a white crystalline solid and is. barium bromide can also be crystallized from its solution. It appears as a white solid which. Barium And Bromine Formula.
From exovqrrdq.blob.core.windows.net
Bromine And Bromide Formula at James Mota blog Barium And Bromine Formula Its chemical formula is babr 2. learn about the chemical formula, structure, properties and uses of barium bromide, an ionic compound. It contains barium and bromide ions. barium bromide is an inorganic chemical compound that has the formula babr2 b a b r 2. It appears as a white crystalline solid and is. It appears as a white. Barium And Bromine Formula.
From www.youtube.com
How to Write the Formula for Barium bromide (BaBr2) YouTube Barium And Bromine Formula barium bromide is an inorganic chemical compound that has the formula babr2 b a b r 2. It contains barium and bromide ions. learn about the chemical formula, structure, properties and uses of barium bromide, an ionic compound. barium bromide can also be crystallized from its solution. It appears as a white solid which is soluble. . Barium And Bromine Formula.
From exovqrrdq.blob.core.windows.net
Bromine And Bromide Formula at James Mota blog Barium And Bromine Formula barium bromide is an inorganic chemical compound that has the formula babr2 b a b r 2. It appears as a white solid which is soluble. Its chemical formula is babr 2. It appears as a white crystalline solid and is. It contains barium and bromide ions. learn about the chemical formula, structure, properties and uses of barium. Barium And Bromine Formula.
From mollysrcalderon.blogspot.com
Chemical Formula of Bromide MollysrCalderon Barium And Bromine Formula It contains barium and bromide ions. barium bromide is a chemical compound. Its chemical formula is babr 2. It appears as a white crystalline solid and is. It appears as a white solid which is soluble. barium bromide can also be crystallized from its solution. barium bromide is an inorganic chemical compound that has the formula babr2. Barium And Bromine Formula.
From exouzacfu.blob.core.windows.net
Bromine Of Formula at Delores Humphrey blog Barium And Bromine Formula It appears as a white crystalline solid and is. It appears as a white solid which is soluble. barium bromide is a chemical compound. It contains barium and bromide ions. barium bromide is an inorganic chemical compound that has the formula babr2 b a b r 2. Its chemical formula is babr 2. barium bromide can also. Barium And Bromine Formula.
From www.youtube.com
Sodium bromide YouTube Barium And Bromine Formula barium bromide is a chemical compound. It contains barium and bromide ions. Its chemical formula is babr 2. learn about the chemical formula, structure, properties and uses of barium bromide, an ionic compound. It appears as a white solid which is soluble. It appears as a white crystalline solid and is. barium bromide can also be crystallized. Barium And Bromine Formula.
From www.slideserve.com
PPT 2311 Bellringer Write the chemical formula for each. PowerPoint Barium And Bromine Formula barium bromide can also be crystallized from its solution. It appears as a white crystalline solid and is. It contains barium and bromide ions. barium bromide is a chemical compound. It appears as a white solid which is soluble. learn about the chemical formula, structure, properties and uses of barium bromide, an ionic compound. Its chemical formula. Barium And Bromine Formula.
From www.coursehero.com
[Solved] copper(II)sulfate + Barium chloride molecular equation and Barium And Bromine Formula Its chemical formula is babr 2. learn about the chemical formula, structure, properties and uses of barium bromide, an ionic compound. barium bromide can also be crystallized from its solution. barium bromide is an inorganic chemical compound that has the formula babr2 b a b r 2. It appears as a white solid which is soluble. It. Barium And Bromine Formula.
From www.numerade.com
SOLVEDFor each compound, list the correct formula and calculate the Barium And Bromine Formula It appears as a white crystalline solid and is. learn about the chemical formula, structure, properties and uses of barium bromide, an ionic compound. barium bromide is a chemical compound. barium bromide is an inorganic chemical compound that has the formula babr2 b a b r 2. It appears as a white solid which is soluble. Its. Barium And Bromine Formula.
From www.pw.live
Barium Bromide Formula, Structure, Properties, Uses Barium And Bromine Formula learn about the chemical formula, structure, properties and uses of barium bromide, an ionic compound. Its chemical formula is babr 2. It appears as a white crystalline solid and is. It contains barium and bromide ions. barium bromide can also be crystallized from its solution. barium bromide is a chemical compound. barium bromide is an inorganic. Barium And Bromine Formula.
From www.numerade.com
SOLVED Does reaction occur when aqueous solutions of barium bromide Barium And Bromine Formula It appears as a white crystalline solid and is. Its chemical formula is babr 2. It appears as a white solid which is soluble. barium bromide can also be crystallized from its solution. barium bromide is an inorganic chemical compound that has the formula babr2 b a b r 2. It contains barium and bromide ions. barium. Barium And Bromine Formula.
From www.youtube.com
Net ionic equation Ammonium bromide plus barium hydroxide YouTube Barium And Bromine Formula It contains barium and bromide ions. It appears as a white crystalline solid and is. Its chemical formula is babr 2. barium bromide can also be crystallized from its solution. learn about the chemical formula, structure, properties and uses of barium bromide, an ionic compound. barium bromide is an inorganic chemical compound that has the formula babr2. Barium And Bromine Formula.
From www.chemistryworld.com
Potassium bromide Podcast Chemistry World Barium And Bromine Formula It appears as a white crystalline solid and is. Its chemical formula is babr 2. barium bromide can also be crystallized from its solution. It contains barium and bromide ions. It appears as a white solid which is soluble. barium bromide is an inorganic chemical compound that has the formula babr2 b a b r 2. barium. Barium And Bromine Formula.
From www.redbubble.com
"Bromine and Barium Periodic Table Chemistry Elements" Art Print by Barium And Bromine Formula It appears as a white solid which is soluble. It contains barium and bromide ions. barium bromide is a chemical compound. It appears as a white crystalline solid and is. barium bromide is an inorganic chemical compound that has the formula babr2 b a b r 2. learn about the chemical formula, structure, properties and uses of. Barium And Bromine Formula.
From ceaeyuoe.blob.core.windows.net
What Does Bromine And Barium Make at Betty Mayne blog Barium And Bromine Formula Its chemical formula is babr 2. It appears as a white crystalline solid and is. It appears as a white solid which is soluble. It contains barium and bromide ions. barium bromide is an inorganic chemical compound that has the formula babr2 b a b r 2. barium bromide is a chemical compound. barium bromide can also. Barium And Bromine Formula.
From www.numerade.com
SOLVED What is the atomic mass of calcium? (You can state your answers Barium And Bromine Formula It appears as a white crystalline solid and is. It contains barium and bromide ions. learn about the chemical formula, structure, properties and uses of barium bromide, an ionic compound. It appears as a white solid which is soluble. barium bromide can also be crystallized from its solution. barium bromide is a chemical compound. Its chemical formula. Barium And Bromine Formula.
From www.chegg.com
Solved Hint What is the chemical formula for the compound Barium And Bromine Formula barium bromide can also be crystallized from its solution. barium bromide is a chemical compound. It appears as a white solid which is soluble. barium bromide is an inorganic chemical compound that has the formula babr2 b a b r 2. It appears as a white crystalline solid and is. Its chemical formula is babr 2. . Barium And Bromine Formula.
From testbook.com
Barium bromide formula Its chemical formula, structure and uses Barium And Bromine Formula barium bromide can also be crystallized from its solution. barium bromide is an inorganic chemical compound that has the formula babr2 b a b r 2. It appears as a white solid which is soluble. learn about the chemical formula, structure, properties and uses of barium bromide, an ionic compound. It contains barium and bromide ions. It. Barium And Bromine Formula.
From brainly.in
Draw an electron dot diagram for barium and bromine and write its Barium And Bromine Formula It appears as a white crystalline solid and is. barium bromide can also be crystallized from its solution. It appears as a white solid which is soluble. learn about the chemical formula, structure, properties and uses of barium bromide, an ionic compound. Its chemical formula is babr 2. barium bromide is an inorganic chemical compound that has. Barium And Bromine Formula.