How Long Does Immersion Take To Heat Up . Therefore, if your boiler malfunctions, you can still deliver a hot water supply around your home. so you would need at least a 6 kw immersion heater to heat a full tank of water in 1 hour. how long does it take for the immersion heater to work? We would typically recommend switching the immersion heater on around two hours before you intend to use the hot water to give it time to heat the cylinder. on average an immersion heater uses 3kw per hour, with the current energy price cap of 27p/kwh that is roughly 81p per hour. The time it takes to heat a hot water cylinder varies depending on the size of the cylinder and number of immersion heaters. Well insulated immersion heaters can ensure water is kept warm for several hours after the system is turned off. Immersion heaters operate independently from boilers or central heating systems. immersion water heaters work on the principle of joule heating, which is the process of heating a conductor by passing an electric current through it. how long does it take for immersion heaters to heat water? once it reaches the desired temperature set on a thermostat, it automatically clicks off and will remain hot for the following few hours. Or a 3 kw immersion heater to heat the same amount. When an electric current is passed through the heating element, it generates heat, which is transferred to the water. Immersion heaters are relatively inexpensive to purchase and come in a wide range of physical configurations, materials, and temperature ranges and can be used for a wide range of applications. In addition to this, it does take a few hours to heat the full tank of water, and it is important to heat the water to a minimum of 50 degrees celsius to ensure that the bacteria in the water have been killed off.
from education.compassmining.io
how long does it take for the immersion heater to work? Well insulated immersion heaters can ensure water is kept warm for several hours after the system is turned off. immersion water heaters work on the principle of joule heating, which is the process of heating a conductor by passing an electric current through it. Immersion heaters are relatively inexpensive to purchase and come in a wide range of physical configurations, materials, and temperature ranges and can be used for a wide range of applications. on average an immersion heater uses 3kw per hour, with the current energy price cap of 27p/kwh that is roughly 81p per hour. The time it takes to heat a hot water cylinder varies depending on the size of the cylinder and number of immersion heaters. so you would need at least a 6 kw immersion heater to heat a full tank of water in 1 hour. once it reaches the desired temperature set on a thermostat, it automatically clicks off and will remain hot for the following few hours. Or a 3 kw immersion heater to heat the same amount. When an electric current is passed through the heating element, it generates heat, which is transferred to the water.
Here’s a brief introduction to immersion mining.
How Long Does Immersion Take To Heat Up Therefore, if your boiler malfunctions, you can still deliver a hot water supply around your home. Immersion heaters are relatively inexpensive to purchase and come in a wide range of physical configurations, materials, and temperature ranges and can be used for a wide range of applications. When an electric current is passed through the heating element, it generates heat, which is transferred to the water. how long does it take for the immersion heater to work? We would typically recommend switching the immersion heater on around two hours before you intend to use the hot water to give it time to heat the cylinder. so you would need at least a 6 kw immersion heater to heat a full tank of water in 1 hour. Or a 3 kw immersion heater to heat the same amount. how long does it take for immersion heaters to heat water? In addition to this, it does take a few hours to heat the full tank of water, and it is important to heat the water to a minimum of 50 degrees celsius to ensure that the bacteria in the water have been killed off. Immersion heaters operate independently from boilers or central heating systems. immersion water heaters work on the principle of joule heating, which is the process of heating a conductor by passing an electric current through it. Well insulated immersion heaters can ensure water is kept warm for several hours after the system is turned off. The time it takes to heat a hot water cylinder varies depending on the size of the cylinder and number of immersion heaters. once it reaches the desired temperature set on a thermostat, it automatically clicks off and will remain hot for the following few hours. Therefore, if your boiler malfunctions, you can still deliver a hot water supply around your home. on average an immersion heater uses 3kw per hour, with the current energy price cap of 27p/kwh that is roughly 81p per hour.
From www.dublinareaplumbers.ie
Hot Water Immersion Repair Dublin Area Plumbers How Long Does Immersion Take To Heat Up Immersion heaters operate independently from boilers or central heating systems. Therefore, if your boiler malfunctions, you can still deliver a hot water supply around your home. Immersion heaters are relatively inexpensive to purchase and come in a wide range of physical configurations, materials, and temperature ranges and can be used for a wide range of applications. how long does. How Long Does Immersion Take To Heat Up.
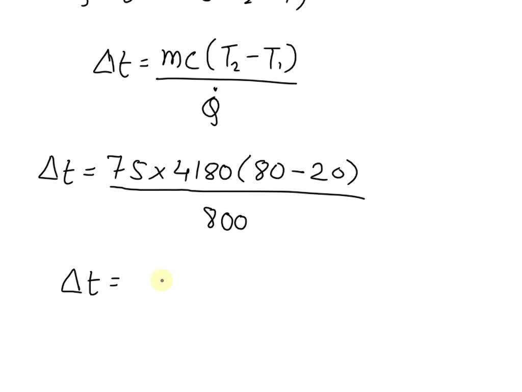
From www.numerade.com
SOLVED A 40cmlong, 800W electric resistance heating element with a How Long Does Immersion Take To Heat Up Therefore, if your boiler malfunctions, you can still deliver a hot water supply around your home. Well insulated immersion heaters can ensure water is kept warm for several hours after the system is turned off. When an electric current is passed through the heating element, it generates heat, which is transferred to the water. Immersion heaters operate independently from boilers. How Long Does Immersion Take To Heat Up.
From education.compassmining.io
Here’s a brief introduction to immersion mining. How Long Does Immersion Take To Heat Up how long does it take for the immersion heater to work? Or a 3 kw immersion heater to heat the same amount. so you would need at least a 6 kw immersion heater to heat a full tank of water in 1 hour. Well insulated immersion heaters can ensure water is kept warm for several hours after the. How Long Does Immersion Take To Heat Up.
From www.chegg.com
Solved Constants Learning Goal To practice ProblemSolving How Long Does Immersion Take To Heat Up Therefore, if your boiler malfunctions, you can still deliver a hot water supply around your home. on average an immersion heater uses 3kw per hour, with the current energy price cap of 27p/kwh that is roughly 81p per hour. Immersion heaters are relatively inexpensive to purchase and come in a wide range of physical configurations, materials, and temperature ranges. How Long Does Immersion Take To Heat Up.
From www.nph-processheaters.com
Over The Side Immersion Heaters Drop in Immersion Heaters UL/CSA How Long Does Immersion Take To Heat Up Well insulated immersion heaters can ensure water is kept warm for several hours after the system is turned off. In addition to this, it does take a few hours to heat the full tank of water, and it is important to heat the water to a minimum of 50 degrees celsius to ensure that the bacteria in the water have. How Long Does Immersion Take To Heat Up.
From www.thermaglow.co.uk
Immersion Heaters Industrial & Domestic Thermaglow Ltd How Long Does Immersion Take To Heat Up how long does it take for the immersion heater to work? how long does it take for immersion heaters to heat water? once it reaches the desired temperature set on a thermostat, it automatically clicks off and will remain hot for the following few hours. We would typically recommend switching the immersion heater on around two hours. How Long Does Immersion Take To Heat Up.
From timesofindia.indiatimes.com
Immersion Water Heater Immersion Rod Heaters With Auto Cut Off Feature How Long Does Immersion Take To Heat Up The time it takes to heat a hot water cylinder varies depending on the size of the cylinder and number of immersion heaters. In addition to this, it does take a few hours to heat the full tank of water, and it is important to heat the water to a minimum of 50 degrees celsius to ensure that the bacteria. How Long Does Immersion Take To Heat Up.
From www.chegg.com
Solved Learning Goal To practice ProblemSolving Strategy How Long Does Immersion Take To Heat Up Therefore, if your boiler malfunctions, you can still deliver a hot water supply around your home. The time it takes to heat a hot water cylinder varies depending on the size of the cylinder and number of immersion heaters. Well insulated immersion heaters can ensure water is kept warm for several hours after the system is turned off. Immersion heaters. How Long Does Immersion Take To Heat Up.
From www.fst.com
Ultrafast Charging of Electric Cars with Innovative Battery Cooling How Long Does Immersion Take To Heat Up immersion water heaters work on the principle of joule heating, which is the process of heating a conductor by passing an electric current through it. so you would need at least a 6 kw immersion heater to heat a full tank of water in 1 hour. how long does it take for the immersion heater to work?. How Long Does Immersion Take To Heat Up.
From www.chegg.com
Solved Learning Goal To practice ProblemSolving Strategy How Long Does Immersion Take To Heat Up Well insulated immersion heaters can ensure water is kept warm for several hours after the system is turned off. immersion water heaters work on the principle of joule heating, which is the process of heating a conductor by passing an electric current through it. how long does it take for the immersion heater to work? Immersion heaters are. How Long Does Immersion Take To Heat Up.
From thehuts-eastbourne.co.uk
How long does immersion take to heat water (July 2024) How Long Does Immersion Take To Heat Up Well insulated immersion heaters can ensure water is kept warm for several hours after the system is turned off. so you would need at least a 6 kw immersion heater to heat a full tank of water in 1 hour. immersion water heaters work on the principle of joule heating, which is the process of heating a conductor. How Long Does Immersion Take To Heat Up.
From www.reddit.com
1,500 Watt Immersion heater to speed up boiling r/Homebrewing How Long Does Immersion Take To Heat Up on average an immersion heater uses 3kw per hour, with the current energy price cap of 27p/kwh that is roughly 81p per hour. once it reaches the desired temperature set on a thermostat, it automatically clicks off and will remain hot for the following few hours. Immersion heaters are relatively inexpensive to purchase and come in a wide. How Long Does Immersion Take To Heat Up.
From www.youtube.com
Fluids Buoyancy. Level 1, Example 2 YouTube How Long Does Immersion Take To Heat Up immersion water heaters work on the principle of joule heating, which is the process of heating a conductor by passing an electric current through it. We would typically recommend switching the immersion heater on around two hours before you intend to use the hot water to give it time to heat the cylinder. Immersion heaters operate independently from boilers. How Long Does Immersion Take To Heat Up.
From www173.rtaf.mi.th
Immersion Heater Definition, How It Works, Types, Benefits, 53 OFF How Long Does Immersion Take To Heat Up immersion water heaters work on the principle of joule heating, which is the process of heating a conductor by passing an electric current through it. on average an immersion heater uses 3kw per hour, with the current energy price cap of 27p/kwh that is roughly 81p per hour. We would typically recommend switching the immersion heater on around. How Long Does Immersion Take To Heat Up.
From www.gigabyte.com
SinglePhase Immersion Cooling with Submer Solution GIGABYTE Global How Long Does Immersion Take To Heat Up In addition to this, it does take a few hours to heat the full tank of water, and it is important to heat the water to a minimum of 50 degrees celsius to ensure that the bacteria in the water have been killed off. Therefore, if your boiler malfunctions, you can still deliver a hot water supply around your home.. How Long Does Immersion Take To Heat Up.
From my-plumber.co.uk
Immersion Heater Not Working Find Out Why and What to Do How Long Does Immersion Take To Heat Up how long does it take for the immersion heater to work? The time it takes to heat a hot water cylinder varies depending on the size of the cylinder and number of immersion heaters. Immersion heaters operate independently from boilers or central heating systems. how long does it take for immersion heaters to heat water? on average. How Long Does Immersion Take To Heat Up.
From cepqltxk.blob.core.windows.net
Does An Immersion Heater Use A Lot Of Electricity at Adam Gordon blog How Long Does Immersion Take To Heat Up When an electric current is passed through the heating element, it generates heat, which is transferred to the water. Immersion heaters operate independently from boilers or central heating systems. once it reaches the desired temperature set on a thermostat, it automatically clicks off and will remain hot for the following few hours. immersion water heaters work on the. How Long Does Immersion Take To Heat Up.
From www.toppr.com
An electric heater rated as 2 kW is used to heat 200 kg of water from How Long Does Immersion Take To Heat Up Immersion heaters are relatively inexpensive to purchase and come in a wide range of physical configurations, materials, and temperature ranges and can be used for a wide range of applications. We would typically recommend switching the immersion heater on around two hours before you intend to use the hot water to give it time to heat the cylinder. Immersion heaters. How Long Does Immersion Take To Heat Up.
From www.ecplaza.net
Portable Immersion Heater Highly Durable, Easy To Use, Heat Up Water How Long Does Immersion Take To Heat Up Well insulated immersion heaters can ensure water is kept warm for several hours after the system is turned off. Immersion heaters are relatively inexpensive to purchase and come in a wide range of physical configurations, materials, and temperature ranges and can be used for a wide range of applications. Immersion heaters operate independently from boilers or central heating systems. . How Long Does Immersion Take To Heat Up.
From www.24hourplumber.ie
What You Need to Know about Immersion Heaters 24 Hour Plumber How Long Does Immersion Take To Heat Up on average an immersion heater uses 3kw per hour, with the current energy price cap of 27p/kwh that is roughly 81p per hour. Or a 3 kw immersion heater to heat the same amount. how long does it take for the immersion heater to work? We would typically recommend switching the immersion heater on around two hours before. How Long Does Immersion Take To Heat Up.
From www.elevate.in
Immersion Heater Definition, How It Works, Types, Benefits, 54 OFF How Long Does Immersion Take To Heat Up how long does it take for immersion heaters to heat water? Immersion heaters are relatively inexpensive to purchase and come in a wide range of physical configurations, materials, and temperature ranges and can be used for a wide range of applications. Or a 3 kw immersion heater to heat the same amount. Therefore, if your boiler malfunctions, you can. How Long Does Immersion Take To Heat Up.
From www.acrplumbingandheating.ie
Immersion Heaters All You Need to Know ACR Plumbing and Heating How Long Does Immersion Take To Heat Up We would typically recommend switching the immersion heater on around two hours before you intend to use the hot water to give it time to heat the cylinder. once it reaches the desired temperature set on a thermostat, it automatically clicks off and will remain hot for the following few hours. how long does it take for the. How Long Does Immersion Take To Heat Up.
From www.iqsdirectory.com
Immersion Heater Definition, How It Works, Types, Benefits How Long Does Immersion Take To Heat Up In addition to this, it does take a few hours to heat the full tank of water, and it is important to heat the water to a minimum of 50 degrees celsius to ensure that the bacteria in the water have been killed off. Or a 3 kw immersion heater to heat the same amount. once it reaches the. How Long Does Immersion Take To Heat Up.
From www.wattco.com
Process Immersion Heaters Wattco How Long Does Immersion Take To Heat Up Immersion heaters operate independently from boilers or central heating systems. In addition to this, it does take a few hours to heat the full tank of water, and it is important to heat the water to a minimum of 50 degrees celsius to ensure that the bacteria in the water have been killed off. once it reaches the desired. How Long Does Immersion Take To Heat Up.
From ecampusontario.pressbooks.pub
11.2 Electrolytes Chemistry How Long Does Immersion Take To Heat Up Well insulated immersion heaters can ensure water is kept warm for several hours after the system is turned off. Therefore, if your boiler malfunctions, you can still deliver a hot water supply around your home. so you would need at least a 6 kw immersion heater to heat a full tank of water in 1 hour. The time it. How Long Does Immersion Take To Heat Up.
From www.chegg.com
Solved ± PSS 25.1 Power And Energy In Circuits SET UP The... How Long Does Immersion Take To Heat Up We would typically recommend switching the immersion heater on around two hours before you intend to use the hot water to give it time to heat the cylinder. on average an immersion heater uses 3kw per hour, with the current energy price cap of 27p/kwh that is roughly 81p per hour. how long does it take for the. How Long Does Immersion Take To Heat Up.
From www.numerade.com
SOLVED (II) A small immersion heater is rated at 350 W . Estimate how How Long Does Immersion Take To Heat Up When an electric current is passed through the heating element, it generates heat, which is transferred to the water. Or a 3 kw immersion heater to heat the same amount. immersion water heaters work on the principle of joule heating, which is the process of heating a conductor by passing an electric current through it. Immersion heaters operate independently. How Long Does Immersion Take To Heat Up.
From www.numerade.com
SOLVEDA 30 cmlong, 1500W electric resistance heating element whose How Long Does Immersion Take To Heat Up how long does it take for immersion heaters to heat water? Immersion heaters are relatively inexpensive to purchase and come in a wide range of physical configurations, materials, and temperature ranges and can be used for a wide range of applications. Immersion heaters operate independently from boilers or central heating systems. on average an immersion heater uses 3kw. How Long Does Immersion Take To Heat Up.
From www.iqsdirectory.com
Immersion Heater Definition, How It Works, Types, Benefits How Long Does Immersion Take To Heat Up how long does it take for immersion heaters to heat water? We would typically recommend switching the immersion heater on around two hours before you intend to use the hot water to give it time to heat the cylinder. immersion water heaters work on the principle of joule heating, which is the process of heating a conductor by. How Long Does Immersion Take To Heat Up.
From liquidstack.com
Immersion Cooling LiquidStack How Long Does Immersion Take To Heat Up how long does it take for the immersion heater to work? Immersion heaters are relatively inexpensive to purchase and come in a wide range of physical configurations, materials, and temperature ranges and can be used for a wide range of applications. In addition to this, it does take a few hours to heat the full tank of water, and. How Long Does Immersion Take To Heat Up.
From www.iqsdirectory.com
Immersion Heater Definition, How It Works, Types, Benefits How Long Does Immersion Take To Heat Up so you would need at least a 6 kw immersion heater to heat a full tank of water in 1 hour. immersion water heaters work on the principle of joule heating, which is the process of heating a conductor by passing an electric current through it. We would typically recommend switching the immersion heater on around two hours. How Long Does Immersion Take To Heat Up.
From www.alamy.com
Immersion heater hires stock photography and images Alamy How Long Does Immersion Take To Heat Up The time it takes to heat a hot water cylinder varies depending on the size of the cylinder and number of immersion heaters. Immersion heaters are relatively inexpensive to purchase and come in a wide range of physical configurations, materials, and temperature ranges and can be used for a wide range of applications. how long does it take for. How Long Does Immersion Take To Heat Up.
From www.numerade.com
SOLVEDA 40cmlong, 800W electric resistance heating element with How Long Does Immersion Take To Heat Up Immersion heaters operate independently from boilers or central heating systems. once it reaches the desired temperature set on a thermostat, it automatically clicks off and will remain hot for the following few hours. immersion water heaters work on the principle of joule heating, which is the process of heating a conductor by passing an electric current through it.. How Long Does Immersion Take To Heat Up.
From goodimg.co
️Dual Element Immersion Heater Wiring Diagram Free Download Goodimg.co How Long Does Immersion Take To Heat Up Immersion heaters operate independently from boilers or central heating systems. so you would need at least a 6 kw immersion heater to heat a full tank of water in 1 hour. Or a 3 kw immersion heater to heat the same amount. In addition to this, it does take a few hours to heat the full tank of water,. How Long Does Immersion Take To Heat Up.
From jascoelectricaltraders.com
IMMERSION HEATERS Jasco Electrical Traders How Long Does Immersion Take To Heat Up Immersion heaters are relatively inexpensive to purchase and come in a wide range of physical configurations, materials, and temperature ranges and can be used for a wide range of applications. Therefore, if your boiler malfunctions, you can still deliver a hot water supply around your home. Well insulated immersion heaters can ensure water is kept warm for several hours after. How Long Does Immersion Take To Heat Up.