A 3 Ohm Resistor An Unknown Resistor R And Two Ammeters . Ammeter a 2 reads a current of 5.0 amps. If the ammeter a2 reads a current of. A 3.0ohm resistor, an unknown resistor, r, and two ammeters, a1 and a2, * 1 point are connected as shown with a 12volt source.
from byjus.com
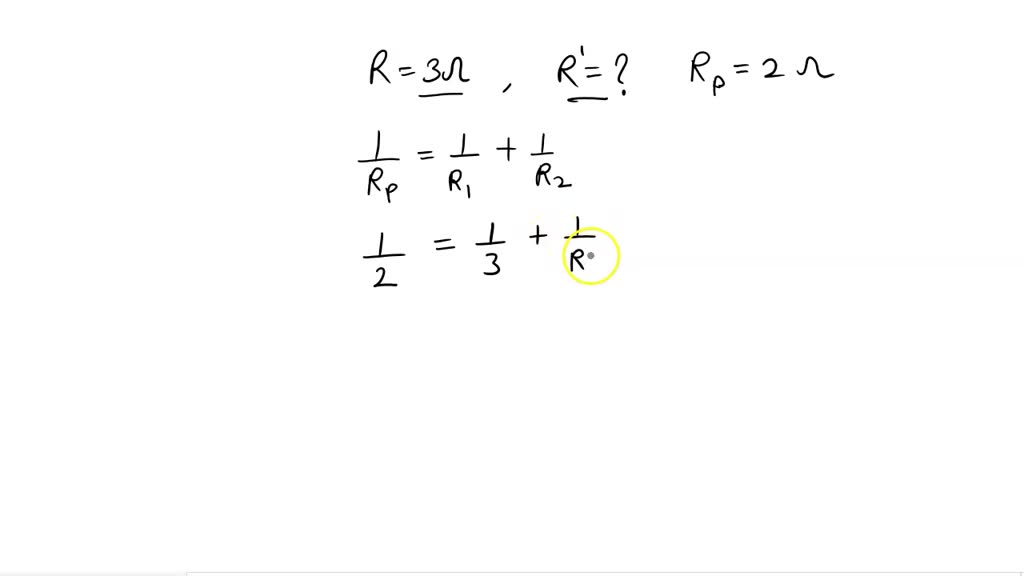
A 3.0ohm resistor, an unknown resistor, r, and two ammeters, a1 and a2, * 1 point are connected as shown with a 12volt source. Ammeter a 2 reads a current of 5.0 amps. If the ammeter a2 reads a current of.
131. 1 Calculate the electric current passing through 3 ohm and 6 ohm
A 3 Ohm Resistor An Unknown Resistor R And Two Ammeters A 3.0ohm resistor, an unknown resistor, r, and two ammeters, a1 and a2, * 1 point are connected as shown with a 12volt source. A 3.0ohm resistor, an unknown resistor, r, and two ammeters, a1 and a2, * 1 point are connected as shown with a 12volt source. If the ammeter a2 reads a current of. Ammeter a 2 reads a current of 5.0 amps.
From albo-colocolo-gb.blogspot.com
☑ 2 Ohm Resistor In Parallel A 3 Ohm Resistor An Unknown Resistor R And Two Ammeters Ammeter a 2 reads a current of 5.0 amps. A 3.0ohm resistor, an unknown resistor, r, and two ammeters, a1 and a2, * 1 point are connected as shown with a 12volt source. If the ammeter a2 reads a current of. A 3 Ohm Resistor An Unknown Resistor R And Two Ammeters.
From www.numerade.com
SOLVED Questions 8 through 9 refer to the following A 3.0ohm A 3 Ohm Resistor An Unknown Resistor R And Two Ammeters A 3.0ohm resistor, an unknown resistor, r, and two ammeters, a1 and a2, * 1 point are connected as shown with a 12volt source. Ammeter a 2 reads a current of 5.0 amps. If the ammeter a2 reads a current of. A 3 Ohm Resistor An Unknown Resistor R And Two Ammeters.
From www.numerade.com
SOLVED A resistor of 3 ohms and an unknown resistor are connected in A 3 Ohm Resistor An Unknown Resistor R And Two Ammeters If the ammeter a2 reads a current of. A 3.0ohm resistor, an unknown resistor, r, and two ammeters, a1 and a2, * 1 point are connected as shown with a 12volt source. Ammeter a 2 reads a current of 5.0 amps. A 3 Ohm Resistor An Unknown Resistor R And Two Ammeters.
From www.doubtnut.com
The reading of an experiment to determine the resistance of a give A 3 Ohm Resistor An Unknown Resistor R And Two Ammeters A 3.0ohm resistor, an unknown resistor, r, and two ammeters, a1 and a2, * 1 point are connected as shown with a 12volt source. Ammeter a 2 reads a current of 5.0 amps. If the ammeter a2 reads a current of. A 3 Ohm Resistor An Unknown Resistor R And Two Ammeters.
From www.youtube.com
In the, Ohm\'s law experiment to find resistance of unknown resistor `R A 3 Ohm Resistor An Unknown Resistor R And Two Ammeters Ammeter a 2 reads a current of 5.0 amps. A 3.0ohm resistor, an unknown resistor, r, and two ammeters, a1 and a2, * 1 point are connected as shown with a 12volt source. If the ammeter a2 reads a current of. A 3 Ohm Resistor An Unknown Resistor R And Two Ammeters.
From fixwiringfiercely.z13.web.core.windows.net
The Diagram Below Shows A Circuit With Three Resistors A 3 Ohm Resistor An Unknown Resistor R And Two Ammeters Ammeter a 2 reads a current of 5.0 amps. A 3.0ohm resistor, an unknown resistor, r, and two ammeters, a1 and a2, * 1 point are connected as shown with a 12volt source. If the ammeter a2 reads a current of. A 3 Ohm Resistor An Unknown Resistor R And Two Ammeters.
From www.youtube.com
EXPERIMENTAL VERIFICATION OF OHMS LAW & FINDING UNKNOWN RESISTANCE A 3 Ohm Resistor An Unknown Resistor R And Two Ammeters If the ammeter a2 reads a current of. Ammeter a 2 reads a current of 5.0 amps. A 3.0ohm resistor, an unknown resistor, r, and two ammeters, a1 and a2, * 1 point are connected as shown with a 12volt source. A 3 Ohm Resistor An Unknown Resistor R And Two Ammeters.
From www.coursehero.com
[Solved] A 10 ohms, 15 ohms and unknown resistor R are connected in A 3 Ohm Resistor An Unknown Resistor R And Two Ammeters Ammeter a 2 reads a current of 5.0 amps. A 3.0ohm resistor, an unknown resistor, r, and two ammeters, a1 and a2, * 1 point are connected as shown with a 12volt source. If the ammeter a2 reads a current of. A 3 Ohm Resistor An Unknown Resistor R And Two Ammeters.
From evantoh23.wordpress.com
Finding unknown resistor R and setting up the electrical circuit Evan A 3 Ohm Resistor An Unknown Resistor R And Two Ammeters If the ammeter a2 reads a current of. Ammeter a 2 reads a current of 5.0 amps. A 3.0ohm resistor, an unknown resistor, r, and two ammeters, a1 and a2, * 1 point are connected as shown with a 12volt source. A 3 Ohm Resistor An Unknown Resistor R And Two Ammeters.
From brainly.in
Two resistors 3 ohm and unknown resistor are connected in a series A 3 Ohm Resistor An Unknown Resistor R And Two Ammeters A 3.0ohm resistor, an unknown resistor, r, and two ammeters, a1 and a2, * 1 point are connected as shown with a 12volt source. Ammeter a 2 reads a current of 5.0 amps. If the ammeter a2 reads a current of. A 3 Ohm Resistor An Unknown Resistor R And Two Ammeters.
From www.linquip.com
A Quick Guide to Resistor Color Code Linquip A 3 Ohm Resistor An Unknown Resistor R And Two Ammeters Ammeter a 2 reads a current of 5.0 amps. If the ammeter a2 reads a current of. A 3.0ohm resistor, an unknown resistor, r, and two ammeters, a1 and a2, * 1 point are connected as shown with a 12volt source. A 3 Ohm Resistor An Unknown Resistor R And Two Ammeters.
From byjus.com
131. 1 Calculate the electric current passing through 3 ohm and 6 ohm A 3 Ohm Resistor An Unknown Resistor R And Two Ammeters If the ammeter a2 reads a current of. A 3.0ohm resistor, an unknown resistor, r, and two ammeters, a1 and a2, * 1 point are connected as shown with a 12volt source. Ammeter a 2 reads a current of 5.0 amps. A 3 Ohm Resistor An Unknown Resistor R And Two Ammeters.
From www.chegg.com
Solved a) Find the value of the unknown resistor R R = A 3 Ohm Resistor An Unknown Resistor R And Two Ammeters A 3.0ohm resistor, an unknown resistor, r, and two ammeters, a1 and a2, * 1 point are connected as shown with a 12volt source. If the ammeter a2 reads a current of. Ammeter a 2 reads a current of 5.0 amps. A 3 Ohm Resistor An Unknown Resistor R And Two Ammeters.
From www.chegg.com
Solved 13ohm resistor and an unknown resistor R are A 3 Ohm Resistor An Unknown Resistor R And Two Ammeters If the ammeter a2 reads a current of. Ammeter a 2 reads a current of 5.0 amps. A 3.0ohm resistor, an unknown resistor, r, and two ammeters, a1 and a2, * 1 point are connected as shown with a 12volt source. A 3 Ohm Resistor An Unknown Resistor R And Two Ammeters.
From www.doubtnut.com
In the, Ohm's law experiment to find resistance of unknown resistor R, A 3 Ohm Resistor An Unknown Resistor R And Two Ammeters A 3.0ohm resistor, an unknown resistor, r, and two ammeters, a1 and a2, * 1 point are connected as shown with a 12volt source. If the ammeter a2 reads a current of. Ammeter a 2 reads a current of 5.0 amps. A 3 Ohm Resistor An Unknown Resistor R And Two Ammeters.
From www.doubtnut.com
The cirucit shown in fig. extends to the right into infinity. Each A 3 Ohm Resistor An Unknown Resistor R And Two Ammeters Ammeter a 2 reads a current of 5.0 amps. A 3.0ohm resistor, an unknown resistor, r, and two ammeters, a1 and a2, * 1 point are connected as shown with a 12volt source. If the ammeter a2 reads a current of. A 3 Ohm Resistor An Unknown Resistor R And Two Ammeters.
From www.coursehero.com
[Solved] A 10 ohms, 15 ohms and unknown resistor R are connected in A 3 Ohm Resistor An Unknown Resistor R And Two Ammeters If the ammeter a2 reads a current of. A 3.0ohm resistor, an unknown resistor, r, and two ammeters, a1 and a2, * 1 point are connected as shown with a 12volt source. Ammeter a 2 reads a current of 5.0 amps. A 3 Ohm Resistor An Unknown Resistor R And Two Ammeters.
From www.resi.store
3.3 Ohm Resistor ResiSTORE A 3 Ohm Resistor An Unknown Resistor R And Two Ammeters A 3.0ohm resistor, an unknown resistor, r, and two ammeters, a1 and a2, * 1 point are connected as shown with a 12volt source. If the ammeter a2 reads a current of. Ammeter a 2 reads a current of 5.0 amps. A 3 Ohm Resistor An Unknown Resistor R And Two Ammeters.
From www.chegg.com
Solved 3537 A 3.0ohm resistor, an unknown resistor, R. and A 3 Ohm Resistor An Unknown Resistor R And Two Ammeters Ammeter a 2 reads a current of 5.0 amps. A 3.0ohm resistor, an unknown resistor, r, and two ammeters, a1 and a2, * 1 point are connected as shown with a 12volt source. If the ammeter a2 reads a current of. A 3 Ohm Resistor An Unknown Resistor R And Two Ammeters.
From learn.sparkfun.com
Resistors SparkFun Learn A 3 Ohm Resistor An Unknown Resistor R And Two Ammeters If the ammeter a2 reads a current of. Ammeter a 2 reads a current of 5.0 amps. A 3.0ohm resistor, an unknown resistor, r, and two ammeters, a1 and a2, * 1 point are connected as shown with a 12volt source. A 3 Ohm Resistor An Unknown Resistor R And Two Ammeters.
From aladin-vegas-las-casino-poker.blogspot.com
☑ A 3 Ohm Resistor An Unknown Resistor R And Two Ammeters A 3 Ohm Resistor An Unknown Resistor R And Two Ammeters Ammeter a 2 reads a current of 5.0 amps. If the ammeter a2 reads a current of. A 3.0ohm resistor, an unknown resistor, r, and two ammeters, a1 and a2, * 1 point are connected as shown with a 12volt source. A 3 Ohm Resistor An Unknown Resistor R And Two Ammeters.
From brainly.in
Two resistors 3 ohm and unknown resistor are connected in a series A 3 Ohm Resistor An Unknown Resistor R And Two Ammeters A 3.0ohm resistor, an unknown resistor, r, and two ammeters, a1 and a2, * 1 point are connected as shown with a 12volt source. If the ammeter a2 reads a current of. Ammeter a 2 reads a current of 5.0 amps. A 3 Ohm Resistor An Unknown Resistor R And Two Ammeters.
From www.vrogue.co
The Circuit Shown In The Figure Below Contains Three vrogue.co A 3 Ohm Resistor An Unknown Resistor R And Two Ammeters If the ammeter a2 reads a current of. A 3.0ohm resistor, an unknown resistor, r, and two ammeters, a1 and a2, * 1 point are connected as shown with a 12volt source. Ammeter a 2 reads a current of 5.0 amps. A 3 Ohm Resistor An Unknown Resistor R And Two Ammeters.
From learn.sparkfun.com
Resistors A 3 Ohm Resistor An Unknown Resistor R And Two Ammeters If the ammeter a2 reads a current of. Ammeter a 2 reads a current of 5.0 amps. A 3.0ohm resistor, an unknown resistor, r, and two ammeters, a1 and a2, * 1 point are connected as shown with a 12volt source. A 3 Ohm Resistor An Unknown Resistor R And Two Ammeters.
From www.doubtnut.com
Explain the determination of unknown resistance using meter bridge. A 3 Ohm Resistor An Unknown Resistor R And Two Ammeters If the ammeter a2 reads a current of. A 3.0ohm resistor, an unknown resistor, r, and two ammeters, a1 and a2, * 1 point are connected as shown with a 12volt source. Ammeter a 2 reads a current of 5.0 amps. A 3 Ohm Resistor An Unknown Resistor R And Two Ammeters.
From electronicsforu.com
Resistor Colour Code for Engineers Electronics Basics Guide A 3 Ohm Resistor An Unknown Resistor R And Two Ammeters If the ammeter a2 reads a current of. A 3.0ohm resistor, an unknown resistor, r, and two ammeters, a1 and a2, * 1 point are connected as shown with a 12volt source. Ammeter a 2 reads a current of 5.0 amps. A 3 Ohm Resistor An Unknown Resistor R And Two Ammeters.
From www.numerade.com
SOLVED Questions 8 through 9 refer to the following A 3.0ohm A 3 Ohm Resistor An Unknown Resistor R And Two Ammeters If the ammeter a2 reads a current of. A 3.0ohm resistor, an unknown resistor, r, and two ammeters, a1 and a2, * 1 point are connected as shown with a 12volt source. Ammeter a 2 reads a current of 5.0 amps. A 3 Ohm Resistor An Unknown Resistor R And Two Ammeters.
From www.diagramcircuit.com
How To Find Unknown Resistor In Series Parallel Circuit » Diagram Circuit A 3 Ohm Resistor An Unknown Resistor R And Two Ammeters If the ammeter a2 reads a current of. A 3.0ohm resistor, an unknown resistor, r, and two ammeters, a1 and a2, * 1 point are connected as shown with a 12volt source. Ammeter a 2 reads a current of 5.0 amps. A 3 Ohm Resistor An Unknown Resistor R And Two Ammeters.
From www.wellpcb.com
Resistor Values How to Calculate and Understand It A 3 Ohm Resistor An Unknown Resistor R And Two Ammeters If the ammeter a2 reads a current of. A 3.0ohm resistor, an unknown resistor, r, and two ammeters, a1 and a2, * 1 point are connected as shown with a 12volt source. Ammeter a 2 reads a current of 5.0 amps. A 3 Ohm Resistor An Unknown Resistor R And Two Ammeters.
From www.coursehero.com
[Solved] 50. Q 3. A 50.ohm resistor, an unknown resistor R, a 120volt A 3 Ohm Resistor An Unknown Resistor R And Two Ammeters A 3.0ohm resistor, an unknown resistor, r, and two ammeters, a1 and a2, * 1 point are connected as shown with a 12volt source. If the ammeter a2 reads a current of. Ammeter a 2 reads a current of 5.0 amps. A 3 Ohm Resistor An Unknown Resistor R And Two Ammeters.
From www.doubtnut.com
In the, Ohm's law experiment to find resistance of unknown resistor R A 3 Ohm Resistor An Unknown Resistor R And Two Ammeters A 3.0ohm resistor, an unknown resistor, r, and two ammeters, a1 and a2, * 1 point are connected as shown with a 12volt source. Ammeter a 2 reads a current of 5.0 amps. If the ammeter a2 reads a current of. A 3 Ohm Resistor An Unknown Resistor R And Two Ammeters.
From www.organised-sound.com
How To Find Unknown Resistance In Series Circuit Wiring Diagram A 3 Ohm Resistor An Unknown Resistor R And Two Ammeters Ammeter a 2 reads a current of 5.0 amps. A 3.0ohm resistor, an unknown resistor, r, and two ammeters, a1 and a2, * 1 point are connected as shown with a 12volt source. If the ammeter a2 reads a current of. A 3 Ohm Resistor An Unknown Resistor R And Two Ammeters.
From www.doubtnut.com
In the circuit shown here, what is the value of the unknown resistor R A 3 Ohm Resistor An Unknown Resistor R And Two Ammeters If the ammeter a2 reads a current of. Ammeter a 2 reads a current of 5.0 amps. A 3.0ohm resistor, an unknown resistor, r, and two ammeters, a1 and a2, * 1 point are connected as shown with a 12volt source. A 3 Ohm Resistor An Unknown Resistor R And Two Ammeters.
From www.numerade.com
SOLVED 12 V 3.0 9 A 3,0ohm resistor an unknown resistor R and two A 3 Ohm Resistor An Unknown Resistor R And Two Ammeters A 3.0ohm resistor, an unknown resistor, r, and two ammeters, a1 and a2, * 1 point are connected as shown with a 12volt source. If the ammeter a2 reads a current of. Ammeter a 2 reads a current of 5.0 amps. A 3 Ohm Resistor An Unknown Resistor R And Two Ammeters.
From www.numerade.com
SOLVED PLEASE ANSWER ALL 2 ( Calculate R such that the power A 3 Ohm Resistor An Unknown Resistor R And Two Ammeters Ammeter a 2 reads a current of 5.0 amps. A 3.0ohm resistor, an unknown resistor, r, and two ammeters, a1 and a2, * 1 point are connected as shown with a 12volt source. If the ammeter a2 reads a current of. A 3 Ohm Resistor An Unknown Resistor R And Two Ammeters.