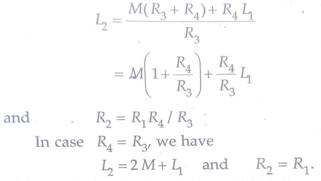
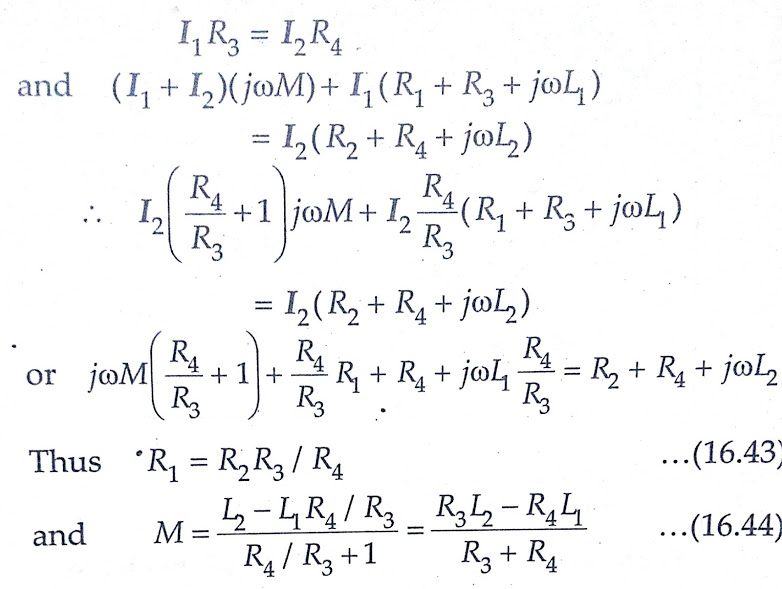
Inductance Bridge Formula . At the balance condition, the formula for maxwell’s inductance circuit is given as, where l1= unknown inductance with a resistor r1. for measurement of inductance, the maxwell inductance bridge circuit can be employed. L2 is the variable inductance with a fixed resistance r2. R2 is the variable resistor in series with l2. a maxwell inductance bridge is primarily used to accurately measure unknown inductance values in a circuit by. The circuit of the maxwell bridge is simply a repeat of the. It measures unknown inductance in terms of. maxwell’s bridge method is used for measuring an unknown inductances of low q values.
from wiraelectrical.com
It measures unknown inductance in terms of. At the balance condition, the formula for maxwell’s inductance circuit is given as, where l1= unknown inductance with a resistor r1. maxwell’s bridge method is used for measuring an unknown inductances of low q values. a maxwell inductance bridge is primarily used to accurately measure unknown inductance values in a circuit by. L2 is the variable inductance with a fixed resistance r2. The circuit of the maxwell bridge is simply a repeat of the. for measurement of inductance, the maxwell inductance bridge circuit can be employed. R2 is the variable resistor in series with l2.
Inductance Formula of an Inductor Explanation and Example Wira Electrical
Inductance Bridge Formula The circuit of the maxwell bridge is simply a repeat of the. maxwell’s bridge method is used for measuring an unknown inductances of low q values. The circuit of the maxwell bridge is simply a repeat of the. At the balance condition, the formula for maxwell’s inductance circuit is given as, where l1= unknown inductance with a resistor r1. It measures unknown inductance in terms of. L2 is the variable inductance with a fixed resistance r2. for measurement of inductance, the maxwell inductance bridge circuit can be employed. a maxwell inductance bridge is primarily used to accurately measure unknown inductance values in a circuit by. R2 is the variable resistor in series with l2.
From www.electricalengineeringinfo.com
Measurement of Mutual Inductance By Heaviside Bridge Inductance Bridge Formula maxwell’s bridge method is used for measuring an unknown inductances of low q values. The circuit of the maxwell bridge is simply a repeat of the. R2 is the variable resistor in series with l2. L2 is the variable inductance with a fixed resistance r2. It measures unknown inductance in terms of. At the balance condition, the formula for. Inductance Bridge Formula.
From www.allaboutcircuits.com
Factors Affecting Inductance Inductors Electronics Textbook Inductance Bridge Formula for measurement of inductance, the maxwell inductance bridge circuit can be employed. At the balance condition, the formula for maxwell’s inductance circuit is given as, where l1= unknown inductance with a resistor r1. L2 is the variable inductance with a fixed resistance r2. a maxwell inductance bridge is primarily used to accurately measure unknown inductance values in a. Inductance Bridge Formula.
From wiraelectrical.com
Inductance Formula of an Inductor Explanation and Example Wira Electrical Inductance Bridge Formula a maxwell inductance bridge is primarily used to accurately measure unknown inductance values in a circuit by. L2 is the variable inductance with a fixed resistance r2. It measures unknown inductance in terms of. The circuit of the maxwell bridge is simply a repeat of the. At the balance condition, the formula for maxwell’s inductance circuit is given as,. Inductance Bridge Formula.
From tpub.com
Inductance bridge. Inductance Bridge Formula The circuit of the maxwell bridge is simply a repeat of the. At the balance condition, the formula for maxwell’s inductance circuit is given as, where l1= unknown inductance with a resistor r1. for measurement of inductance, the maxwell inductance bridge circuit can be employed. a maxwell inductance bridge is primarily used to accurately measure unknown inductance values. Inductance Bridge Formula.
From www.scienceabc.com
All You Need To Know About The Inductors And Induction Inductance Bridge Formula a maxwell inductance bridge is primarily used to accurately measure unknown inductance values in a circuit by. L2 is the variable inductance with a fixed resistance r2. It measures unknown inductance in terms of. The circuit of the maxwell bridge is simply a repeat of the. for measurement of inductance, the maxwell inductance bridge circuit can be employed.. Inductance Bridge Formula.
From www.youtube.com
Maxwell Inductance Bridge Measurement and Instrumentation YouTube Inductance Bridge Formula R2 is the variable resistor in series with l2. for measurement of inductance, the maxwell inductance bridge circuit can be employed. It measures unknown inductance in terms of. L2 is the variable inductance with a fixed resistance r2. At the balance condition, the formula for maxwell’s inductance circuit is given as, where l1= unknown inductance with a resistor r1.. Inductance Bridge Formula.
From www.electricalengineeringinfo.com
Measurement of Self Inductance By Hay's Bridge Inductance Bridge Formula R2 is the variable resistor in series with l2. At the balance condition, the formula for maxwell’s inductance circuit is given as, where l1= unknown inductance with a resistor r1. maxwell’s bridge method is used for measuring an unknown inductances of low q values. The circuit of the maxwell bridge is simply a repeat of the. L2 is the. Inductance Bridge Formula.
From electricalacademia.com
Maxwell Inductance Bridge Circuit Electrical Academia Inductance Bridge Formula The circuit of the maxwell bridge is simply a repeat of the. R2 is the variable resistor in series with l2. for measurement of inductance, the maxwell inductance bridge circuit can be employed. At the balance condition, the formula for maxwell’s inductance circuit is given as, where l1= unknown inductance with a resistor r1. a maxwell inductance bridge. Inductance Bridge Formula.
From www.technocrazed.com
12.5 AC Bridge Circuits Inductance Bridge Formula The circuit of the maxwell bridge is simply a repeat of the. At the balance condition, the formula for maxwell’s inductance circuit is given as, where l1= unknown inductance with a resistor r1. R2 is the variable resistor in series with l2. It measures unknown inductance in terms of. for measurement of inductance, the maxwell inductance bridge circuit can. Inductance Bridge Formula.
From www.youtube.com
Capacitance and Inductance Comparison Bridges Electrical Instruments ( EIM ) Lec 44 Inductance Bridge Formula It measures unknown inductance in terms of. The circuit of the maxwell bridge is simply a repeat of the. a maxwell inductance bridge is primarily used to accurately measure unknown inductance values in a circuit by. L2 is the variable inductance with a fixed resistance r2. maxwell’s bridge method is used for measuring an unknown inductances of low. Inductance Bridge Formula.
From www.yamanelectronics.com
Inductance Measurement Methods (Easy Guide 2024) Inductance Bridge Formula maxwell’s bridge method is used for measuring an unknown inductances of low q values. The circuit of the maxwell bridge is simply a repeat of the. R2 is the variable resistor in series with l2. a maxwell inductance bridge is primarily used to accurately measure unknown inductance values in a circuit by. At the balance condition, the formula. Inductance Bridge Formula.
From www.youtube.com
Maxwell inductance bridge maxwell inductance bridge in hindi maxwell inductance bridge Inductance Bridge Formula L2 is the variable inductance with a fixed resistance r2. maxwell’s bridge method is used for measuring an unknown inductances of low q values. for measurement of inductance, the maxwell inductance bridge circuit can be employed. R2 is the variable resistor in series with l2. At the balance condition, the formula for maxwell’s inductance circuit is given as,. Inductance Bridge Formula.
From www.electricalengineeringinfo.com
Measurement Of Self Inductance By Maxwell's Bridge Electrical Engineering Info Inductance Bridge Formula for measurement of inductance, the maxwell inductance bridge circuit can be employed. L2 is the variable inductance with a fixed resistance r2. R2 is the variable resistor in series with l2. maxwell’s bridge method is used for measuring an unknown inductances of low q values. It measures unknown inductance in terms of. The circuit of the maxwell bridge. Inductance Bridge Formula.
From www.youtube.com
4 1 2022 EMI Maxwells Inductance Bridge YouTube Inductance Bridge Formula maxwell’s bridge method is used for measuring an unknown inductances of low q values. R2 is the variable resistor in series with l2. At the balance condition, the formula for maxwell’s inductance circuit is given as, where l1= unknown inductance with a resistor r1. for measurement of inductance, the maxwell inductance bridge circuit can be employed. It measures. Inductance Bridge Formula.
From www.electricalvolt.com
Maxwell's BridgeCircuit, Types, Phasor Diagram & Advantages Inductance Bridge Formula The circuit of the maxwell bridge is simply a repeat of the. for measurement of inductance, the maxwell inductance bridge circuit can be employed. R2 is the variable resistor in series with l2. It measures unknown inductance in terms of. At the balance condition, the formula for maxwell’s inductance circuit is given as, where l1= unknown inductance with a. Inductance Bridge Formula.
From www.youtube.com
maxwell inductance capacitance bridge maxwell's bridge in hindi Phaser diagram formula Inductance Bridge Formula L2 is the variable inductance with a fixed resistance r2. a maxwell inductance bridge is primarily used to accurately measure unknown inductance values in a circuit by. At the balance condition, the formula for maxwell’s inductance circuit is given as, where l1= unknown inductance with a resistor r1. The circuit of the maxwell bridge is simply a repeat of. Inductance Bridge Formula.
From basicstoeng.blogspot.com
Measurement of Mutual Inductance By Heaviside Bridge Inductance Bridge Formula for measurement of inductance, the maxwell inductance bridge circuit can be employed. It measures unknown inductance in terms of. At the balance condition, the formula for maxwell’s inductance circuit is given as, where l1= unknown inductance with a resistor r1. The circuit of the maxwell bridge is simply a repeat of the. maxwell’s bridge method is used for. Inductance Bridge Formula.
From www.youtube.com
Owen's Bridge for Inductance Measurement AC Bridges YouTube Inductance Bridge Formula R2 is the variable resistor in series with l2. a maxwell inductance bridge is primarily used to accurately measure unknown inductance values in a circuit by. The circuit of the maxwell bridge is simply a repeat of the. for measurement of inductance, the maxwell inductance bridge circuit can be employed. maxwell’s bridge method is used for measuring. Inductance Bridge Formula.
From www.slideshare.net
5.4.2 Inductance Equations Inductance Bridge Formula L2 is the variable inductance with a fixed resistance r2. R2 is the variable resistor in series with l2. a maxwell inductance bridge is primarily used to accurately measure unknown inductance values in a circuit by. It measures unknown inductance in terms of. for measurement of inductance, the maxwell inductance bridge circuit can be employed. maxwell’s bridge. Inductance Bridge Formula.
From www.youtube.com
Inductance Comparison Bridge YouTube Inductance Bridge Formula It measures unknown inductance in terms of. The circuit of the maxwell bridge is simply a repeat of the. maxwell’s bridge method is used for measuring an unknown inductances of low q values. L2 is the variable inductance with a fixed resistance r2. a maxwell inductance bridge is primarily used to accurately measure unknown inductance values in a. Inductance Bridge Formula.
From www.electricalvolt.com
Inductance Formula With Solved Examples Inductance Bridge Formula It measures unknown inductance in terms of. for measurement of inductance, the maxwell inductance bridge circuit can be employed. maxwell’s bridge method is used for measuring an unknown inductances of low q values. R2 is the variable resistor in series with l2. L2 is the variable inductance with a fixed resistance r2. At the balance condition, the formula. Inductance Bridge Formula.
From www.electricalengineeringinfo.com
Measurement of Self Inductance By Anderson's Bridge Inductance Bridge Formula for measurement of inductance, the maxwell inductance bridge circuit can be employed. a maxwell inductance bridge is primarily used to accurately measure unknown inductance values in a circuit by. R2 is the variable resistor in series with l2. maxwell’s bridge method is used for measuring an unknown inductances of low q values. At the balance condition, the. Inductance Bridge Formula.
From www.electricalengineeringinfo.com
Measurement Of Self Inductance By Maxwell's Bridge Electrical Engineering Info Inductance Bridge Formula At the balance condition, the formula for maxwell’s inductance circuit is given as, where l1= unknown inductance with a resistor r1. L2 is the variable inductance with a fixed resistance r2. The circuit of the maxwell bridge is simply a repeat of the. It measures unknown inductance in terms of. maxwell’s bridge method is used for measuring an unknown. Inductance Bridge Formula.
From electricalbaba.com
Maxwell BridgeMeasurement of Inductance Electrical Concepts Inductance Bridge Formula L2 is the variable inductance with a fixed resistance r2. It measures unknown inductance in terms of. R2 is the variable resistor in series with l2. The circuit of the maxwell bridge is simply a repeat of the. maxwell’s bridge method is used for measuring an unknown inductances of low q values. a maxwell inductance bridge is primarily. Inductance Bridge Formula.
From wiraelectrical.com
Inductance Formula of an Inductor Explanation and Example Wira Electrical Inductance Bridge Formula It measures unknown inductance in terms of. R2 is the variable resistor in series with l2. The circuit of the maxwell bridge is simply a repeat of the. At the balance condition, the formula for maxwell’s inductance circuit is given as, where l1= unknown inductance with a resistor r1. for measurement of inductance, the maxwell inductance bridge circuit can. Inductance Bridge Formula.
From www.youtube.com
Maxwell's Inductance Capacitance bridge with Phasor diagram YouTube Inductance Bridge Formula L2 is the variable inductance with a fixed resistance r2. a maxwell inductance bridge is primarily used to accurately measure unknown inductance values in a circuit by. The circuit of the maxwell bridge is simply a repeat of the. At the balance condition, the formula for maxwell’s inductance circuit is given as, where l1= unknown inductance with a resistor. Inductance Bridge Formula.
From electricalacademia.com
Mutual Inductance and Self Inductance Formula & Example Electrical Academia Inductance Bridge Formula At the balance condition, the formula for maxwell’s inductance circuit is given as, where l1= unknown inductance with a resistor r1. a maxwell inductance bridge is primarily used to accurately measure unknown inductance values in a circuit by. The circuit of the maxwell bridge is simply a repeat of the. L2 is the variable inductance with a fixed resistance. Inductance Bridge Formula.
From www.youtube.com
Maxwell Inductance Capacitatance Bridge YouTube Inductance Bridge Formula The circuit of the maxwell bridge is simply a repeat of the. a maxwell inductance bridge is primarily used to accurately measure unknown inductance values in a circuit by. maxwell’s bridge method is used for measuring an unknown inductances of low q values. L2 is the variable inductance with a fixed resistance r2. At the balance condition, the. Inductance Bridge Formula.
From www.youtube.com
Maxwell Inductance Bridge YouTube Inductance Bridge Formula for measurement of inductance, the maxwell inductance bridge circuit can be employed. It measures unknown inductance in terms of. L2 is the variable inductance with a fixed resistance r2. R2 is the variable resistor in series with l2. At the balance condition, the formula for maxwell’s inductance circuit is given as, where l1= unknown inductance with a resistor r1.. Inductance Bridge Formula.
From www.electricalengineeringinfo.com
Measurement Of Self Inductance By Maxwell's Bridge Electrical Engineering Info Inductance Bridge Formula It measures unknown inductance in terms of. At the balance condition, the formula for maxwell’s inductance circuit is given as, where l1= unknown inductance with a resistor r1. maxwell’s bridge method is used for measuring an unknown inductances of low q values. The circuit of the maxwell bridge is simply a repeat of the. L2 is the variable inductance. Inductance Bridge Formula.
From www.electricalengineeringinfo.com
Measurement of Self Inductance By Anderson's Bridge Inductance Bridge Formula L2 is the variable inductance with a fixed resistance r2. R2 is the variable resistor in series with l2. maxwell’s bridge method is used for measuring an unknown inductances of low q values. It measures unknown inductance in terms of. for measurement of inductance, the maxwell inductance bridge circuit can be employed. a maxwell inductance bridge is. Inductance Bridge Formula.
From www.coursehero.com
[Solved] The four arms of Maxwell's inductance bridge are; Arm AB contains... Course Hero Inductance Bridge Formula maxwell’s bridge method is used for measuring an unknown inductances of low q values. a maxwell inductance bridge is primarily used to accurately measure unknown inductance values in a circuit by. for measurement of inductance, the maxwell inductance bridge circuit can be employed. L2 is the variable inductance with a fixed resistance r2. The circuit of the. Inductance Bridge Formula.
From www.yamanelectronics.com
Inductance Measurement Methods (Easy Guide 2024) Inductance Bridge Formula maxwell’s bridge method is used for measuring an unknown inductances of low q values. L2 is the variable inductance with a fixed resistance r2. It measures unknown inductance in terms of. a maxwell inductance bridge is primarily used to accurately measure unknown inductance values in a circuit by. At the balance condition, the formula for maxwell’s inductance circuit. Inductance Bridge Formula.
From suryaprakashseee.blogspot.com
Maxwell’s inductance bridge Inductance Bridge Formula for measurement of inductance, the maxwell inductance bridge circuit can be employed. a maxwell inductance bridge is primarily used to accurately measure unknown inductance values in a circuit by. At the balance condition, the formula for maxwell’s inductance circuit is given as, where l1= unknown inductance with a resistor r1. It measures unknown inductance in terms of. R2. Inductance Bridge Formula.
From electricalacademia.com
Impedance Measurement Theory Electrical Academia Inductance Bridge Formula for measurement of inductance, the maxwell inductance bridge circuit can be employed. The circuit of the maxwell bridge is simply a repeat of the. R2 is the variable resistor in series with l2. a maxwell inductance bridge is primarily used to accurately measure unknown inductance values in a circuit by. At the balance condition, the formula for maxwell’s. Inductance Bridge Formula.