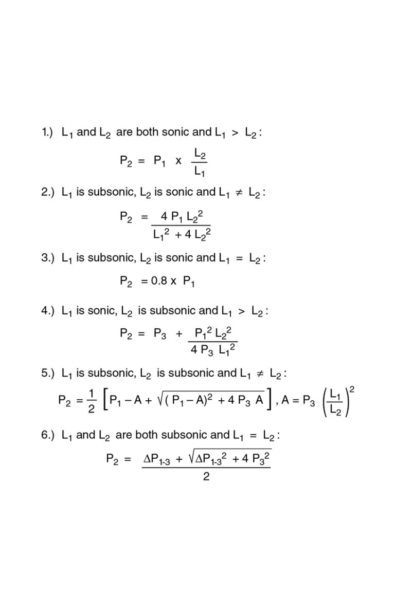
Flow Restrictors In Series . The most basic flow restrictor is a single orifice plate; If l 1 is known and is more than 90% of l t, then l 2 may. A flow restrictor may employ multiple orifices in series to increase the total combined restriction. Assuming for example you're using a single filmtec membrane, use this calculator. I now have 2 x 100gpd in series with respective flow restrictions at the waste of each membranes outlet and a membrane flush each. Still, it can be confusing to know what size flow restrictor works with your. When gas flow passes through restrictors in series, the pressure drops are not evenly distributed. I have just found this formula for putting restrictors in series. Sqrt( (diametera^2 * diameterb^2) / (diametera^2+diameterb^2)). Sizing a reverse osmosis flow restrictor correctly is crucial for its optimal functioning. It is highly adaptable, low cost, and widely used in controlling liquid and gas flow rates. Similar to using a capillary tube, a device may. Flow restrictors are spec'ed based upon the flow (of concentrate) they allow in ml per min. This is caused by the compressibility of the gas and generally results in higher.
from www.theleeco.com
I now have 2 x 100gpd in series with respective flow restrictions at the waste of each membranes outlet and a membrane flush each. Sqrt( (diametera^2 * diameterb^2) / (diametera^2+diameterb^2)). A flow restrictor may employ multiple orifices in series to increase the total combined restriction. Sizing a reverse osmosis flow restrictor correctly is crucial for its optimal functioning. Assuming for example you're using a single filmtec membrane, use this calculator. I have just found this formula for putting restrictors in series. This is caused by the compressibility of the gas and generally results in higher. It is highly adaptable, low cost, and widely used in controlling liquid and gas flow rates. Similar to using a capillary tube, a device may. Flow restrictors are spec'ed based upon the flow (of concentrate) they allow in ml per min.
What is a Flow Restrictor and How Does it Work? The Lee Co
Flow Restrictors In Series It is highly adaptable, low cost, and widely used in controlling liquid and gas flow rates. It is highly adaptable, low cost, and widely used in controlling liquid and gas flow rates. Similar to using a capillary tube, a device may. Sizing a reverse osmosis flow restrictor correctly is crucial for its optimal functioning. Sqrt( (diametera^2 * diameterb^2) / (diametera^2+diameterb^2)). Assuming for example you're using a single filmtec membrane, use this calculator. If l 1 is known and is more than 90% of l t, then l 2 may. A flow restrictor may employ multiple orifices in series to increase the total combined restriction. This is caused by the compressibility of the gas and generally results in higher. Still, it can be confusing to know what size flow restrictor works with your. When gas flow passes through restrictors in series, the pressure drops are not evenly distributed. I have just found this formula for putting restrictors in series. I now have 2 x 100gpd in series with respective flow restrictions at the waste of each membranes outlet and a membrane flush each. The most basic flow restrictor is a single orifice plate; Flow restrictors are spec'ed based upon the flow (of concentrate) they allow in ml per min.
From www.savemoneycutcarbon.com
Wondervalve Inline Flow Restrictor 6 Litres Per Minute Flow Rate Flow Restrictors In Series I have just found this formula for putting restrictors in series. The most basic flow restrictor is a single orifice plate; Similar to using a capillary tube, a device may. I now have 2 x 100gpd in series with respective flow restrictions at the waste of each membranes outlet and a membrane flush each. If l 1 is known and. Flow Restrictors In Series.
From www.theleeco.com
Restrictors in Series The Lee Company Flow Restrictors In Series I now have 2 x 100gpd in series with respective flow restrictions at the waste of each membranes outlet and a membrane flush each. If l 1 is known and is more than 90% of l t, then l 2 may. This is caused by the compressibility of the gas and generally results in higher. It is highly adaptable, low. Flow Restrictors In Series.
From www.directindustry.com
Orifice flow restrictor F2815 series AIR Logic barbed Flow Restrictors In Series Still, it can be confusing to know what size flow restrictor works with your. I now have 2 x 100gpd in series with respective flow restrictions at the waste of each membranes outlet and a membrane flush each. Assuming for example you're using a single filmtec membrane, use this calculator. It is highly adaptable, low cost, and widely used in. Flow Restrictors In Series.
From catalog.circlevalve.com
Item 6LVRFR4015, Flow Restrictor On Circle Valve Technologies Inc. Flow Restrictors In Series This is caused by the compressibility of the gas and generally results in higher. It is highly adaptable, low cost, and widely used in controlling liquid and gas flow rates. Assuming for example you're using a single filmtec membrane, use this calculator. I have just found this formula for putting restrictors in series. Sizing a reverse osmosis flow restrictor correctly. Flow Restrictors In Series.
From www.directindustry.com
Orifice flow restrictor RP series THE LEE COMPANY barbed / for Flow Restrictors In Series Still, it can be confusing to know what size flow restrictor works with your. The most basic flow restrictor is a single orifice plate; Similar to using a capillary tube, a device may. When gas flow passes through restrictors in series, the pressure drops are not evenly distributed. Flow restrictors are spec'ed based upon the flow (of concentrate) they allow. Flow Restrictors In Series.
From www.directindustry.com
Orifice flow restrictor PC series NIHON PISCO CO., Ltd. pushin Flow Restrictors In Series When gas flow passes through restrictors in series, the pressure drops are not evenly distributed. It is highly adaptable, low cost, and widely used in controlling liquid and gas flow rates. The most basic flow restrictor is a single orifice plate; Still, it can be confusing to know what size flow restrictor works with your. Sizing a reverse osmosis flow. Flow Restrictors In Series.
From www.relatedfluidpower.com
Flow Restrictors, Adjustable Needle Valves • Related Fluid Power Flow Restrictors In Series Assuming for example you're using a single filmtec membrane, use this calculator. A flow restrictor may employ multiple orifices in series to increase the total combined restriction. When gas flow passes through restrictors in series, the pressure drops are not evenly distributed. Similar to using a capillary tube, a device may. I have just found this formula for putting restrictors. Flow Restrictors In Series.
From metallfilter.se
Flow restrictors for processIndustry Metallfilter Flow Restrictors In Series Assuming for example you're using a single filmtec membrane, use this calculator. If l 1 is known and is more than 90% of l t, then l 2 may. I now have 2 x 100gpd in series with respective flow restrictions at the waste of each membranes outlet and a membrane flush each. I have just found this formula for. Flow Restrictors In Series.
From www.theleeco.com
What is a Flow Restrictor and How Does it Work? The Lee Co Flow Restrictors In Series I now have 2 x 100gpd in series with respective flow restrictions at the waste of each membranes outlet and a membrane flush each. I have just found this formula for putting restrictors in series. Sizing a reverse osmosis flow restrictor correctly is crucial for its optimal functioning. Assuming for example you're using a single filmtec membrane, use this calculator.. Flow Restrictors In Series.
From geoffreylibse2000.blogspot.com
Neopure Stainless Steel Flow Restrictor 12 Fnpt In 2021 Stainless Flow Restrictors In Series It is highly adaptable, low cost, and widely used in controlling liquid and gas flow rates. Sqrt( (diametera^2 * diameterb^2) / (diametera^2+diameterb^2)). Flow restrictors are spec'ed based upon the flow (of concentrate) they allow in ml per min. Similar to using a capillary tube, a device may. Still, it can be confusing to know what size flow restrictor works with. Flow Restrictors In Series.
From techblog.ctgclean.com
Reducing Flow vs. Reducing Pressure Which is it? CTG Flow Restrictors In Series Flow restrictors are spec'ed based upon the flow (of concentrate) they allow in ml per min. Assuming for example you're using a single filmtec membrane, use this calculator. This is caused by the compressibility of the gas and generally results in higher. Similar to using a capillary tube, a device may. Sizing a reverse osmosis flow restrictor correctly is crucial. Flow Restrictors In Series.
From www.theleeco.com
68 Series Visco Jet® Restrictor The Lee Co Flow Restrictors In Series When gas flow passes through restrictors in series, the pressure drops are not evenly distributed. Flow restrictors are spec'ed based upon the flow (of concentrate) they allow in ml per min. Sqrt( (diametera^2 * diameterb^2) / (diametera^2+diameterb^2)). A flow restrictor may employ multiple orifices in series to increase the total combined restriction. Similar to using a capillary tube, a device. Flow Restrictors In Series.
From www.amazon.com
WECO Flow Restrictor with 1/4" EZ Push Connectors (200 ml Flow Restrictors In Series Similar to using a capillary tube, a device may. Still, it can be confusing to know what size flow restrictor works with your. If l 1 is known and is more than 90% of l t, then l 2 may. This is caused by the compressibility of the gas and generally results in higher. Assuming for example you're using a. Flow Restrictors In Series.
From www.theleeco.com
What is a Flow Restrictor and How Does it Work? The Lee Co Flow Restrictors In Series I have just found this formula for putting restrictors in series. A flow restrictor may employ multiple orifices in series to increase the total combined restriction. I now have 2 x 100gpd in series with respective flow restrictions at the waste of each membranes outlet and a membrane flush each. The most basic flow restrictor is a single orifice plate;. Flow Restrictors In Series.
From www.dolphinsolutions.co.uk
Flow Restrictor vs. Flow Regulator Dolphin Solutions Flow Restrictors In Series Still, it can be confusing to know what size flow restrictor works with your. Sqrt( (diametera^2 * diameterb^2) / (diametera^2+diameterb^2)). I now have 2 x 100gpd in series with respective flow restrictions at the waste of each membranes outlet and a membrane flush each. When gas flow passes through restrictors in series, the pressure drops are not evenly distributed. Similar. Flow Restrictors In Series.
From dilutionsolutions.com
Flow Restrictor 14 GPM Dilution Solutions Flow Restrictors In Series Sizing a reverse osmosis flow restrictor correctly is crucial for its optimal functioning. I have just found this formula for putting restrictors in series. Still, it can be confusing to know what size flow restrictor works with your. A flow restrictor may employ multiple orifices in series to increase the total combined restriction. This is caused by the compressibility of. Flow Restrictors In Series.
From valvesandregulators.aquaenvironment.com
Item 796047B, 796 Flow Restrictors On Aqua Environment Co., Inc. Flow Restrictors In Series A flow restrictor may employ multiple orifices in series to increase the total combined restriction. Flow restrictors are spec'ed based upon the flow (of concentrate) they allow in ml per min. I now have 2 x 100gpd in series with respective flow restrictions at the waste of each membranes outlet and a membrane flush each. When gas flow passes through. Flow Restrictors In Series.
From www.theleeco.com
Restrictors in Series The Lee Company Flow Restrictors In Series I now have 2 x 100gpd in series with respective flow restrictions at the waste of each membranes outlet and a membrane flush each. I have just found this formula for putting restrictors in series. It is highly adaptable, low cost, and widely used in controlling liquid and gas flow rates. Sizing a reverse osmosis flow restrictor correctly is crucial. Flow Restrictors In Series.
From www.wecofilters.com
Flow Restrictor, 100 ml/min with 3/8" EZ Push Connectors Flow Restrictors In Series It is highly adaptable, low cost, and widely used in controlling liquid and gas flow rates. Still, it can be confusing to know what size flow restrictor works with your. A flow restrictor may employ multiple orifices in series to increase the total combined restriction. The most basic flow restrictor is a single orifice plate; Assuming for example you're using. Flow Restrictors In Series.
From www.studocu.com
Unit4 types of flow restrictors CHAPTER 5 Flow Control and Flow Restrictors In Series Still, it can be confusing to know what size flow restrictor works with your. It is highly adaptable, low cost, and widely used in controlling liquid and gas flow rates. Sqrt( (diametera^2 * diameterb^2) / (diametera^2+diameterb^2)). Flow restrictors are spec'ed based upon the flow (of concentrate) they allow in ml per min. This is caused by the compressibility of the. Flow Restrictors In Series.
From www.directindustry.com
Orifice flow restrictor RI series THE LEE COMPANY for metal housing Flow Restrictors In Series A flow restrictor may employ multiple orifices in series to increase the total combined restriction. It is highly adaptable, low cost, and widely used in controlling liquid and gas flow rates. Sizing a reverse osmosis flow restrictor correctly is crucial for its optimal functioning. If l 1 is known and is more than 90% of l t, then l 2. Flow Restrictors In Series.
From www.researchgate.net
The pressure drop through a combination of laminar and turbulent flow Flow Restrictors In Series It is highly adaptable, low cost, and widely used in controlling liquid and gas flow rates. Still, it can be confusing to know what size flow restrictor works with your. When gas flow passes through restrictors in series, the pressure drops are not evenly distributed. This is caused by the compressibility of the gas and generally results in higher. The. Flow Restrictors In Series.
From mottcorp.com
Flow Restrictors for Healthcare and Life Sciences Mott Corp Flow Restrictors In Series When gas flow passes through restrictors in series, the pressure drops are not evenly distributed. A flow restrictor may employ multiple orifices in series to increase the total combined restriction. It is highly adaptable, low cost, and widely used in controlling liquid and gas flow rates. Similar to using a capillary tube, a device may. If l 1 is known. Flow Restrictors In Series.
From www.theleeco.com
Restrictors in Series The Lee Company Flow Restrictors In Series Still, it can be confusing to know what size flow restrictor works with your. I now have 2 x 100gpd in series with respective flow restrictions at the waste of each membranes outlet and a membrane flush each. This is caused by the compressibility of the gas and generally results in higher. Flow restrictors are spec'ed based upon the flow. Flow Restrictors In Series.
From mavink.com
Water Flow Restrictor Valve Flow Restrictors In Series Assuming for example you're using a single filmtec membrane, use this calculator. Sqrt( (diametera^2 * diameterb^2) / (diametera^2+diameterb^2)). I now have 2 x 100gpd in series with respective flow restrictions at the waste of each membranes outlet and a membrane flush each. This is caused by the compressibility of the gas and generally results in higher. Sizing a reverse osmosis. Flow Restrictors In Series.
From www.sfckoenig.com
Screened Flow Restrictors, Fluid Quality Control SFC KOENIG Flow Restrictors In Series The most basic flow restrictor is a single orifice plate; It is highly adaptable, low cost, and widely used in controlling liquid and gas flow rates. If l 1 is known and is more than 90% of l t, then l 2 may. When gas flow passes through restrictors in series, the pressure drops are not evenly distributed. Still, it. Flow Restrictors In Series.
From www.savemoneycutcarbon.com
Wondervalve Inline Flow Restrictor 4 Litres Per Minute Flow Rate Flow Restrictors In Series When gas flow passes through restrictors in series, the pressure drops are not evenly distributed. This is caused by the compressibility of the gas and generally results in higher. Assuming for example you're using a single filmtec membrane, use this calculator. I have just found this formula for putting restrictors in series. It is highly adaptable, low cost, and widely. Flow Restrictors In Series.
From www.theleeco.com
Restrictors in Series The Lee Company Flow Restrictors In Series If l 1 is known and is more than 90% of l t, then l 2 may. Similar to using a capillary tube, a device may. I have just found this formula for putting restrictors in series. Assuming for example you're using a single filmtec membrane, use this calculator. Sqrt( (diametera^2 * diameterb^2) / (diametera^2+diameterb^2)). When gas flow passes through. Flow Restrictors In Series.
From www.walmart.com
Flushing Flow Restrictor for 100 GPD with 1/4inch Quick Connect Flow Restrictors In Series Sqrt( (diametera^2 * diameterb^2) / (diametera^2+diameterb^2)). The most basic flow restrictor is a single orifice plate; When gas flow passes through restrictors in series, the pressure drops are not evenly distributed. Sizing a reverse osmosis flow restrictor correctly is crucial for its optimal functioning. If l 1 is known and is more than 90% of l t, then l 2. Flow Restrictors In Series.
From www.savewatersavemoney.co.uk
Restrictaflow Inline 15 mm Flow Restricting Valve Flow Restrictors In Series Still, it can be confusing to know what size flow restrictor works with your. Sqrt( (diametera^2 * diameterb^2) / (diametera^2+diameterb^2)). When gas flow passes through restrictors in series, the pressure drops are not evenly distributed. Sizing a reverse osmosis flow restrictor correctly is crucial for its optimal functioning. Assuming for example you're using a single filmtec membrane, use this calculator.. Flow Restrictors In Series.
From lavatorylab.com
What's a Flow Restrictor in a Shower Head? (And How to Remove It) Flow Restrictors In Series It is highly adaptable, low cost, and widely used in controlling liquid and gas flow rates. Flow restrictors are spec'ed based upon the flow (of concentrate) they allow in ml per min. Sqrt( (diametera^2 * diameterb^2) / (diametera^2+diameterb^2)). Sizing a reverse osmosis flow restrictor correctly is crucial for its optimal functioning. This is caused by the compressibility of the gas. Flow Restrictors In Series.
From www.theleeco.com
Restrictors in Series The Lee Company Flow Restrictors In Series Flow restrictors are spec'ed based upon the flow (of concentrate) they allow in ml per min. The most basic flow restrictor is a single orifice plate; A flow restrictor may employ multiple orifices in series to increase the total combined restriction. Still, it can be confusing to know what size flow restrictor works with your. I have just found this. Flow Restrictors In Series.
From uhplcs.com
Porous Metal Gas Flow Restrictors OEM Factory uHPLCs Flow Restrictors In Series Flow restrictors are spec'ed based upon the flow (of concentrate) they allow in ml per min. This is caused by the compressibility of the gas and generally results in higher. Still, it can be confusing to know what size flow restrictor works with your. I now have 2 x 100gpd in series with respective flow restrictions at the waste of. Flow Restrictors In Series.
From www.velocityscientific.com.au
Flow Restrictors Flow Restrictors In Series Assuming for example you're using a single filmtec membrane, use this calculator. I now have 2 x 100gpd in series with respective flow restrictions at the waste of each membranes outlet and a membrane flush each. Flow restrictors are spec'ed based upon the flow (of concentrate) they allow in ml per min. A flow restrictor may employ multiple orifices in. Flow Restrictors In Series.
From eco365store.com
Neo Water Flow Restrictors (NFR) 7 to 8LPM — ECO365 Flow Restrictors In Series It is highly adaptable, low cost, and widely used in controlling liquid and gas flow rates. The most basic flow restrictor is a single orifice plate; Sizing a reverse osmosis flow restrictor correctly is crucial for its optimal functioning. Still, it can be confusing to know what size flow restrictor works with your. Flow restrictors are spec'ed based upon the. Flow Restrictors In Series.