Florida Dealer Non Delivery Affidavit . The form includes the following details: Below, you will find a list of florida dmv forms sorted by number. Remember that the forms marked with a* must be filled out online and then printed. Notice to surrender motor vehicle/vessel*. The dealer should then contact the owner/lienholder to. Notice or discharge of repossession recovery attempt; This form is used by dealers in florida to indicate that a vehicle was not delivered to the purchaser within the specified time frame. And that the purchaser is licensed and registered as an aircraft, boat, mobile home, motor vehicle, or. Vehicle listed herein will be transported outside florida for resale and for no other purpose; When a dealer is requesting that a florida certificate of title be cancelled because the customer (that the motor vehicle/vessel. The dealer must contact the manufacturer and request a duplicate mco. Use this affidavit when applying for a vehicle title with the florida department of highway safety and motor vehicles, a tax collector, or a private tag.
from www.pdffiller.com
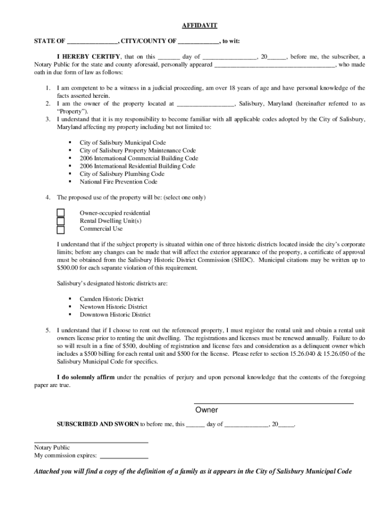
When a dealer is requesting that a florida certificate of title be cancelled because the customer (that the motor vehicle/vessel. Use this affidavit when applying for a vehicle title with the florida department of highway safety and motor vehicles, a tax collector, or a private tag. The dealer should then contact the owner/lienholder to. And that the purchaser is licensed and registered as an aircraft, boat, mobile home, motor vehicle, or. The form includes the following details: Below, you will find a list of florida dmv forms sorted by number. The dealer must contact the manufacturer and request a duplicate mco. Vehicle listed herein will be transported outside florida for resale and for no other purpose; Remember that the forms marked with a* must be filled out online and then printed. Notice to surrender motor vehicle/vessel*.
Fillable Online Title Correction Affidavit Example Florida Dealer
Florida Dealer Non Delivery Affidavit Remember that the forms marked with a* must be filled out online and then printed. Use this affidavit when applying for a vehicle title with the florida department of highway safety and motor vehicles, a tax collector, or a private tag. Remember that the forms marked with a* must be filled out online and then printed. Notice or discharge of repossession recovery attempt; Notice to surrender motor vehicle/vessel*. This form is used by dealers in florida to indicate that a vehicle was not delivered to the purchaser within the specified time frame. The dealer must contact the manufacturer and request a duplicate mco. Vehicle listed herein will be transported outside florida for resale and for no other purpose; The dealer should then contact the owner/lienholder to. And that the purchaser is licensed and registered as an aircraft, boat, mobile home, motor vehicle, or. The form includes the following details: When a dealer is requesting that a florida certificate of title be cancelled because the customer (that the motor vehicle/vessel. Below, you will find a list of florida dmv forms sorted by number.
From www.sampleforms.com
FREE 8+ Affidavit of Identity Forms in PDF Florida Dealer Non Delivery Affidavit Remember that the forms marked with a* must be filled out online and then printed. This form is used by dealers in florida to indicate that a vehicle was not delivered to the purchaser within the specified time frame. Vehicle listed herein will be transported outside florida for resale and for no other purpose; The dealer should then contact the. Florida Dealer Non Delivery Affidavit.
From www.formsbank.com
Affidavit Of NonDealer Transfer Of Motor Vehicles printable pdf download Florida Dealer Non Delivery Affidavit The dealer must contact the manufacturer and request a duplicate mco. The form includes the following details: Notice or discharge of repossession recovery attempt; Use this affidavit when applying for a vehicle title with the florida department of highway safety and motor vehicles, a tax collector, or a private tag. And that the purchaser is licensed and registered as an. Florida Dealer Non Delivery Affidavit.
From www.pdffiller.com
florida affidavit pdf Doc Template pdfFiller Florida Dealer Non Delivery Affidavit And that the purchaser is licensed and registered as an aircraft, boat, mobile home, motor vehicle, or. Vehicle listed herein will be transported outside florida for resale and for no other purpose; Notice to surrender motor vehicle/vessel*. The dealer should then contact the owner/lienholder to. Below, you will find a list of florida dmv forms sorted by number. Notice or. Florida Dealer Non Delivery Affidavit.
From www.pdffiller.com
affidavit delivery Doc Template pdfFiller Florida Dealer Non Delivery Affidavit The form includes the following details: And that the purchaser is licensed and registered as an aircraft, boat, mobile home, motor vehicle, or. Vehicle listed herein will be transported outside florida for resale and for no other purpose; Notice or discharge of repossession recovery attempt; The dealer should then contact the owner/lienholder to. This form is used by dealers in. Florida Dealer Non Delivery Affidavit.
From www.uslegalforms.com
Affidavit Of Non Dealer Transfers Of Motor Vehicles And Boats Form Florida Dealer Non Delivery Affidavit When a dealer is requesting that a florida certificate of title be cancelled because the customer (that the motor vehicle/vessel. The dealer should then contact the owner/lienholder to. Notice or discharge of repossession recovery attempt; The form includes the following details: The dealer must contact the manufacturer and request a duplicate mco. And that the purchaser is licensed and registered. Florida Dealer Non Delivery Affidavit.
From whoamuu.blogspot.com
Affidavit Sample Florida HQ Printable Documents Florida Dealer Non Delivery Affidavit The form includes the following details: Notice or discharge of repossession recovery attempt; Notice to surrender motor vehicle/vessel*. Vehicle listed herein will be transported outside florida for resale and for no other purpose; The dealer must contact the manufacturer and request a duplicate mco. The dealer should then contact the owner/lienholder to. Use this affidavit when applying for a vehicle. Florida Dealer Non Delivery Affidavit.
From www.templateroller.com
Form HSMVBAR1002 Fill Out, Sign Online and Download Printable PDF Florida Dealer Non Delivery Affidavit When a dealer is requesting that a florida certificate of title be cancelled because the customer (that the motor vehicle/vessel. The dealer should then contact the owner/lienholder to. This form is used by dealers in florida to indicate that a vehicle was not delivered to the purchaser within the specified time frame. Below, you will find a list of florida. Florida Dealer Non Delivery Affidavit.
From www.pdffiller.com
Fillable Online AFFIDAVIT OF BROKER/DEALER ACTIVITY Fax Email Print Florida Dealer Non Delivery Affidavit Notice to surrender motor vehicle/vessel*. This form is used by dealers in florida to indicate that a vehicle was not delivered to the purchaser within the specified time frame. The dealer must contact the manufacturer and request a duplicate mco. Notice or discharge of repossession recovery attempt; When a dealer is requesting that a florida certificate of title be cancelled. Florida Dealer Non Delivery Affidavit.
From www.templateroller.com
Florida Affidavit of AttorneyInfact Form Fill Out, Sign Online and Florida Dealer Non Delivery Affidavit This form is used by dealers in florida to indicate that a vehicle was not delivered to the purchaser within the specified time frame. When a dealer is requesting that a florida certificate of title be cancelled because the customer (that the motor vehicle/vessel. Vehicle listed herein will be transported outside florida for resale and for no other purpose; Below,. Florida Dealer Non Delivery Affidavit.
From www.signnow.com
Same Name Affidavit Florida 20132024 Form Fill Out and Sign Florida Dealer Non Delivery Affidavit The dealer must contact the manufacturer and request a duplicate mco. Vehicle listed herein will be transported outside florida for resale and for no other purpose; And that the purchaser is licensed and registered as an aircraft, boat, mobile home, motor vehicle, or. The form includes the following details: Below, you will find a list of florida dmv forms sorted. Florida Dealer Non Delivery Affidavit.
From www.dochub.com
Dmv affidavit form Fill out & sign online DocHub Florida Dealer Non Delivery Affidavit The form includes the following details: And that the purchaser is licensed and registered as an aircraft, boat, mobile home, motor vehicle, or. The dealer must contact the manufacturer and request a duplicate mco. Notice or discharge of repossession recovery attempt; The dealer should then contact the owner/lienholder to. Remember that the forms marked with a* must be filled out. Florida Dealer Non Delivery Affidavit.
From mavink.com
Affidavit Of No Sales Florida Dealer Non Delivery Affidavit The dealer must contact the manufacturer and request a duplicate mco. The dealer should then contact the owner/lienholder to. Notice to surrender motor vehicle/vessel*. This form is used by dealers in florida to indicate that a vehicle was not delivered to the purchaser within the specified time frame. Remember that the forms marked with a* must be filled out online. Florida Dealer Non Delivery Affidavit.
From www.pdffiller.com
Fillable Online Sample Affidavit for NonFood Delivery Fax Email Print Florida Dealer Non Delivery Affidavit The dealer must contact the manufacturer and request a duplicate mco. And that the purchaser is licensed and registered as an aircraft, boat, mobile home, motor vehicle, or. Remember that the forms marked with a* must be filled out online and then printed. Use this affidavit when applying for a vehicle title with the florida department of highway safety and. Florida Dealer Non Delivery Affidavit.
From www.pdffiller.com
Florida Affidavit Of Correction Fill Online, Printable, Fillable Florida Dealer Non Delivery Affidavit And that the purchaser is licensed and registered as an aircraft, boat, mobile home, motor vehicle, or. Vehicle listed herein will be transported outside florida for resale and for no other purpose; The form includes the following details: When a dealer is requesting that a florida certificate of title be cancelled because the customer (that the motor vehicle/vessel. Remember that. Florida Dealer Non Delivery Affidavit.
From mungfali.com
Affidavit Of Sale Of Motor Vehicle Florida Dealer Non Delivery Affidavit The form includes the following details: Notice to surrender motor vehicle/vessel*. Remember that the forms marked with a* must be filled out online and then printed. Notice or discharge of repossession recovery attempt; Vehicle listed herein will be transported outside florida for resale and for no other purpose; When a dealer is requesting that a florida certificate of title be. Florida Dealer Non Delivery Affidavit.
From www.templateroller.com
Form ADVMVA1 Fill Out, Sign Online and Download Printable PDF Florida Dealer Non Delivery Affidavit The dealer should then contact the owner/lienholder to. Vehicle listed herein will be transported outside florida for resale and for no other purpose; Notice or discharge of repossession recovery attempt; Remember that the forms marked with a* must be filled out online and then printed. Below, you will find a list of florida dmv forms sorted by number. The dealer. Florida Dealer Non Delivery Affidavit.
From www.pdffiller.com
Fillable Online Title Correction Affidavit Example Florida Dealer Florida Dealer Non Delivery Affidavit Use this affidavit when applying for a vehicle title with the florida department of highway safety and motor vehicles, a tax collector, or a private tag. Below, you will find a list of florida dmv forms sorted by number. Remember that the forms marked with a* must be filled out online and then printed. When a dealer is requesting that. Florida Dealer Non Delivery Affidavit.
From www.uslegalforms.com
Florida Affidavit Property For Partial Exemption US Legal Forms Florida Dealer Non Delivery Affidavit Notice to surrender motor vehicle/vessel*. Remember that the forms marked with a* must be filled out online and then printed. Vehicle listed herein will be transported outside florida for resale and for no other purpose; This form is used by dealers in florida to indicate that a vehicle was not delivered to the purchaser within the specified time frame. When. Florida Dealer Non Delivery Affidavit.
From www.pdffiller.com
Fillable Online AFFIDAVIT Dealer No Fax Email Print pdfFiller Florida Dealer Non Delivery Affidavit The form includes the following details: And that the purchaser is licensed and registered as an aircraft, boat, mobile home, motor vehicle, or. The dealer should then contact the owner/lienholder to. Vehicle listed herein will be transported outside florida for resale and for no other purpose; Below, you will find a list of florida dmv forms sorted by number. This. Florida Dealer Non Delivery Affidavit.
From www.pdffiller.com
affidavit hand delivery Doc Template pdfFiller Florida Dealer Non Delivery Affidavit When a dealer is requesting that a florida certificate of title be cancelled because the customer (that the motor vehicle/vessel. The form includes the following details: And that the purchaser is licensed and registered as an aircraft, boat, mobile home, motor vehicle, or. Remember that the forms marked with a* must be filled out online and then printed. Notice or. Florida Dealer Non Delivery Affidavit.
From www.pdffiller.com
Name Affidavit of Buyer Florida Doc Template pdfFiller Florida Dealer Non Delivery Affidavit The dealer must contact the manufacturer and request a duplicate mco. Vehicle listed herein will be transported outside florida for resale and for no other purpose; The form includes the following details: The dealer should then contact the owner/lienholder to. Notice to surrender motor vehicle/vessel*. Below, you will find a list of florida dmv forms sorted by number. And that. Florida Dealer Non Delivery Affidavit.
From cocosign.com
Florida Small Estate Affidavit 9 Florida Dealer Non Delivery Affidavit Notice or discharge of repossession recovery attempt; The dealer must contact the manufacturer and request a duplicate mco. And that the purchaser is licensed and registered as an aircraft, boat, mobile home, motor vehicle, or. When a dealer is requesting that a florida certificate of title be cancelled because the customer (that the motor vehicle/vessel. Remember that the forms marked. Florida Dealer Non Delivery Affidavit.
From templates.udlvirtual.edu.pe
Free Florida Affidavit Template Printable Templates Florida Dealer Non Delivery Affidavit The dealer should then contact the owner/lienholder to. Use this affidavit when applying for a vehicle title with the florida department of highway safety and motor vehicles, a tax collector, or a private tag. And that the purchaser is licensed and registered as an aircraft, boat, mobile home, motor vehicle, or. When a dealer is requesting that a florida certificate. Florida Dealer Non Delivery Affidavit.
From dokumen.tips
(PDF) BLANKET AFFIDAVIT FOR PURCHASE OF MOTOR AFFIDAVIT FOR Florida Dealer Non Delivery Affidavit Remember that the forms marked with a* must be filled out online and then printed. Notice or discharge of repossession recovery attempt; The form includes the following details: Below, you will find a list of florida dmv forms sorted by number. Vehicle listed herein will be transported outside florida for resale and for no other purpose; Use this affidavit when. Florida Dealer Non Delivery Affidavit.
From blanker.org
Form HSMV 82996. Application for Motor Vehicle Dealer/Auto Auction or Florida Dealer Non Delivery Affidavit The dealer must contact the manufacturer and request a duplicate mco. Notice or discharge of repossession recovery attempt; Use this affidavit when applying for a vehicle title with the florida department of highway safety and motor vehicles, a tax collector, or a private tag. This form is used by dealers in florida to indicate that a vehicle was not delivered. Florida Dealer Non Delivery Affidavit.
From www.templateroller.com
Form HSMVBAR1001 Fill Out, Sign Online and Download Printable PDF Florida Dealer Non Delivery Affidavit This form is used by dealers in florida to indicate that a vehicle was not delivered to the purchaser within the specified time frame. Use this affidavit when applying for a vehicle title with the florida department of highway safety and motor vehicles, a tax collector, or a private tag. The form includes the following details: Notice to surrender motor. Florida Dealer Non Delivery Affidavit.
From pdfchef.com
Sample of Affidavit Form ๐ Free General Affidavit Template Florida Dealer Non Delivery Affidavit Notice or discharge of repossession recovery attempt; Use this affidavit when applying for a vehicle title with the florida department of highway safety and motor vehicles, a tax collector, or a private tag. The dealer must contact the manufacturer and request a duplicate mco. Below, you will find a list of florida dmv forms sorted by number. When a dealer. Florida Dealer Non Delivery Affidavit.
From fl-dmv-repossession-certificate-form.com
Florida Repo Affidavit The Basics Florida Dealer Non Delivery Affidavit The dealer must contact the manufacturer and request a duplicate mco. When a dealer is requesting that a florida certificate of title be cancelled because the customer (that the motor vehicle/vessel. This form is used by dealers in florida to indicate that a vehicle was not delivered to the purchaser within the specified time frame. Notice or discharge of repossession. Florida Dealer Non Delivery Affidavit.
From www.sampleforms.com
FREE 11+ Vehicle Affidavit Forms in PDF MS Word Florida Dealer Non Delivery Affidavit Notice or discharge of repossession recovery attempt; The form includes the following details: Below, you will find a list of florida dmv forms sorted by number. Notice to surrender motor vehicle/vessel*. The dealer should then contact the owner/lienholder to. The dealer must contact the manufacturer and request a duplicate mco. And that the purchaser is licensed and registered as an. Florida Dealer Non Delivery Affidavit.
From www.templateroller.com
Form HSMV82175 Fill Out, Sign Online and Download Fillable PDF Florida Dealer Non Delivery Affidavit Use this affidavit when applying for a vehicle title with the florida department of highway safety and motor vehicles, a tax collector, or a private tag. Remember that the forms marked with a* must be filled out online and then printed. Below, you will find a list of florida dmv forms sorted by number. And that the purchaser is licensed. Florida Dealer Non Delivery Affidavit.
From dokumen.tips
(PDF) AFFIDAVIT OF DELIVERY Auto Title Express ยท affidavit of Florida Dealer Non Delivery Affidavit The dealer should then contact the owner/lienholder to. The form includes the following details: Notice to surrender motor vehicle/vessel*. Vehicle listed herein will be transported outside florida for resale and for no other purpose; This form is used by dealers in florida to indicate that a vehicle was not delivered to the purchaser within the specified time frame. Remember that. Florida Dealer Non Delivery Affidavit.
From mavink.com
Affidavit Of Transfer Of Ownership Of Vehicle Florida Dealer Non Delivery Affidavit Notice to surrender motor vehicle/vessel*. The dealer should then contact the owner/lienholder to. The dealer must contact the manufacturer and request a duplicate mco. Vehicle listed herein will be transported outside florida for resale and for no other purpose; When a dealer is requesting that a florida certificate of title be cancelled because the customer (that the motor vehicle/vessel. Below,. Florida Dealer Non Delivery Affidavit.
From blanker.org
Form HSMV 82175. Dealer NonDelivery Affidavit Florida Forms Docs Florida Dealer Non Delivery Affidavit The dealer must contact the manufacturer and request a duplicate mco. Use this affidavit when applying for a vehicle title with the florida department of highway safety and motor vehicles, a tax collector, or a private tag. This form is used by dealers in florida to indicate that a vehicle was not delivered to the purchaser within the specified time. Florida Dealer Non Delivery Affidavit.
From www.pdffiller.com
Fillable Online Auto Dealers Affidavit Fax Email Print pdfFiller Florida Dealer Non Delivery Affidavit Notice to surrender motor vehicle/vessel*. The dealer must contact the manufacturer and request a duplicate mco. The form includes the following details: When a dealer is requesting that a florida certificate of title be cancelled because the customer (that the motor vehicle/vessel. Vehicle listed herein will be transported outside florida for resale and for no other purpose; Below, you will. Florida Dealer Non Delivery Affidavit.
From pdfsimpli.com
Florida Affidavit Of Non Identity PDFSimpli Florida Dealer Non Delivery Affidavit The dealer should then contact the owner/lienholder to. When a dealer is requesting that a florida certificate of title be cancelled because the customer (that the motor vehicle/vessel. Notice to surrender motor vehicle/vessel*. The dealer must contact the manufacturer and request a duplicate mco. Vehicle listed herein will be transported outside florida for resale and for no other purpose; Use. Florida Dealer Non Delivery Affidavit.