What Is Capi Program In California . What does capi provide, and how long will it last? Cash assistance program for immigrants (capi) provides cash assistance to certain aged, blind, and disabled legal immigrants ineligible for. What is the cash assistance program for immigrants (capi)? Under the cash assistance program for immigrants (capi), the state of california gives a monthly cash payment to legal immigrants.
from slideplayer.com
Cash assistance program for immigrants (capi) provides cash assistance to certain aged, blind, and disabled legal immigrants ineligible for. What is the cash assistance program for immigrants (capi)? Under the cash assistance program for immigrants (capi), the state of california gives a monthly cash payment to legal immigrants. What does capi provide, and how long will it last?
Overview of CAPI 2011 ppt download
What Is Capi Program In California Under the cash assistance program for immigrants (capi), the state of california gives a monthly cash payment to legal immigrants. Under the cash assistance program for immigrants (capi), the state of california gives a monthly cash payment to legal immigrants. Cash assistance program for immigrants (capi) provides cash assistance to certain aged, blind, and disabled legal immigrants ineligible for. What does capi provide, and how long will it last? What is the cash assistance program for immigrants (capi)?
From www.templateroller.com
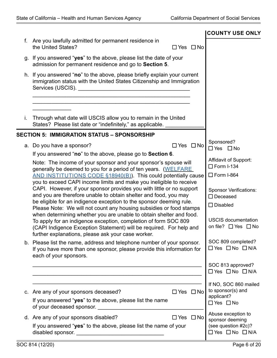
Form SOC814 Download Fillable PDF or Fill Online Statement of Facts Cash Assistance Program for What Is Capi Program In California Cash assistance program for immigrants (capi) provides cash assistance to certain aged, blind, and disabled legal immigrants ineligible for. What is the cash assistance program for immigrants (capi)? What does capi provide, and how long will it last? Under the cash assistance program for immigrants (capi), the state of california gives a monthly cash payment to legal immigrants. What Is Capi Program In California.
From www.templateroller.com
Form SOC813 Fill Out, Sign Online and Download Fillable PDF, California Templateroller What Is Capi Program In California What is the cash assistance program for immigrants (capi)? What does capi provide, and how long will it last? Under the cash assistance program for immigrants (capi), the state of california gives a monthly cash payment to legal immigrants. Cash assistance program for immigrants (capi) provides cash assistance to certain aged, blind, and disabled legal immigrants ineligible for. What Is Capi Program In California.
From www.templateroller.com
Form SOC814 Download Fillable PDF or Fill Online Statement of Facts Cash Assistance Program for What Is Capi Program In California Cash assistance program for immigrants (capi) provides cash assistance to certain aged, blind, and disabled legal immigrants ineligible for. What is the cash assistance program for immigrants (capi)? What does capi provide, and how long will it last? Under the cash assistance program for immigrants (capi), the state of california gives a monthly cash payment to legal immigrants. What Is Capi Program In California.
From www.templateroller.com
Form SOC814 Download Fillable PDF or Fill Online Statement of Facts Cash Assistance Program for What Is Capi Program In California Under the cash assistance program for immigrants (capi), the state of california gives a monthly cash payment to legal immigrants. Cash assistance program for immigrants (capi) provides cash assistance to certain aged, blind, and disabled legal immigrants ineligible for. What is the cash assistance program for immigrants (capi)? What does capi provide, and how long will it last? What Is Capi Program In California.
From www.templateroller.com
Form SOC814 Download Fillable PDF or Fill Online Statement of Facts Cash Assistance Program for What Is Capi Program In California Under the cash assistance program for immigrants (capi), the state of california gives a monthly cash payment to legal immigrants. What is the cash assistance program for immigrants (capi)? Cash assistance program for immigrants (capi) provides cash assistance to certain aged, blind, and disabled legal immigrants ineligible for. What does capi provide, and how long will it last? What Is Capi Program In California.
From www.templateroller.com
Form SOC814 Download Fillable PDF or Fill Online Statement of Facts Cash Assistance Program for What Is Capi Program In California Cash assistance program for immigrants (capi) provides cash assistance to certain aged, blind, and disabled legal immigrants ineligible for. Under the cash assistance program for immigrants (capi), the state of california gives a monthly cash payment to legal immigrants. What is the cash assistance program for immigrants (capi)? What does capi provide, and how long will it last? What Is Capi Program In California.
From www.templateroller.com
Form SOC822 Fill Out, Sign Online and Download Fillable PDF, California Templateroller What Is Capi Program In California What is the cash assistance program for immigrants (capi)? Cash assistance program for immigrants (capi) provides cash assistance to certain aged, blind, and disabled legal immigrants ineligible for. What does capi provide, and how long will it last? Under the cash assistance program for immigrants (capi), the state of california gives a monthly cash payment to legal immigrants. What Is Capi Program In California.
From exopcskft.blob.core.windows.net
What Is Capi Benefits at Crutchfield blog What Is Capi Program In California What is the cash assistance program for immigrants (capi)? Cash assistance program for immigrants (capi) provides cash assistance to certain aged, blind, and disabled legal immigrants ineligible for. What does capi provide, and how long will it last? Under the cash assistance program for immigrants (capi), the state of california gives a monthly cash payment to legal immigrants. What Is Capi Program In California.
From www.behance.net
Cash Assistance Program for Immigrants (CAPI) Brochure Behance What Is Capi Program In California Under the cash assistance program for immigrants (capi), the state of california gives a monthly cash payment to legal immigrants. What does capi provide, and how long will it last? Cash assistance program for immigrants (capi) provides cash assistance to certain aged, blind, and disabled legal immigrants ineligible for. What is the cash assistance program for immigrants (capi)? What Is Capi Program In California.
From themumpreneurshow.com
What Is Capi In Market Research? The Mumpreneur Show What Is Capi Program In California Under the cash assistance program for immigrants (capi), the state of california gives a monthly cash payment to legal immigrants. What is the cash assistance program for immigrants (capi)? What does capi provide, and how long will it last? Cash assistance program for immigrants (capi) provides cash assistance to certain aged, blind, and disabled legal immigrants ineligible for. What Is Capi Program In California.
From www.templateroller.com
Form SOC814 Download Fillable PDF or Fill Online Statement of Facts Cash Assistance Program for What Is Capi Program In California What does capi provide, and how long will it last? What is the cash assistance program for immigrants (capi)? Under the cash assistance program for immigrants (capi), the state of california gives a monthly cash payment to legal immigrants. Cash assistance program for immigrants (capi) provides cash assistance to certain aged, blind, and disabled legal immigrants ineligible for. What Is Capi Program In California.
From www.templateroller.com
Form NA691 Fill Out, Sign Online and Download Fillable PDF, California Templateroller What Is Capi Program In California What is the cash assistance program for immigrants (capi)? Under the cash assistance program for immigrants (capi), the state of california gives a monthly cash payment to legal immigrants. Cash assistance program for immigrants (capi) provides cash assistance to certain aged, blind, and disabled legal immigrants ineligible for. What does capi provide, and how long will it last? What Is Capi Program In California.
From www.templateroller.com
Form SOC814 Download Fillable PDF or Fill Online Statement of Facts Cash Assistance Program for What Is Capi Program In California Cash assistance program for immigrants (capi) provides cash assistance to certain aged, blind, and disabled legal immigrants ineligible for. Under the cash assistance program for immigrants (capi), the state of california gives a monthly cash payment to legal immigrants. What does capi provide, and how long will it last? What is the cash assistance program for immigrants (capi)? What Is Capi Program In California.
From www.templateroller.com
Form SOC814 Fill Out, Sign Online and Download Fillable PDF, California Templateroller What Is Capi Program In California Cash assistance program for immigrants (capi) provides cash assistance to certain aged, blind, and disabled legal immigrants ineligible for. What is the cash assistance program for immigrants (capi)? What does capi provide, and how long will it last? Under the cash assistance program for immigrants (capi), the state of california gives a monthly cash payment to legal immigrants. What Is Capi Program In California.
From www.templateroller.com
Form SOC814 Download Fillable PDF or Fill Online Statement of Facts Cash Assistance Program for What Is Capi Program In California What does capi provide, and how long will it last? Under the cash assistance program for immigrants (capi), the state of california gives a monthly cash payment to legal immigrants. What is the cash assistance program for immigrants (capi)? Cash assistance program for immigrants (capi) provides cash assistance to certain aged, blind, and disabled legal immigrants ineligible for. What Is Capi Program In California.
From myemail.constantcontact.com
THE CAPI CONNECTION CONNEXION ICPA What Is Capi Program In California Under the cash assistance program for immigrants (capi), the state of california gives a monthly cash payment to legal immigrants. Cash assistance program for immigrants (capi) provides cash assistance to certain aged, blind, and disabled legal immigrants ineligible for. What does capi provide, and how long will it last? What is the cash assistance program for immigrants (capi)? What Is Capi Program In California.
From www.templateroller.com
Form SOC453 Fill Out, Sign Online and Download Fillable PDF, California Templateroller What Is Capi Program In California What is the cash assistance program for immigrants (capi)? Under the cash assistance program for immigrants (capi), the state of california gives a monthly cash payment to legal immigrants. What does capi provide, and how long will it last? Cash assistance program for immigrants (capi) provides cash assistance to certain aged, blind, and disabled legal immigrants ineligible for. What Is Capi Program In California.
From www.mariposacounty.org
Cash Assistance Program for Immigrants (CAPI) Mariposa County, CA Official site What Is Capi Program In California What is the cash assistance program for immigrants (capi)? What does capi provide, and how long will it last? Under the cash assistance program for immigrants (capi), the state of california gives a monthly cash payment to legal immigrants. Cash assistance program for immigrants (capi) provides cash assistance to certain aged, blind, and disabled legal immigrants ineligible for. What Is Capi Program In California.
From www.templateroller.com
Form NA693 Download Fillable PDF or Fill Online Notice of Approval Cash Assistance Program for What Is Capi Program In California What does capi provide, and how long will it last? Cash assistance program for immigrants (capi) provides cash assistance to certain aged, blind, and disabled legal immigrants ineligible for. What is the cash assistance program for immigrants (capi)? Under the cash assistance program for immigrants (capi), the state of california gives a monthly cash payment to legal immigrants. What Is Capi Program In California.
From www.templateroller.com
Form SOC809 Fill Out, Sign Online and Download Fillable PDF, California Templateroller What Is Capi Program In California What is the cash assistance program for immigrants (capi)? Cash assistance program for immigrants (capi) provides cash assistance to certain aged, blind, and disabled legal immigrants ineligible for. What does capi provide, and how long will it last? Under the cash assistance program for immigrants (capi), the state of california gives a monthly cash payment to legal immigrants. What Is Capi Program In California.
From www.templateroller.com
Form NA693 Download Fillable PDF or Fill Online Notice of Approval Cash Assistance Program for What Is Capi Program In California What is the cash assistance program for immigrants (capi)? Cash assistance program for immigrants (capi) provides cash assistance to certain aged, blind, and disabled legal immigrants ineligible for. What does capi provide, and how long will it last? Under the cash assistance program for immigrants (capi), the state of california gives a monthly cash payment to legal immigrants. What Is Capi Program In California.
From slideplayer.com
Overview of CAPI 2011 ppt download What Is Capi Program In California What does capi provide, and how long will it last? Under the cash assistance program for immigrants (capi), the state of california gives a monthly cash payment to legal immigrants. What is the cash assistance program for immigrants (capi)? Cash assistance program for immigrants (capi) provides cash assistance to certain aged, blind, and disabled legal immigrants ineligible for. What Is Capi Program In California.
From www.templateroller.com
Form SOC453 Download Fillable PDF or Fill Online Statement of Household Expenses and What Is Capi Program In California What does capi provide, and how long will it last? What is the cash assistance program for immigrants (capi)? Cash assistance program for immigrants (capi) provides cash assistance to certain aged, blind, and disabled legal immigrants ineligible for. Under the cash assistance program for immigrants (capi), the state of california gives a monthly cash payment to legal immigrants. What Is Capi Program In California.
From www.templateroller.com
Form SOC814 Download Fillable PDF or Fill Online Statement of Facts Cash Assistance Program for What Is Capi Program In California What does capi provide, and how long will it last? What is the cash assistance program for immigrants (capi)? Under the cash assistance program for immigrants (capi), the state of california gives a monthly cash payment to legal immigrants. Cash assistance program for immigrants (capi) provides cash assistance to certain aged, blind, and disabled legal immigrants ineligible for. What Is Capi Program In California.
From www.templateroller.com
Form SOC814 Download Fillable PDF or Fill Online Statement of Facts Cash Assistance Program for What Is Capi Program In California Cash assistance program for immigrants (capi) provides cash assistance to certain aged, blind, and disabled legal immigrants ineligible for. What is the cash assistance program for immigrants (capi)? What does capi provide, and how long will it last? Under the cash assistance program for immigrants (capi), the state of california gives a monthly cash payment to legal immigrants. What Is Capi Program In California.
From www.templateroller.com
Form SOC814 Download Fillable PDF or Fill Online Statement of Facts Cash Assistance Program for What Is Capi Program In California What is the cash assistance program for immigrants (capi)? Under the cash assistance program for immigrants (capi), the state of california gives a monthly cash payment to legal immigrants. Cash assistance program for immigrants (capi) provides cash assistance to certain aged, blind, and disabled legal immigrants ineligible for. What does capi provide, and how long will it last? What Is Capi Program In California.
From www.templateroller.com
Form SOC814 Download Fillable PDF or Fill Online Statement of Facts Cash Assistance Program for What Is Capi Program In California What does capi provide, and how long will it last? Cash assistance program for immigrants (capi) provides cash assistance to certain aged, blind, and disabled legal immigrants ineligible for. What is the cash assistance program for immigrants (capi)? Under the cash assistance program for immigrants (capi), the state of california gives a monthly cash payment to legal immigrants. What Is Capi Program In California.
From www.templateroller.com
Form SOC453 Download Fillable PDF or Fill Online Statement of Household Expenses and What Is Capi Program In California Under the cash assistance program for immigrants (capi), the state of california gives a monthly cash payment to legal immigrants. What does capi provide, and how long will it last? Cash assistance program for immigrants (capi) provides cash assistance to certain aged, blind, and disabled legal immigrants ineligible for. What is the cash assistance program for immigrants (capi)? What Is Capi Program In California.
From www.templateroller.com
Form SOC814 Download Fillable PDF or Fill Online Statement of Facts Cash Assistance Program for What Is Capi Program In California Cash assistance program for immigrants (capi) provides cash assistance to certain aged, blind, and disabled legal immigrants ineligible for. Under the cash assistance program for immigrants (capi), the state of california gives a monthly cash payment to legal immigrants. What is the cash assistance program for immigrants (capi)? What does capi provide, and how long will it last? What Is Capi Program In California.
From www.youtube.com
CAPI California’s Assistance Program for Immigrants who are Senior Citizens or have What Is Capi Program In California Cash assistance program for immigrants (capi) provides cash assistance to certain aged, blind, and disabled legal immigrants ineligible for. What does capi provide, and how long will it last? Under the cash assistance program for immigrants (capi), the state of california gives a monthly cash payment to legal immigrants. What is the cash assistance program for immigrants (capi)? What Is Capi Program In California.
From www.templateroller.com
Form SOC452 Fill Out, Sign Online and Download Fillable PDF, California Templateroller What Is Capi Program In California Cash assistance program for immigrants (capi) provides cash assistance to certain aged, blind, and disabled legal immigrants ineligible for. What does capi provide, and how long will it last? Under the cash assistance program for immigrants (capi), the state of california gives a monthly cash payment to legal immigrants. What is the cash assistance program for immigrants (capi)? What Is Capi Program In California.
From www.templateroller.com
Form SOC814 Download Fillable PDF or Fill Online Statement of Facts Cash Assistance Program for What Is Capi Program In California Under the cash assistance program for immigrants (capi), the state of california gives a monthly cash payment to legal immigrants. What is the cash assistance program for immigrants (capi)? What does capi provide, and how long will it last? Cash assistance program for immigrants (capi) provides cash assistance to certain aged, blind, and disabled legal immigrants ineligible for. What Is Capi Program In California.
From www.templateroller.com
Form SOC814 Download Fillable PDF or Fill Online Statement of Facts Cash Assistance Program for What Is Capi Program In California Cash assistance program for immigrants (capi) provides cash assistance to certain aged, blind, and disabled legal immigrants ineligible for. Under the cash assistance program for immigrants (capi), the state of california gives a monthly cash payment to legal immigrants. What does capi provide, and how long will it last? What is the cash assistance program for immigrants (capi)? What Is Capi Program In California.
From www.inlandrc.org
What is CAPI? Virtual Training Inland Regional Center What Is Capi Program In California Cash assistance program for immigrants (capi) provides cash assistance to certain aged, blind, and disabled legal immigrants ineligible for. What does capi provide, and how long will it last? What is the cash assistance program for immigrants (capi)? Under the cash assistance program for immigrants (capi), the state of california gives a monthly cash payment to legal immigrants. What Is Capi Program In California.
From www.templateroller.com
Form SOC814 Download Fillable PDF or Fill Online Statement of Facts Cash Assistance Program for What Is Capi Program In California Under the cash assistance program for immigrants (capi), the state of california gives a monthly cash payment to legal immigrants. What does capi provide, and how long will it last? Cash assistance program for immigrants (capi) provides cash assistance to certain aged, blind, and disabled legal immigrants ineligible for. What is the cash assistance program for immigrants (capi)? What Is Capi Program In California.