Magnesium Iodide In Water . Magnesium iodide is soluble in water and other polar solvents. When dissolved in water, it forms a clear solution. Magnesium iodide is a soluble ionic compound that dissociates completely when dissolved in water to produce magnesium. This web page provides the ionization and appearance energies of magnesium iodide in the gas phase, based on various experimental. Magnesium iodide is an inorganic compound with the chemical formula mg i 2. It is used as a reagent in organic chemistry, a component. Chemical compound from wikipedia, the free encyclopedia. The solubility of magnesium iodide in water. Magnesium iodide is a white crystalline solid that is soluble in water, alcohol and acetone.
from giojyvjap.blob.core.windows.net
When dissolved in water, it forms a clear solution. This web page provides the ionization and appearance energies of magnesium iodide in the gas phase, based on various experimental. It is used as a reagent in organic chemistry, a component. Magnesium iodide is a soluble ionic compound that dissociates completely when dissolved in water to produce magnesium. Magnesium iodide is soluble in water and other polar solvents. Chemical compound from wikipedia, the free encyclopedia. Magnesium iodide is a white crystalline solid that is soluble in water, alcohol and acetone. The solubility of magnesium iodide in water. Magnesium iodide is an inorganic compound with the chemical formula mg i 2.
Magnesium Iodide Followed By Acid Hydrolysis at Helga Kerns blog
Magnesium Iodide In Water When dissolved in water, it forms a clear solution. When dissolved in water, it forms a clear solution. Chemical compound from wikipedia, the free encyclopedia. Magnesium iodide is soluble in water and other polar solvents. Magnesium iodide is a soluble ionic compound that dissociates completely when dissolved in water to produce magnesium. Magnesium iodide is a white crystalline solid that is soluble in water, alcohol and acetone. The solubility of magnesium iodide in water. This web page provides the ionization and appearance energies of magnesium iodide in the gas phase, based on various experimental. Magnesium iodide is an inorganic compound with the chemical formula mg i 2. It is used as a reagent in organic chemistry, a component.
From www.bartleby.com
Answered The compound magnesium iodide, MgI2 is… bartleby Magnesium Iodide In Water It is used as a reagent in organic chemistry, a component. This web page provides the ionization and appearance energies of magnesium iodide in the gas phase, based on various experimental. Magnesium iodide is a white crystalline solid that is soluble in water, alcohol and acetone. Chemical compound from wikipedia, the free encyclopedia. Magnesium iodide is a soluble ionic compound. Magnesium Iodide In Water.
From www.pnnl.gov
Simple Process Extracts Valuable Magnesium Salt from Seawater Feature Magnesium Iodide In Water This web page provides the ionization and appearance energies of magnesium iodide in the gas phase, based on various experimental. It is used as a reagent in organic chemistry, a component. Magnesium iodide is an inorganic compound with the chemical formula mg i 2. Chemical compound from wikipedia, the free encyclopedia. Magnesium iodide is soluble in water and other polar. Magnesium Iodide In Water.
From procure-net.com
Magnesium Iodide 98 Supreme Quality Compound for Organic Synthesis Magnesium Iodide In Water Magnesium iodide is an inorganic compound with the chemical formula mg i 2. Magnesium iodide is soluble in water and other polar solvents. Magnesium iodide is a white crystalline solid that is soluble in water, alcohol and acetone. When dissolved in water, it forms a clear solution. Chemical compound from wikipedia, the free encyclopedia. Magnesium iodide is a soluble ionic. Magnesium Iodide In Water.
From www.youtube.com
Chlorine Water + Sodium Iodide YouTube Magnesium Iodide In Water It is used as a reagent in organic chemistry, a component. Magnesium iodide is a soluble ionic compound that dissociates completely when dissolved in water to produce magnesium. Magnesium iodide is soluble in water and other polar solvents. Magnesium iodide is a white crystalline solid that is soluble in water, alcohol and acetone. This web page provides the ionization and. Magnesium Iodide In Water.
From www.indiamart.com
Magnesium Iodide Anhydrous at best price in Vadodara by Axiom Chemicals Magnesium Iodide In Water It is used as a reagent in organic chemistry, a component. Chemical compound from wikipedia, the free encyclopedia. Magnesium iodide is an inorganic compound with the chemical formula mg i 2. This web page provides the ionization and appearance energies of magnesium iodide in the gas phase, based on various experimental. Magnesium iodide is a soluble ionic compound that dissociates. Magnesium Iodide In Water.
From www.mahaautomation.com
METHYL MAGNESIUM IODIDE 3.0M IN DIETHYL ETHER Magnesium Iodide In Water Magnesium iodide is soluble in water and other polar solvents. It is used as a reagent in organic chemistry, a component. When dissolved in water, it forms a clear solution. Chemical compound from wikipedia, the free encyclopedia. The solubility of magnesium iodide in water. Magnesium iodide is a white crystalline solid that is soluble in water, alcohol and acetone. This. Magnesium Iodide In Water.
From www.pw.live
Magnesium Iodide Formula, Structure And Properties Magnesium Iodide In Water When dissolved in water, it forms a clear solution. Magnesium iodide is an inorganic compound with the chemical formula mg i 2. Magnesium iodide is a soluble ionic compound that dissociates completely when dissolved in water to produce magnesium. The solubility of magnesium iodide in water. Magnesium iodide is soluble in water and other polar solvents. This web page provides. Magnesium Iodide In Water.
From chemcraft.su
Magnesium iodide octahydrate, 99.8 chemcraft.su Magnesium Iodide In Water The solubility of magnesium iodide in water. Magnesium iodide is an inorganic compound with the chemical formula mg i 2. Magnesium iodide is a white crystalline solid that is soluble in water, alcohol and acetone. It is used as a reagent in organic chemistry, a component. Magnesium iodide is a soluble ionic compound that dissociates completely when dissolved in water. Magnesium Iodide In Water.
From molekula.com
Purchase Magnesium iodide anhydrous [10377589] online • Catalog Magnesium Iodide In Water It is used as a reagent in organic chemistry, a component. Magnesium iodide is soluble in water and other polar solvents. This web page provides the ionization and appearance energies of magnesium iodide in the gas phase, based on various experimental. When dissolved in water, it forms a clear solution. Chemical compound from wikipedia, the free encyclopedia. Magnesium iodide is. Magnesium Iodide In Water.
From brainly.in
the volume of the Methane evolved by treatment of 16.6 gram of methyl Magnesium Iodide In Water It is used as a reagent in organic chemistry, a component. Chemical compound from wikipedia, the free encyclopedia. The solubility of magnesium iodide in water. Magnesium iodide is a soluble ionic compound that dissociates completely when dissolved in water to produce magnesium. Magnesium iodide is a white crystalline solid that is soluble in water, alcohol and acetone. Magnesium iodide is. Magnesium Iodide In Water.
From www.youtube.com
Reaction between Magnesium and Water (Mg + H2O) YouTube Magnesium Iodide In Water Magnesium iodide is an inorganic compound with the chemical formula mg i 2. Magnesium iodide is soluble in water and other polar solvents. Chemical compound from wikipedia, the free encyclopedia. The solubility of magnesium iodide in water. Magnesium iodide is a soluble ionic compound that dissociates completely when dissolved in water to produce magnesium. When dissolved in water, it forms. Magnesium Iodide In Water.
From giojyvjap.blob.core.windows.net
Magnesium Iodide Followed By Acid Hydrolysis at Helga Kerns blog Magnesium Iodide In Water When dissolved in water, it forms a clear solution. This web page provides the ionization and appearance energies of magnesium iodide in the gas phase, based on various experimental. Chemical compound from wikipedia, the free encyclopedia. Magnesium iodide is a soluble ionic compound that dissociates completely when dissolved in water to produce magnesium. Magnesium iodide is a white crystalline solid. Magnesium Iodide In Water.
From ar.inspiredpencil.com
Magnesium Cycle Magnesium Iodide In Water This web page provides the ionization and appearance energies of magnesium iodide in the gas phase, based on various experimental. The solubility of magnesium iodide in water. It is used as a reagent in organic chemistry, a component. When dissolved in water, it forms a clear solution. Chemical compound from wikipedia, the free encyclopedia. Magnesium iodide is soluble in water. Magnesium Iodide In Water.
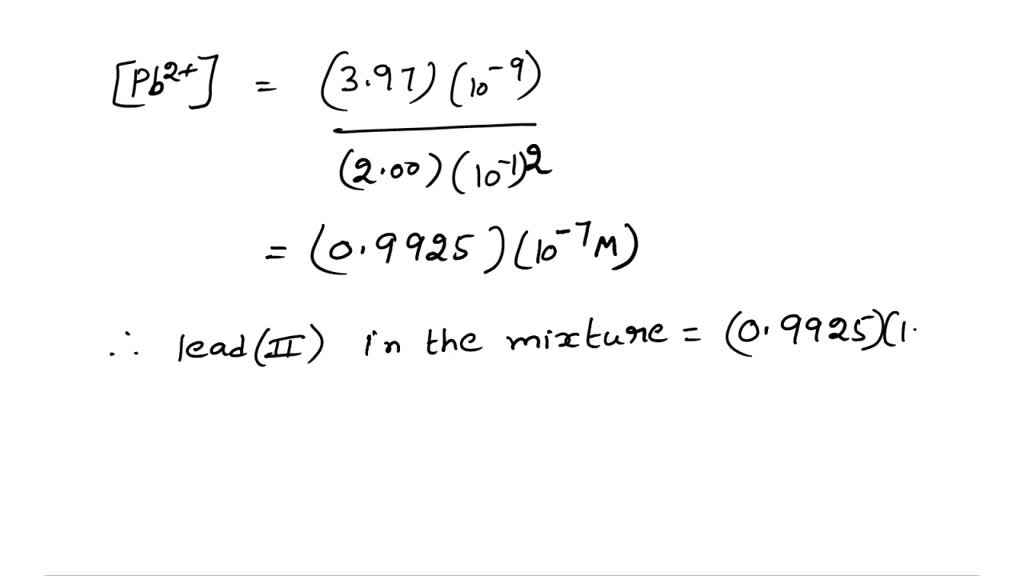
From www.numerade.com
SOLVED a) Iodide ion from magnesium salt is precipitated with lead Magnesium Iodide In Water When dissolved in water, it forms a clear solution. Magnesium iodide is a soluble ionic compound that dissociates completely when dissolved in water to produce magnesium. Magnesium iodide is an inorganic compound with the chemical formula mg i 2. Magnesium iodide is a white crystalline solid that is soluble in water, alcohol and acetone. This web page provides the ionization. Magnesium Iodide In Water.
From www.youtube.com
adding silver nitrate to potasium iodide and water YouTube Magnesium Iodide In Water Magnesium iodide is soluble in water and other polar solvents. Magnesium iodide is an inorganic compound with the chemical formula mg i 2. When dissolved in water, it forms a clear solution. Magnesium iodide is a white crystalline solid that is soluble in water, alcohol and acetone. Magnesium iodide is a soluble ionic compound that dissociates completely when dissolved in. Magnesium Iodide In Water.
From www.doubtnut.com
[Odia] When nbutyl magnesium iodide is treated with water the product Magnesium Iodide In Water Magnesium iodide is an inorganic compound with the chemical formula mg i 2. Magnesium iodide is a white crystalline solid that is soluble in water, alcohol and acetone. The solubility of magnesium iodide in water. Chemical compound from wikipedia, the free encyclopedia. Magnesium iodide is soluble in water and other polar solvents. Magnesium iodide is a soluble ionic compound that. Magnesium Iodide In Water.
From www.alamy.com
MgI2 Magnesium Iodide. Chemical compound. CAS number 10377589 Stock Magnesium Iodide In Water It is used as a reagent in organic chemistry, a component. Chemical compound from wikipedia, the free encyclopedia. When dissolved in water, it forms a clear solution. Magnesium iodide is a white crystalline solid that is soluble in water, alcohol and acetone. Magnesium iodide is an inorganic compound with the chemical formula mg i 2. Magnesium iodide is a soluble. Magnesium Iodide In Water.
From fyozmmqxl.blob.core.windows.net
Magnesium Iodide Water Equation at Ivan Koch blog Magnesium Iodide In Water It is used as a reagent in organic chemistry, a component. When dissolved in water, it forms a clear solution. Magnesium iodide is an inorganic compound with the chemical formula mg i 2. This web page provides the ionization and appearance energies of magnesium iodide in the gas phase, based on various experimental. Magnesium iodide is a white crystalline solid. Magnesium Iodide In Water.
From www.youtube.com
Preparation & Properties of Magnesium iodide YouTube Magnesium Iodide In Water Chemical compound from wikipedia, the free encyclopedia. Magnesium iodide is an inorganic compound with the chemical formula mg i 2. Magnesium iodide is a white crystalline solid that is soluble in water, alcohol and acetone. When dissolved in water, it forms a clear solution. Magnesium iodide is a soluble ionic compound that dissociates completely when dissolved in water to produce. Magnesium Iodide In Water.
From www.youtube.com
Bromine Water + Sodium Iodide YouTube Magnesium Iodide In Water When dissolved in water, it forms a clear solution. Magnesium iodide is a white crystalline solid that is soluble in water, alcohol and acetone. Magnesium iodide is an inorganic compound with the chemical formula mg i 2. It is used as a reagent in organic chemistry, a component. This web page provides the ionization and appearance energies of magnesium iodide. Magnesium Iodide In Water.
From www.eurogentec.com
Propidium iodide, 1.0 mg/mL solution in water 10 ml Magnesium Iodide In Water This web page provides the ionization and appearance energies of magnesium iodide in the gas phase, based on various experimental. Chemical compound from wikipedia, the free encyclopedia. The solubility of magnesium iodide in water. Magnesium iodide is an inorganic compound with the chemical formula mg i 2. When dissolved in water, it forms a clear solution. It is used as. Magnesium Iodide In Water.
From brainly.in
what is the symbol of magnesium iodide Brainly.in Magnesium Iodide In Water When dissolved in water, it forms a clear solution. Magnesium iodide is a white crystalline solid that is soluble in water, alcohol and acetone. Magnesium iodide is an inorganic compound with the chemical formula mg i 2. It is used as a reagent in organic chemistry, a component. Magnesium iodide is soluble in water and other polar solvents. This web. Magnesium Iodide In Water.
From www.youtube.com
a Draw an enthalpy Hesss law cycle to show the dissolving of magnesium Magnesium Iodide In Water It is used as a reagent in organic chemistry, a component. Chemical compound from wikipedia, the free encyclopedia. Magnesium iodide is a soluble ionic compound that dissociates completely when dissolved in water to produce magnesium. Magnesium iodide is a white crystalline solid that is soluble in water, alcohol and acetone. Magnesium iodide is soluble in water and other polar solvents.. Magnesium Iodide In Water.
From www.vedantu.com
The reaction of methyl magnesium iodide with acetone followed by Magnesium Iodide In Water Magnesium iodide is a soluble ionic compound that dissociates completely when dissolved in water to produce magnesium. Magnesium iodide is a white crystalline solid that is soluble in water, alcohol and acetone. Magnesium iodide is soluble in water and other polar solvents. Chemical compound from wikipedia, the free encyclopedia. It is used as a reagent in organic chemistry, a component.. Magnesium Iodide In Water.
From imgbin.com
Magnesium Iodide Chemical Compound Magnesium Deficiency PNG, Clipart Magnesium Iodide In Water The solubility of magnesium iodide in water. Chemical compound from wikipedia, the free encyclopedia. Magnesium iodide is a white crystalline solid that is soluble in water, alcohol and acetone. Magnesium iodide is a soluble ionic compound that dissociates completely when dissolved in water to produce magnesium. When dissolved in water, it forms a clear solution. Magnesium iodide is soluble in. Magnesium Iodide In Water.
From brainly.in
Which of the following compounds gives 2methyl propan2ol by the Magnesium Iodide In Water It is used as a reagent in organic chemistry, a component. Magnesium iodide is a white crystalline solid that is soluble in water, alcohol and acetone. Magnesium iodide is an inorganic compound with the chemical formula mg i 2. This web page provides the ionization and appearance energies of magnesium iodide in the gas phase, based on various experimental. Magnesium. Magnesium Iodide In Water.
From www.youtube.com
Equation for MgI2 + H2O (Magnesium iodide + Water) YouTube Magnesium Iodide In Water It is used as a reagent in organic chemistry, a component. Magnesium iodide is soluble in water and other polar solvents. Magnesium iodide is a white crystalline solid that is soluble in water, alcohol and acetone. This web page provides the ionization and appearance energies of magnesium iodide in the gas phase, based on various experimental. The solubility of magnesium. Magnesium Iodide In Water.
From kunduz.com
[ANSWERED] A 1 628g sample of a hydrate of Magnesium iodide Mgl xH2O Magnesium Iodide In Water Magnesium iodide is an inorganic compound with the chemical formula mg i 2. Chemical compound from wikipedia, the free encyclopedia. Magnesium iodide is a soluble ionic compound that dissociates completely when dissolved in water to produce magnesium. It is used as a reagent in organic chemistry, a component. The solubility of magnesium iodide in water. This web page provides the. Magnesium Iodide In Water.
From www.youtube.com
Equation for Mg(NO3)2 + H2O (Magnesium nitrate + Water) YouTube Magnesium Iodide In Water Magnesium iodide is a white crystalline solid that is soluble in water, alcohol and acetone. The solubility of magnesium iodide in water. This web page provides the ionization and appearance energies of magnesium iodide in the gas phase, based on various experimental. Chemical compound from wikipedia, the free encyclopedia. When dissolved in water, it forms a clear solution. It is. Magnesium Iodide In Water.
From www.ibuychemikals.com
Buy Magnesium Iodide at ibuychemikals online platform for buying and Magnesium Iodide In Water Magnesium iodide is an inorganic compound with the chemical formula mg i 2. When dissolved in water, it forms a clear solution. Chemical compound from wikipedia, the free encyclopedia. It is used as a reagent in organic chemistry, a component. Magnesium iodide is a white crystalline solid that is soluble in water, alcohol and acetone. Magnesium iodide is a soluble. Magnesium Iodide In Water.
From www.indiamart.com
Magnesium Iodide at Rs 59.46 Kandivali West Mumbai ID 24673998630 Magnesium Iodide In Water Magnesium iodide is soluble in water and other polar solvents. This web page provides the ionization and appearance energies of magnesium iodide in the gas phase, based on various experimental. When dissolved in water, it forms a clear solution. Magnesium iodide is a white crystalline solid that is soluble in water, alcohol and acetone. Magnesium iodide is a soluble ionic. Magnesium Iodide In Water.
From www.youtube.com
How to Balance Mg + I2 = MgI2 (Magnesium + Iodine gas) YouTube Magnesium Iodide In Water Chemical compound from wikipedia, the free encyclopedia. Magnesium iodide is a white crystalline solid that is soluble in water, alcohol and acetone. Magnesium iodide is soluble in water and other polar solvents. The solubility of magnesium iodide in water. When dissolved in water, it forms a clear solution. It is used as a reagent in organic chemistry, a component. This. Magnesium Iodide In Water.
From fyozmmqxl.blob.core.windows.net
Magnesium Iodide Water Equation at Ivan Koch blog Magnesium Iodide In Water Magnesium iodide is soluble in water and other polar solvents. Chemical compound from wikipedia, the free encyclopedia. Magnesium iodide is a soluble ionic compound that dissociates completely when dissolved in water to produce magnesium. The solubility of magnesium iodide in water. It is used as a reagent in organic chemistry, a component. This web page provides the ionization and appearance. Magnesium Iodide In Water.
From wiringfixbugatti.z19.web.core.windows.net
Magnesium And Iodide Electron Dot Diagram Magnesium Iodide In Water This web page provides the ionization and appearance energies of magnesium iodide in the gas phase, based on various experimental. The solubility of magnesium iodide in water. When dissolved in water, it forms a clear solution. Magnesium iodide is a soluble ionic compound that dissociates completely when dissolved in water to produce magnesium. Magnesium iodide is a white crystalline solid. Magnesium Iodide In Water.
From www.researchgate.net
(PDF) PoreWater Geochemical Gradients of Sulfate, Calcium, Magnesium Magnesium Iodide In Water It is used as a reagent in organic chemistry, a component. Magnesium iodide is a white crystalline solid that is soluble in water, alcohol and acetone. The solubility of magnesium iodide in water. Chemical compound from wikipedia, the free encyclopedia. When dissolved in water, it forms a clear solution. Magnesium iodide is a soluble ionic compound that dissociates completely when. Magnesium Iodide In Water.