Product Of Linear Factors Example . Write p (x) = x 3 − 4 x 2 + 8 as a product of its linear factors given that 2 is a. Linear factors are the individual terms that, when multiplied together, make up a polynomial expression. Factorizing algebraic expressions is a way of turning a sum of terms into a product of smaller ones. Note that linear factors correspond to zeros of a polynomial. F (x) = x3 + 4x2 −5x − 14. The process of factoring a. Factorising a polynomial combines the factor theorem with the method of polynomial division. I have a polynomial $h=t^5+6t^4+6t^3+t+2$ in ring $\mathbb{f_7}[t]$. Find polynomial functions that model given criteria. Write polynomial functions as a product of linear factors. Use descartes’ rule of signs. The goal is to break down a polynomial as far as. I should write it as a product of linear factors. Explicitly, (x − a) is a.
from study.com
I should write it as a product of linear factors. Find polynomial functions that model given criteria. Use descartes’ rule of signs. The goal is to break down a polynomial as far as. Linear factors are the individual terms that, when multiplied together, make up a polynomial expression. I have a polynomial $h=t^5+6t^4+6t^3+t+2$ in ring $\mathbb{f_7}[t]$. Write p (x) = x 3 − 4 x 2 + 8 as a product of its linear factors given that 2 is a. The process of factoring a. Write polynomial functions as a product of linear factors. F (x) = x3 + 4x2 −5x − 14.
Using a Given Real Zero to Write a Polynomial as a Product of Linear
Product Of Linear Factors Example Write p (x) = x 3 − 4 x 2 + 8 as a product of its linear factors given that 2 is a. The process of factoring a. Factorizing algebraic expressions is a way of turning a sum of terms into a product of smaller ones. Find polynomial functions that model given criteria. Linear factors are the individual terms that, when multiplied together, make up a polynomial expression. Write polynomial functions as a product of linear factors. Use descartes’ rule of signs. Explicitly, (x − a) is a. I have a polynomial $h=t^5+6t^4+6t^3+t+2$ in ring $\mathbb{f_7}[t]$. Factorising a polynomial combines the factor theorem with the method of polynomial division. The goal is to break down a polynomial as far as. Write p (x) = x 3 − 4 x 2 + 8 as a product of its linear factors given that 2 is a. Note that linear factors correspond to zeros of a polynomial. I should write it as a product of linear factors. F (x) = x3 + 4x2 −5x − 14.
From www.slideserve.com
PPT 6.2 Polynomials and Linear Factors PowerPoint Presentation, free Product Of Linear Factors Example The process of factoring a. Explicitly, (x − a) is a. The goal is to break down a polynomial as far as. F (x) = x3 + 4x2 −5x − 14. Factorising a polynomial combines the factor theorem with the method of polynomial division. I should write it as a product of linear factors. Factorizing algebraic expressions is a way. Product Of Linear Factors Example.
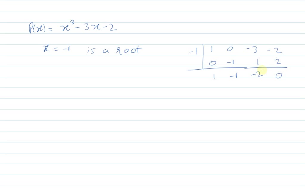
From www.youtube.com
Write the polynomial as a product of linear factors (Sect. 2.5, example Product Of Linear Factors Example Factorising a polynomial combines the factor theorem with the method of polynomial division. Find polynomial functions that model given criteria. The goal is to break down a polynomial as far as. I have a polynomial $h=t^5+6t^4+6t^3+t+2$ in ring $\mathbb{f_7}[t]$. Factorizing algebraic expressions is a way of turning a sum of terms into a product of smaller ones. Use descartes’ rule. Product Of Linear Factors Example.
From study.com
Using a Given Real Zero to Write a Polynomial as a Product of Linear Product Of Linear Factors Example Write p (x) = x 3 − 4 x 2 + 8 as a product of its linear factors given that 2 is a. Linear factors are the individual terms that, when multiplied together, make up a polynomial expression. The goal is to break down a polynomial as far as. F (x) = x3 + 4x2 −5x − 14. Note. Product Of Linear Factors Example.
From www.slideserve.com
PPT 24 Zeros of a Polynomial Function PowerPoint Presentation, free Product Of Linear Factors Example Use descartes’ rule of signs. The goal is to break down a polynomial as far as. The process of factoring a. I have a polynomial $h=t^5+6t^4+6t^3+t+2$ in ring $\mathbb{f_7}[t]$. Factorizing algebraic expressions is a way of turning a sum of terms into a product of smaller ones. Note that linear factors correspond to zeros of a polynomial. Write p (x). Product Of Linear Factors Example.
From www.youtube.com
Write the Polynomial as a Product of Linear Factors and Find the Zeros Product Of Linear Factors Example Factorizing algebraic expressions is a way of turning a sum of terms into a product of smaller ones. Linear factors are the individual terms that, when multiplied together, make up a polynomial expression. Write polynomial functions as a product of linear factors. I should write it as a product of linear factors. Use descartes’ rule of signs. F (x) =. Product Of Linear Factors Example.
From www.numerade.com
Write the polynomial as the product of linear fac… Product Of Linear Factors Example I have a polynomial $h=t^5+6t^4+6t^3+t+2$ in ring $\mathbb{f_7}[t]$. Use descartes’ rule of signs. Explicitly, (x − a) is a. Find polynomial functions that model given criteria. Write p (x) = x 3 − 4 x 2 + 8 as a product of its linear factors given that 2 is a. Factorizing algebraic expressions is a way of turning a sum. Product Of Linear Factors Example.
From www.slideserve.com
PPT Polynomials and Linear Factors PowerPoint Presentation, free Product Of Linear Factors Example I should write it as a product of linear factors. The process of factoring a. Note that linear factors correspond to zeros of a polynomial. Explicitly, (x − a) is a. Factorising a polynomial combines the factor theorem with the method of polynomial division. Linear factors are the individual terms that, when multiplied together, make up a polynomial expression. Find. Product Of Linear Factors Example.
From www.youtube.com
Linear Factors College Algebra YouTube Product Of Linear Factors Example Factorising a polynomial combines the factor theorem with the method of polynomial division. Factorizing algebraic expressions is a way of turning a sum of terms into a product of smaller ones. I should write it as a product of linear factors. Find polynomial functions that model given criteria. Use descartes’ rule of signs. Write p (x) = x 3 −. Product Of Linear Factors Example.
From www.youtube.com
Factoring using polynomial division Algebra 2 Khan Academy YouTube Product Of Linear Factors Example Factorizing algebraic expressions is a way of turning a sum of terms into a product of smaller ones. The goal is to break down a polynomial as far as. F (x) = x3 + 4x2 −5x − 14. I have a polynomial $h=t^5+6t^4+6t^3+t+2$ in ring $\mathbb{f_7}[t]$. Find polynomial functions that model given criteria. Write polynomial functions as a product of. Product Of Linear Factors Example.
From www.chegg.com
Algebra Archive August 01, 2017 Product Of Linear Factors Example F (x) = x3 + 4x2 −5x − 14. The process of factoring a. Note that linear factors correspond to zeros of a polynomial. Write polynomial functions as a product of linear factors. I should write it as a product of linear factors. Factorizing algebraic expressions is a way of turning a sum of terms into a product of smaller. Product Of Linear Factors Example.
From www.youtube.com
Use the Linear Factorization Theorem to Find Polynomials with Given Product Of Linear Factors Example I should write it as a product of linear factors. Factorising a polynomial combines the factor theorem with the method of polynomial division. Factorizing algebraic expressions is a way of turning a sum of terms into a product of smaller ones. Find polynomial functions that model given criteria. Write polynomial functions as a product of linear factors. The process of. Product Of Linear Factors Example.
From www.chegg.com
Solved (1 point) Every polynomial with complex coefficients Product Of Linear Factors Example I should write it as a product of linear factors. Factorizing algebraic expressions is a way of turning a sum of terms into a product of smaller ones. Use descartes’ rule of signs. Write polynomial functions as a product of linear factors. Explicitly, (x − a) is a. I have a polynomial $h=t^5+6t^4+6t^3+t+2$ in ring $\mathbb{f_7}[t]$. F (x) = x3. Product Of Linear Factors Example.
From www.youtube.com
Using a Given Zero to Write a Polynomial as a Product of Linear Factors Product Of Linear Factors Example Linear factors are the individual terms that, when multiplied together, make up a polynomial expression. F (x) = x3 + 4x2 −5x − 14. Note that linear factors correspond to zeros of a polynomial. Factorizing algebraic expressions is a way of turning a sum of terms into a product of smaller ones. Use descartes’ rule of signs. Write polynomial functions. Product Of Linear Factors Example.
From www.youtube.com
Factoring Polynomials into a Product of Linear Factors YouTube Product Of Linear Factors Example Explicitly, (x − a) is a. Find polynomial functions that model given criteria. Factorizing algebraic expressions is a way of turning a sum of terms into a product of smaller ones. Write p (x) = x 3 − 4 x 2 + 8 as a product of its linear factors given that 2 is a. I should write it as. Product Of Linear Factors Example.
From www.youtube.com
Using a given zero to write a polynomial as a product of linear factors Product Of Linear Factors Example The process of factoring a. I should write it as a product of linear factors. Factorizing algebraic expressions is a way of turning a sum of terms into a product of smaller ones. Find polynomial functions that model given criteria. F (x) = x3 + 4x2 −5x − 14. Explicitly, (x − a) is a. I have a polynomial $h=t^5+6t^4+6t^3+t+2$. Product Of Linear Factors Example.
From printablelibraleigh.z21.web.core.windows.net
Factoring Of A Linear Equation Product Of Linear Factors Example F (x) = x3 + 4x2 −5x − 14. Explicitly, (x − a) is a. Write polynomial functions as a product of linear factors. Find polynomial functions that model given criteria. Note that linear factors correspond to zeros of a polynomial. Factorising a polynomial combines the factor theorem with the method of polynomial division. I should write it as a. Product Of Linear Factors Example.
From www.youtube.com
Ex 1 Write a Degree 3 Polynomial Function as a Product of Linear Product Of Linear Factors Example Note that linear factors correspond to zeros of a polynomial. Linear factors are the individual terms that, when multiplied together, make up a polynomial expression. F (x) = x3 + 4x2 −5x − 14. Factorising a polynomial combines the factor theorem with the method of polynomial division. Write p (x) = x 3 − 4 x 2 + 8 as. Product Of Linear Factors Example.
From www.youtube.com
Using a given zero to write a polynomial as a product of linear factors Product Of Linear Factors Example Find polynomial functions that model given criteria. Write polynomial functions as a product of linear factors. I have a polynomial $h=t^5+6t^4+6t^3+t+2$ in ring $\mathbb{f_7}[t]$. I should write it as a product of linear factors. Use descartes’ rule of signs. Factorising a polynomial combines the factor theorem with the method of polynomial division. F (x) = x3 + 4x2 −5x −. Product Of Linear Factors Example.
From www.youtube.com
Using a given zero to write a polynomial as a product of linear factors Product Of Linear Factors Example Note that linear factors correspond to zeros of a polynomial. The goal is to break down a polynomial as far as. Write p (x) = x 3 − 4 x 2 + 8 as a product of its linear factors given that 2 is a. Write polynomial functions as a product of linear factors. Use descartes’ rule of signs. I. Product Of Linear Factors Example.
From www.slideserve.com
PPT WarmUp 2/26 PowerPoint Presentation, free download ID2730906 Product Of Linear Factors Example I have a polynomial $h=t^5+6t^4+6t^3+t+2$ in ring $\mathbb{f_7}[t]$. Note that linear factors correspond to zeros of a polynomial. Use descartes’ rule of signs. F (x) = x3 + 4x2 −5x − 14. Linear factors are the individual terms that, when multiplied together, make up a polynomial expression. Write polynomial functions as a product of linear factors. Write p (x) =. Product Of Linear Factors Example.
From www.chegg.com
Solved Write the polynomial as a product of linear factors. Product Of Linear Factors Example Write polynomial functions as a product of linear factors. Factorizing algebraic expressions is a way of turning a sum of terms into a product of smaller ones. Factorising a polynomial combines the factor theorem with the method of polynomial division. Note that linear factors correspond to zeros of a polynomial. I should write it as a product of linear factors.. Product Of Linear Factors Example.
From www.numerade.com
Write the polynomial as the product of linear fac… Product Of Linear Factors Example F (x) = x3 + 4x2 −5x − 14. Note that linear factors correspond to zeros of a polynomial. Factorizing algebraic expressions is a way of turning a sum of terms into a product of smaller ones. Use descartes’ rule of signs. I should write it as a product of linear factors. Linear factors are the individual terms that, when. Product Of Linear Factors Example.
From www.youtube.com
Using a given zero to write a polynomial as a product of linear factors Product Of Linear Factors Example F (x) = x3 + 4x2 −5x − 14. Note that linear factors correspond to zeros of a polynomial. The process of factoring a. I should write it as a product of linear factors. Linear factors are the individual terms that, when multiplied together, make up a polynomial expression. Factorising a polynomial combines the factor theorem with the method of. Product Of Linear Factors Example.
From study.com
Using a Given Zero to Write a Polynomial that has Complex Zeros as a Product Of Linear Factors Example Write polynomial functions as a product of linear factors. I should write it as a product of linear factors. Factorizing algebraic expressions is a way of turning a sum of terms into a product of smaller ones. Use descartes’ rule of signs. Write p (x) = x 3 − 4 x 2 + 8 as a product of its linear. Product Of Linear Factors Example.
From slideplayer.com
The Fundamental Theorem of Algebra (Section 25) ppt download Product Of Linear Factors Example Factorizing algebraic expressions is a way of turning a sum of terms into a product of smaller ones. Write p (x) = x 3 − 4 x 2 + 8 as a product of its linear factors given that 2 is a. The goal is to break down a polynomial as far as. Explicitly, (x − a) is a. F. Product Of Linear Factors Example.
From www.youtube.com
ALEKS Polynomial as a Product of Linear Factors (Precalc) YouTube Product Of Linear Factors Example Explicitly, (x − a) is a. F (x) = x3 + 4x2 −5x − 14. I should write it as a product of linear factors. The process of factoring a. Factorising a polynomial combines the factor theorem with the method of polynomial division. Note that linear factors correspond to zeros of a polynomial. Linear factors are the individual terms that,. Product Of Linear Factors Example.
From www.showme.com
Linear factors of polynomials Math, Algebra 2 ShowMe Product Of Linear Factors Example The goal is to break down a polynomial as far as. Write polynomial functions as a product of linear factors. The process of factoring a. Note that linear factors correspond to zeros of a polynomial. Factorising a polynomial combines the factor theorem with the method of polynomial division. Factorizing algebraic expressions is a way of turning a sum of terms. Product Of Linear Factors Example.
From socratic.org
How do you write the polynomial p(x)=6x^3+13x^24 as a product of Product Of Linear Factors Example Explicitly, (x − a) is a. Write p (x) = x 3 − 4 x 2 + 8 as a product of its linear factors given that 2 is a. Find polynomial functions that model given criteria. The process of factoring a. The goal is to break down a polynomial as far as. Use descartes’ rule of signs. F (x). Product Of Linear Factors Example.
From www.youtube.com
16 08 Using a given zero to write a polynomial as a product of linear Product Of Linear Factors Example The process of factoring a. Factorizing algebraic expressions is a way of turning a sum of terms into a product of smaller ones. I have a polynomial $h=t^5+6t^4+6t^3+t+2$ in ring $\mathbb{f_7}[t]$. I should write it as a product of linear factors. Write p (x) = x 3 − 4 x 2 + 8 as a product of its linear factors. Product Of Linear Factors Example.
From brainly.com
Write the polynomial as a product of linear factors I put a picture Product Of Linear Factors Example Write p (x) = x 3 − 4 x 2 + 8 as a product of its linear factors given that 2 is a. Explicitly, (x − a) is a. Factorizing algebraic expressions is a way of turning a sum of terms into a product of smaller ones. Use descartes’ rule of signs. I should write it as a product. Product Of Linear Factors Example.
From www.showme.com
Linear factorization of polynomials Math, Precalculus, Polynomial and Product Of Linear Factors Example The goal is to break down a polynomial as far as. Linear factors are the individual terms that, when multiplied together, make up a polynomial expression. Factorizing algebraic expressions is a way of turning a sum of terms into a product of smaller ones. I should write it as a product of linear factors. Note that linear factors correspond to. Product Of Linear Factors Example.
From www.chegg.com
Solved Write the polynomial as the product of linear Product Of Linear Factors Example The goal is to break down a polynomial as far as. Find polynomial functions that model given criteria. Note that linear factors correspond to zeros of a polynomial. Factorizing algebraic expressions is a way of turning a sum of terms into a product of smaller ones. Explicitly, (x − a) is a. Use descartes’ rule of signs. Write p (x). Product Of Linear Factors Example.
From brainly.com
Express the polynomial as a product of linear factors. f(x) = 2x2 + 4x2 Product Of Linear Factors Example Write polynomial functions as a product of linear factors. Factorising a polynomial combines the factor theorem with the method of polynomial division. I should write it as a product of linear factors. F (x) = x3 + 4x2 −5x − 14. The goal is to break down a polynomial as far as. Find polynomial functions that model given criteria. Linear. Product Of Linear Factors Example.
From www.youtube.com
Factor a polynomial into linear factors given one zero YouTube Product Of Linear Factors Example I have a polynomial $h=t^5+6t^4+6t^3+t+2$ in ring $\mathbb{f_7}[t]$. Factorizing algebraic expressions is a way of turning a sum of terms into a product of smaller ones. I should write it as a product of linear factors. Write p (x) = x 3 − 4 x 2 + 8 as a product of its linear factors given that 2 is a.. Product Of Linear Factors Example.
From www.youtube.com
Expression of the Polynomial P ( z ) as a Product of Linear Factors Product Of Linear Factors Example Note that linear factors correspond to zeros of a polynomial. F (x) = x3 + 4x2 −5x − 14. Linear factors are the individual terms that, when multiplied together, make up a polynomial expression. The goal is to break down a polynomial as far as. Explicitly, (x − a) is a. The process of factoring a. I should write it. Product Of Linear Factors Example.