Two Rods Oa And Ob Of Equal Length . Let $i_{x}$ , $i_{y}$ and $i_{z}$ be the moment of. Two rods $oa$ and $ob$ of equal length and mass are lying on $xy$ plane as shown in the figure. Let ix , iy and iz be the moments of inertia of the the. From the above above question, two rods oa and ob of equal length and mass are lying on the xy plane. The correct answerwill be d ix=iy<<strong>iz</strong>. Two rods oa and ob of equal length and mass are lying on xy plane as shown in figure. Two rods oa and ob of equal length and mass are lying on xy plane as shown in figure. Two rods oa and ob of equal length and mass are lying on xy plane as shown in figure. Let i x , i y and i z be the moment of inertias of both the rods. Let `i_(x),i_(y)` and `i_(z)` be the moment of inertia of both the rods bout x,y and z axis respectively. Two rods o a and o b of equal length and mass are lying on x y plane as shown in the figure. Let { i }_ { x }, { i }_ { y } and { i }_ { z } be the moment of inertia of. Two rods oa and ob of equal length and mass are lying on xy plane as shown in figure. Let i(x),i(y) and i(z) be the moment of inertia of both the rods bout x,
from www.chegg.com
Let i x , i y and i z be the moment of inertias of both the rods. Two rods o a and o b of equal length and mass are lying on x y plane as shown in the figure. Two rods oa and ob of equal length and mass are lying on xy plane as shown in figure. Let { i }_ { x }, { i }_ { y } and { i }_ { z } be the moment of inertia of. Two rods oa and ob of equal length and mass are lying on xy plane as shown in figure. Two rods oa and ob of equal length and mass are lying on xy plane as shown in figure. Two rods oa and ob of equal length and mass are lying on xy plane as shown in figure. The correct answerwill be d ix=iy<<strong>iz</strong>. Let `i_(x),i_(y)` and `i_(z)` be the moment of inertia of both the rods bout x,y and z axis respectively. Let $i_{x}$ , $i_{y}$ and $i_{z}$ be the moment of.
Solved The Tbar consists of two thin rods, OA and BD, each
Two Rods Oa And Ob Of Equal Length Two rods oa and ob of equal length and mass are lying on xy plane as shown in figure. From the above above question, two rods oa and ob of equal length and mass are lying on the xy plane. Let i(x),i(y) and i(z) be the moment of inertia of both the rods bout x, Two rods o a and o b of equal length and mass are lying on x y plane as shown in the figure. Two rods oa and ob of equal length and mass are lying on xy plane as shown in figure. The correct answerwill be d ix=iy<<strong>iz</strong>. Let `i_(x),i_(y)` and `i_(z)` be the moment of inertia of both the rods bout x,y and z axis respectively. Two rods oa and ob of equal length and mass are lying on xy plane as shown in figure. Let i x , i y and i z be the moment of inertias of both the rods. Let { i }_ { x }, { i }_ { y } and { i }_ { z } be the moment of inertia of. Two rods oa and ob of equal length and mass are lying on xy plane as shown in figure. Two rods oa and ob of equal length and mass are lying on xy plane as shown in figure. Let $i_{x}$ , $i_{y}$ and $i_{z}$ be the moment of. Let ix , iy and iz be the moments of inertia of the the. Two rods $oa$ and $ob$ of equal length and mass are lying on $xy$ plane as shown in the figure.
From www.doubtnut.com
Two inclined planes OA and OB having inclination (with horizontal) 30^ Two Rods Oa And Ob Of Equal Length Two rods oa and ob of equal length and mass are lying on xy plane as shown in figure. The correct answerwill be d ix=iy<<strong>iz</strong>. From the above above question, two rods oa and ob of equal length and mass are lying on the xy plane. Let `i_(x),i_(y)` and `i_(z)` be the moment of inertia of both the rods bout. Two Rods Oa And Ob Of Equal Length.
From www.doubtnut.com
Two identical unifrom rods OA and OB each of length l and mass m are c Two Rods Oa And Ob Of Equal Length Let i(x),i(y) and i(z) be the moment of inertia of both the rods bout x, Two rods oa and ob of equal length and mass are lying on xy plane as shown in figure. Let $i_{x}$ , $i_{y}$ and $i_{z}$ be the moment of. The correct answerwill be d ix=iy<<strong>iz</strong>. Let ix , iy and iz be the moments of. Two Rods Oa And Ob Of Equal Length.
From www.numerade.com
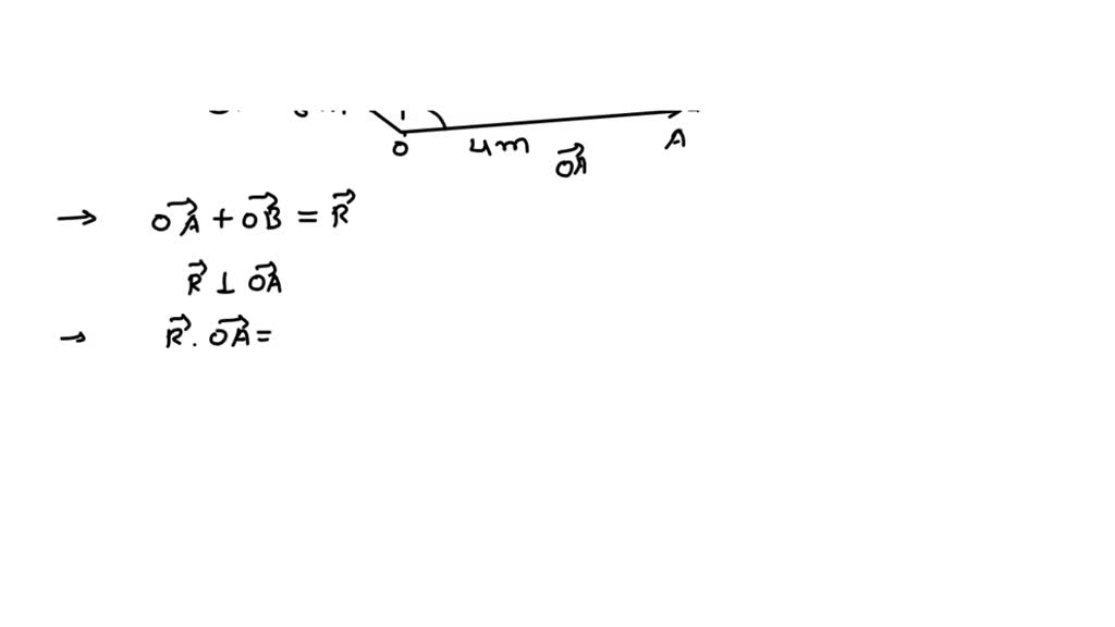
SOLVED The resultant of vectors OA and OB is perpendicular to OA as Two Rods Oa And Ob Of Equal Length Let ix , iy and iz be the moments of inertia of the the. From the above above question, two rods oa and ob of equal length and mass are lying on the xy plane. Let i x , i y and i z be the moment of inertias of both the rods. Let { i }_ { x },. Two Rods Oa And Ob Of Equal Length.
From www.chegg.com
Solved The Tbar consists of two thin rods, OA and BD, each Two Rods Oa And Ob Of Equal Length Let i x , i y and i z be the moment of inertias of both the rods. Two rods oa and ob of equal length and mass are lying on xy plane as shown in figure. Let i(x),i(y) and i(z) be the moment of inertia of both the rods bout x, Let $i_{x}$ , $i_{y}$ and $i_{z}$ be the. Two Rods Oa And Ob Of Equal Length.
From www.doubtnut.com
Two uniform rods of equal length but different masses are rigidly Two Rods Oa And Ob Of Equal Length Let $i_{x}$ , $i_{y}$ and $i_{z}$ be the moment of. The correct answerwill be d ix=iy<<strong>iz</strong>. Two rods o a and o b of equal length and mass are lying on x y plane as shown in the figure. Two rods oa and ob of equal length and mass are lying on xy plane as shown in figure. Let i. Two Rods Oa And Ob Of Equal Length.
From askfilo.com
SECTIONA 1. Two thin rods OA and OB of equal length (I) and mass (m) are.. Two Rods Oa And Ob Of Equal Length Two rods $oa$ and $ob$ of equal length and mass are lying on $xy$ plane as shown in the figure. Two rods oa and ob of equal length and mass are lying on xy plane as shown in figure. Let i(x),i(y) and i(z) be the moment of inertia of both the rods bout x, From the above above question, two. Two Rods Oa And Ob Of Equal Length.
From www.chegg.com
Solved Two rods of equal area of 2cm2 and equal length of 2m Two Rods Oa And Ob Of Equal Length Let i(x),i(y) and i(z) be the moment of inertia of both the rods bout x, Two rods oa and ob of equal length and mass are lying on xy plane as shown in figure. Two rods $oa$ and $ob$ of equal length and mass are lying on $xy$ plane as shown in the figure. Let ix , iy and iz. Two Rods Oa And Ob Of Equal Length.
From www.doubtnut.com
Two rods OA and OB of equal length and mass are lying on xy plane as s Two Rods Oa And Ob Of Equal Length Two rods oa and ob of equal length and mass are lying on xy plane as shown in figure. The correct answerwill be d ix=iy<<strong>iz</strong>. Two rods oa and ob of equal length and mass are lying on xy plane as shown in figure. Two rods $oa$ and $ob$ of equal length and mass are lying on $xy$ plane as. Two Rods Oa And Ob Of Equal Length.
From www.chegg.com
(15 pts) Two rods OA and PC, of length a and 2a, and Two Rods Oa And Ob Of Equal Length Let i(x),i(y) and i(z) be the moment of inertia of both the rods bout x, Let i x , i y and i z be the moment of inertias of both the rods. Two rods oa and ob of equal length and mass are lying on xy plane as shown in figure. The correct answerwill be d ix=iy<<strong>iz</strong>. Let `i_(x),i_(y)`. Two Rods Oa And Ob Of Equal Length.
From www.chegg.com
Solved Two rods OA and AB with the mass m each are connected Two Rods Oa And Ob Of Equal Length Two rods oa and ob of equal length and mass are lying on xy plane as shown in figure. Two rods oa and ob of equal length and mass are lying on xy plane as shown in figure. Two rods $oa$ and $ob$ of equal length and mass are lying on $xy$ plane as shown in the figure. The correct. Two Rods Oa And Ob Of Equal Length.
From www.toppr.com
Two rods OA and OB of equal length and mass are lying on e moment of Two Rods Oa And Ob Of Equal Length Two rods oa and ob of equal length and mass are lying on xy plane as shown in figure. Let ix , iy and iz be the moments of inertia of the the. Let i x , i y and i z be the moment of inertias of both the rods. Let i(x),i(y) and i(z) be the moment of inertia. Two Rods Oa And Ob Of Equal Length.
From www.chegg.com
Solved Two rods of equal length L form a symmetric cross. Two Rods Oa And Ob Of Equal Length The correct answerwill be d ix=iy<<strong>iz</strong>. Two rods oa and ob of equal length and mass are lying on xy plane as shown in figure. Two rods oa and ob of equal length and mass are lying on xy plane as shown in figure. Let i x , i y and i z be the moment of inertias of both. Two Rods Oa And Ob Of Equal Length.
From www.toppr.com
Two metal rods A and B of equal lengths and equal cross sectional areas Two Rods Oa And Ob Of Equal Length Let $i_{x}$ , $i_{y}$ and $i_{z}$ be the moment of. Two rods oa and ob of equal length and mass are lying on xy plane as shown in figure. Two rods oa and ob of equal length and mass are lying on xy plane as shown in figure. Two rods oa and ob of equal length and mass are lying. Two Rods Oa And Ob Of Equal Length.
From www.chegg.com
Solved 3) In the mechanism shown in the figure, OA and OB Two Rods Oa And Ob Of Equal Length Two rods $oa$ and $ob$ of equal length and mass are lying on $xy$ plane as shown in the figure. Two rods oa and ob of equal length and mass are lying on xy plane as shown in figure. Let $i_{x}$ , $i_{y}$ and $i_{z}$ be the moment of. Two rods oa and ob of equal length and mass are. Two Rods Oa And Ob Of Equal Length.
From www.doubtnut.com
Two rods of copper and aluminium of each of equal length 20 cm and equ Two Rods Oa And Ob Of Equal Length Two rods oa and ob of equal length and mass are lying on xy plane as shown in figure. Two rods oa and ob of equal length and mass are lying on xy plane as shown in figure. Let ix , iy and iz be the moments of inertia of the the. Two rods $oa$ and $ob$ of equal length. Two Rods Oa And Ob Of Equal Length.
From www.doubtnut.com
Two rods OA and OB of equal length and mass are lying on xy plane as s Two Rods Oa And Ob Of Equal Length Let { i }_ { x }, { i }_ { y } and { i }_ { z } be the moment of inertia of. Let `i_(x),i_(y)` and `i_(z)` be the moment of inertia of both the rods bout x,y and z axis respectively. The correct answerwill be d ix=iy<<strong>iz</strong>. Two rods o a and o b of equal. Two Rods Oa And Ob Of Equal Length.
From www.chegg.com
Solved Two rods of equal length L=1.99 m form a symmetric Two Rods Oa And Ob Of Equal Length Let ix , iy and iz be the moments of inertia of the the. Two rods $oa$ and $ob$ of equal length and mass are lying on $xy$ plane as shown in the figure. Let i x , i y and i z be the moment of inertias of both the rods. Two rods oa and ob of equal length. Two Rods Oa And Ob Of Equal Length.
From www.doubtnut.com
Two identical unifrom rods OA and OB each of length l and mass m are c Two Rods Oa And Ob Of Equal Length Let { i }_ { x }, { i }_ { y } and { i }_ { z } be the moment of inertia of. Let ix , iy and iz be the moments of inertia of the the. Two rods $oa$ and $ob$ of equal length and mass are lying on $xy$ plane as shown in the figure.. Two Rods Oa And Ob Of Equal Length.
From www.doubtnut.com
Two identical unifrom rods OA and OB each of length l and mass m are c Two Rods Oa And Ob Of Equal Length Two rods $oa$ and $ob$ of equal length and mass are lying on $xy$ plane as shown in the figure. Let `i_(x),i_(y)` and `i_(z)` be the moment of inertia of both the rods bout x,y and z axis respectively. Two rods oa and ob of equal length and mass are lying on xy plane as shown in figure. From the. Two Rods Oa And Ob Of Equal Length.
From www.doubtnut.com
Two inclined planes OA and OB having inclination (with horizontal) 30^ Two Rods Oa And Ob Of Equal Length Let i x , i y and i z be the moment of inertias of both the rods. Let { i }_ { x }, { i }_ { y } and { i }_ { z } be the moment of inertia of. Two rods oa and ob of equal length and mass are lying on xy plane as. Two Rods Oa And Ob Of Equal Length.
From www.toppr.com
Two inclined planes OA and OB having inclinations 30^∘ and 60^∘ Two Rods Oa And Ob Of Equal Length Let i x , i y and i z be the moment of inertias of both the rods. Two rods oa and ob of equal length and mass are lying on xy plane as shown in figure. Two rods oa and ob of equal length and mass are lying on xy plane as shown in figure. Two rods o a. Two Rods Oa And Ob Of Equal Length.
From www.chegg.com
Solved (40pts) The system consists of two rigid rods OA Two Rods Oa And Ob Of Equal Length Two rods oa and ob of equal length and mass are lying on xy plane as shown in figure. Two rods o a and o b of equal length and mass are lying on x y plane as shown in the figure. Two rods $oa$ and $ob$ of equal length and mass are lying on $xy$ plane as shown in. Two Rods Oa And Ob Of Equal Length.
From www.chegg.com
Solved 11. Two uniform rods OA, OB each of length 2a and Two Rods Oa And Ob Of Equal Length Two rods oa and ob of equal length and mass are lying on xy plane as shown in figure. From the above above question, two rods oa and ob of equal length and mass are lying on the xy plane. Two rods o a and o b of equal length and mass are lying on x y plane as shown. Two Rods Oa And Ob Of Equal Length.
From byjus.com
Two rods of equal lengths l and equal mass M are kept along x and y Two Rods Oa And Ob Of Equal Length Let `i_(x),i_(y)` and `i_(z)` be the moment of inertia of both the rods bout x,y and z axis respectively. Two rods oa and ob of equal length and mass are lying on xy plane as shown in figure. Let $i_{x}$ , $i_{y}$ and $i_{z}$ be the moment of. Let i x , i y and i z be the moment. Two Rods Oa And Ob Of Equal Length.
From www.doubtnut.com
Two rods OA and OB of equal length and madd are lying on xy plane as s Two Rods Oa And Ob Of Equal Length Two rods oa and ob of equal length and mass are lying on xy plane as shown in figure. Let $i_{x}$ , $i_{y}$ and $i_{z}$ be the moment of. Two rods oa and ob of equal length and mass are lying on xy plane as shown in figure. Let `i_(x),i_(y)` and `i_(z)` be the moment of inertia of both the. Two Rods Oa And Ob Of Equal Length.
From www.chegg.com
Solved Symmetric Cross Two rods of equal length L=1.9 m form Two Rods Oa And Ob Of Equal Length Two rods oa and ob of equal length and mass are lying on xy plane as shown in figure. Let ix , iy and iz be the moments of inertia of the the. Two rods $oa$ and $ob$ of equal length and mass are lying on $xy$ plane as shown in the figure. Let i x , i y and. Two Rods Oa And Ob Of Equal Length.
From askfilo.com
SECTIONA 1. Two thin rods OA and OB of equal length (I) and mass (m) are.. Two Rods Oa And Ob Of Equal Length Let `i_(x),i_(y)` and `i_(z)` be the moment of inertia of both the rods bout x,y and z axis respectively. From the above above question, two rods oa and ob of equal length and mass are lying on the xy plane. Let $i_{x}$ , $i_{y}$ and $i_{z}$ be the moment of. Let i x , i y and i z be. Two Rods Oa And Ob Of Equal Length.
From www.doubtnut.com
Two rods OA and OB of equal length and mass are lying on xy plane as s Two Rods Oa And Ob Of Equal Length From the above above question, two rods oa and ob of equal length and mass are lying on the xy plane. Let { i }_ { x }, { i }_ { y } and { i }_ { z } be the moment of inertia of. Two rods oa and ob of equal length and mass are lying on. Two Rods Oa And Ob Of Equal Length.
From www.toppr.com
Two rods OA and OB of equal length and mass are lying on e moment of Two Rods Oa And Ob Of Equal Length The correct answerwill be d ix=iy<<strong>iz</strong>. Two rods oa and ob of equal length and mass are lying on xy plane as shown in figure. Let i x , i y and i z be the moment of inertias of both the rods. Two rods $oa$ and $ob$ of equal length and mass are lying on $xy$ plane as shown. Two Rods Oa And Ob Of Equal Length.
From www.chegg.com
Solved Two rods OA and AB and a cord are forming a planar Two Rods Oa And Ob Of Equal Length Two rods oa and ob of equal length and mass are lying on xy plane as shown in figure. Let { i }_ { x }, { i }_ { y } and { i }_ { z } be the moment of inertia of. Two rods oa and ob of equal length and mass are lying on xy plane. Two Rods Oa And Ob Of Equal Length.
From byjus.com
Two rods of equal length and mass are placed at an angle theta where Two Rods Oa And Ob Of Equal Length Let { i }_ { x }, { i }_ { y } and { i }_ { z } be the moment of inertia of. From the above above question, two rods oa and ob of equal length and mass are lying on the xy plane. Two rods oa and ob of equal length and mass are lying on. Two Rods Oa And Ob Of Equal Length.
From www.doubtnut.com
Two identical unifrom rods OA and OB each of length l and mass m are c Two Rods Oa And Ob Of Equal Length The correct answerwill be d ix=iy<<strong>iz</strong>. Let $i_{x}$ , $i_{y}$ and $i_{z}$ be the moment of. From the above above question, two rods oa and ob of equal length and mass are lying on the xy plane. Two rods oa and ob of equal length and mass are lying on xy plane as shown in figure. Let i(x),i(y) and i(z). Two Rods Oa And Ob Of Equal Length.
From askfilo.com
Two rods OA and OB of equal length and mass are lying on XYplane as show.. Two Rods Oa And Ob Of Equal Length Let $i_{x}$ , $i_{y}$ and $i_{z}$ be the moment of. The correct answerwill be d ix=iy<<strong>iz</strong>. Let ix , iy and iz be the moments of inertia of the the. Let i x , i y and i z be the moment of inertias of both the rods. From the above above question, two rods oa and ob of equal. Two Rods Oa And Ob Of Equal Length.
From quizlet.com
Two rods of equal lengths l form a symmetric cross. The ro Quizlet Two Rods Oa And Ob Of Equal Length Let $i_{x}$ , $i_{y}$ and $i_{z}$ be the moment of. The correct answerwill be d ix=iy<<strong>iz</strong>. Let `i_(x),i_(y)` and `i_(z)` be the moment of inertia of both the rods bout x,y and z axis respectively. Two rods oa and ob of equal length and mass are lying on xy plane as shown in figure. Two rods $oa$ and $ob$ of. Two Rods Oa And Ob Of Equal Length.
From www.doubtnut.com
Two identical unifrom rods OA and OB each of length l and mass m are c Two Rods Oa And Ob Of Equal Length Let `i_(x),i_(y)` and `i_(z)` be the moment of inertia of both the rods bout x,y and z axis respectively. Let ix , iy and iz be the moments of inertia of the the. Two rods oa and ob of equal length and mass are lying on xy plane as shown in figure. Two rods oa and ob of equal length. Two Rods Oa And Ob Of Equal Length.