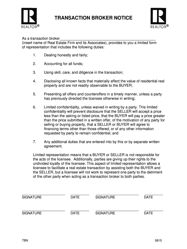
Florida Real Estate Transaction Broker Notice . This form may be used where the agent is acting as single agent but obtains consent from the seller or buyer to transition to a transaction broker in the event the brokerage. Transaction broker notice florida law requires that real estate licensees operating as transaction brokers. Florida law allows real estate licensees who represent a buyer or seller as a single agent to change from a single agent. Florida law allows real estate licensees who represent a buyer or seller as a single agent to change from a single agent relationship. A transaction broker provides a limited form of representation to a buyer, a seller, or both in a real estate transaction but does not. Florida law allows real estate licensees who represent a buyer or seller as a single agent to change from a single agent. What is a transaction broker in florida real estate? (l) “transaction broker” means a broker who provides limited representation to a buyer, a seller, or both, in a real estate transaction, but does.
from www.pdffiller.com
Florida law allows real estate licensees who represent a buyer or seller as a single agent to change from a single agent relationship. (l) “transaction broker” means a broker who provides limited representation to a buyer, a seller, or both, in a real estate transaction, but does. This form may be used where the agent is acting as single agent but obtains consent from the seller or buyer to transition to a transaction broker in the event the brokerage. What is a transaction broker in florida real estate? Florida law allows real estate licensees who represent a buyer or seller as a single agent to change from a single agent. Transaction broker notice florida law requires that real estate licensees operating as transaction brokers. Florida law allows real estate licensees who represent a buyer or seller as a single agent to change from a single agent. A transaction broker provides a limited form of representation to a buyer, a seller, or both in a real estate transaction but does not.
Fillable Online Consent to Transition to Transaction Broker Notice Fax
Florida Real Estate Transaction Broker Notice Florida law allows real estate licensees who represent a buyer or seller as a single agent to change from a single agent. A transaction broker provides a limited form of representation to a buyer, a seller, or both in a real estate transaction but does not. What is a transaction broker in florida real estate? This form may be used where the agent is acting as single agent but obtains consent from the seller or buyer to transition to a transaction broker in the event the brokerage. Florida law allows real estate licensees who represent a buyer or seller as a single agent to change from a single agent. (l) “transaction broker” means a broker who provides limited representation to a buyer, a seller, or both, in a real estate transaction, but does. Florida law allows real estate licensees who represent a buyer or seller as a single agent to change from a single agent relationship. Transaction broker notice florida law requires that real estate licensees operating as transaction brokers. Florida law allows real estate licensees who represent a buyer or seller as a single agent to change from a single agent.
From www.dochub.com
Florida transaction broker notice Fill out & sign online DocHub Florida Real Estate Transaction Broker Notice Florida law allows real estate licensees who represent a buyer or seller as a single agent to change from a single agent. This form may be used where the agent is acting as single agent but obtains consent from the seller or buyer to transition to a transaction broker in the event the brokerage. Transaction broker notice florida law requires. Florida Real Estate Transaction Broker Notice.
From templatesowl.com
Blank Florida Listing Agreement Fill Out and Print PDFs Florida Real Estate Transaction Broker Notice What is a transaction broker in florida real estate? A transaction broker provides a limited form of representation to a buyer, a seller, or both in a real estate transaction but does not. Florida law allows real estate licensees who represent a buyer or seller as a single agent to change from a single agent. Florida law allows real estate. Florida Real Estate Transaction Broker Notice.
From www.southwestcoastrealty.com
Home Seller Information NaplesFort Myers Florida Southwest Coast Florida Real Estate Transaction Broker Notice What is a transaction broker in florida real estate? (l) “transaction broker” means a broker who provides limited representation to a buyer, a seller, or both, in a real estate transaction, but does. A transaction broker provides a limited form of representation to a buyer, a seller, or both in a real estate transaction but does not. Florida law allows. Florida Real Estate Transaction Broker Notice.
From freeforms.com
Free Florida Real Estate Purchase Agreement Template PDF WORD Florida Real Estate Transaction Broker Notice Florida law allows real estate licensees who represent a buyer or seller as a single agent to change from a single agent. This form may be used where the agent is acting as single agent but obtains consent from the seller or buyer to transition to a transaction broker in the event the brokerage. What is a transaction broker in. Florida Real Estate Transaction Broker Notice.
From exoekrmvk.blob.core.windows.net
Florida Real Estate Brokerage Agreement at Velma Lin blog Florida Real Estate Transaction Broker Notice Florida law allows real estate licensees who represent a buyer or seller as a single agent to change from a single agent. A transaction broker provides a limited form of representation to a buyer, a seller, or both in a real estate transaction but does not. (l) “transaction broker” means a broker who provides limited representation to a buyer, a. Florida Real Estate Transaction Broker Notice.
From eforms.com
Free Florida Buyer Agency Agreement PDF Word eForms Florida Real Estate Transaction Broker Notice (l) “transaction broker” means a broker who provides limited representation to a buyer, a seller, or both, in a real estate transaction, but does. Transaction broker notice florida law requires that real estate licensees operating as transaction brokers. Florida law allows real estate licensees who represent a buyer or seller as a single agent to change from a single agent. Florida Real Estate Transaction Broker Notice.
From esign.com
Free Florida Real Estate Listing Agreement PDF Word Florida Real Estate Transaction Broker Notice Florida law allows real estate licensees who represent a buyer or seller as a single agent to change from a single agent relationship. What is a transaction broker in florida real estate? Florida law allows real estate licensees who represent a buyer or seller as a single agent to change from a single agent. (l) “transaction broker” means a broker. Florida Real Estate Transaction Broker Notice.
From esign.com
Free Florida Real Estate Listing Agreement PDF Word Florida Real Estate Transaction Broker Notice What is a transaction broker in florida real estate? (l) “transaction broker” means a broker who provides limited representation to a buyer, a seller, or both, in a real estate transaction, but does. Florida law allows real estate licensees who represent a buyer or seller as a single agent to change from a single agent relationship. A transaction broker provides. Florida Real Estate Transaction Broker Notice.
From templates.rjuuc.edu.np
Florida Demand Letter Template Florida Real Estate Transaction Broker Notice A transaction broker provides a limited form of representation to a buyer, a seller, or both in a real estate transaction but does not. (l) “transaction broker” means a broker who provides limited representation to a buyer, a seller, or both, in a real estate transaction, but does. What is a transaction broker in florida real estate? This form may. Florida Real Estate Transaction Broker Notice.
From www.besttamparealestateagents.com
The 7 Steps to Getting Your Florida Real Estate License Florida Real Estate Transaction Broker Notice Florida law allows real estate licensees who represent a buyer or seller as a single agent to change from a single agent. Florida law allows real estate licensees who represent a buyer or seller as a single agent to change from a single agent. Transaction broker notice florida law requires that real estate licensees operating as transaction brokers. A transaction. Florida Real Estate Transaction Broker Notice.
From www.slideserve.com
PPT Florida Real Estate Broker License PowerPoint Presentation, free Florida Real Estate Transaction Broker Notice This form may be used where the agent is acting as single agent but obtains consent from the seller or buyer to transition to a transaction broker in the event the brokerage. A transaction broker provides a limited form of representation to a buyer, a seller, or both in a real estate transaction but does not. What is a transaction. Florida Real Estate Transaction Broker Notice.
From www.gulfcoasthomeguide.com
How a Real Estate Transaction Works Florida Real Estate Transaction Broker Notice (l) “transaction broker” means a broker who provides limited representation to a buyer, a seller, or both, in a real estate transaction, but does. A transaction broker provides a limited form of representation to a buyer, a seller, or both in a real estate transaction but does not. Florida law allows real estate licensees who represent a buyer or seller. Florida Real Estate Transaction Broker Notice.
From esign.com
Free Florida Real Estate Listing Agreement PDF Word Florida Real Estate Transaction Broker Notice This form may be used where the agent is acting as single agent but obtains consent from the seller or buyer to transition to a transaction broker in the event the brokerage. What is a transaction broker in florida real estate? Transaction broker notice florida law requires that real estate licensees operating as transaction brokers. Florida law allows real estate. Florida Real Estate Transaction Broker Notice.
From www.youtube.com
LPT Realty Florida's best NEW brokerage YouTube Florida Real Estate Transaction Broker Notice Florida law allows real estate licensees who represent a buyer or seller as a single agent to change from a single agent relationship. What is a transaction broker in florida real estate? Florida law allows real estate licensees who represent a buyer or seller as a single agent to change from a single agent. This form may be used where. Florida Real Estate Transaction Broker Notice.
From www.southfloridalawpllc.com
Opening a Real Estate Brokerage in Florida South Florida Law, PLLC Florida Real Estate Transaction Broker Notice Transaction broker notice florida law requires that real estate licensees operating as transaction brokers. What is a transaction broker in florida real estate? (l) “transaction broker” means a broker who provides limited representation to a buyer, a seller, or both, in a real estate transaction, but does. Florida law allows real estate licensees who represent a buyer or seller as. Florida Real Estate Transaction Broker Notice.
From interestinges.blogspot.com
florida real estate license Florida Real Estate Transaction Broker Notice Florida law allows real estate licensees who represent a buyer or seller as a single agent to change from a single agent. Transaction broker notice florida law requires that real estate licensees operating as transaction brokers. (l) “transaction broker” means a broker who provides limited representation to a buyer, a seller, or both, in a real estate transaction, but does.. Florida Real Estate Transaction Broker Notice.
From eforms.com
Free Texas Real Estate Agent Listing Agreement PDF Word eForms Florida Real Estate Transaction Broker Notice What is a transaction broker in florida real estate? Florida law allows real estate licensees who represent a buyer or seller as a single agent to change from a single agent relationship. This form may be used where the agent is acting as single agent but obtains consent from the seller or buyer to transition to a transaction broker in. Florida Real Estate Transaction Broker Notice.
From theclose.com
How to Get a Florida Real Estate Broker License The Close Florida Real Estate Transaction Broker Notice What is a transaction broker in florida real estate? Florida law allows real estate licensees who represent a buyer or seller as a single agent to change from a single agent relationship. Florida law allows real estate licensees who represent a buyer or seller as a single agent to change from a single agent. Florida law allows real estate licensees. Florida Real Estate Transaction Broker Notice.
From mikegallorealtor.blogspot.com
Realtor Mike Gallo's Blog What is a Transaction Broker in Florida Real Florida Real Estate Transaction Broker Notice Florida law allows real estate licensees who represent a buyer or seller as a single agent to change from a single agent. This form may be used where the agent is acting as single agent but obtains consent from the seller or buyer to transition to a transaction broker in the event the brokerage. (l) “transaction broker” means a broker. Florida Real Estate Transaction Broker Notice.
From eforms.com
Free Real Estate Agent Independent Contractor Agreement PDF Word Florida Real Estate Transaction Broker Notice Florida law allows real estate licensees who represent a buyer or seller as a single agent to change from a single agent. This form may be used where the agent is acting as single agent but obtains consent from the seller or buyer to transition to a transaction broker in the event the brokerage. Florida law allows real estate licensees. Florida Real Estate Transaction Broker Notice.
From www.pdffiller.com
Fillable Online Consent to Transition to Transaction Broker Notice Fax Florida Real Estate Transaction Broker Notice What is a transaction broker in florida real estate? Florida law allows real estate licensees who represent a buyer or seller as a single agent to change from a single agent. Florida law allows real estate licensees who represent a buyer or seller as a single agent to change from a single agent relationship. This form may be used where. Florida Real Estate Transaction Broker Notice.
From realestateu.com
How to Get a Florida Real Estate License a Real Estate Agent Florida Real Estate Transaction Broker Notice Transaction broker notice florida law requires that real estate licensees operating as transaction brokers. This form may be used where the agent is acting as single agent but obtains consent from the seller or buyer to transition to a transaction broker in the event the brokerage. Florida law allows real estate licensees who represent a buyer or seller as a. Florida Real Estate Transaction Broker Notice.
From fitsmallbusiness.com
6 Best Florida Real Estate Exam Prep Providers in 2024 Florida Real Estate Transaction Broker Notice Florida law allows real estate licensees who represent a buyer or seller as a single agent to change from a single agent relationship. This form may be used where the agent is acting as single agent but obtains consent from the seller or buyer to transition to a transaction broker in the event the brokerage. Florida law allows real estate. Florida Real Estate Transaction Broker Notice.
From www.boloforms.com
Download North Carolina Real Estate Purchase Agreement Documents Florida Real Estate Transaction Broker Notice A transaction broker provides a limited form of representation to a buyer, a seller, or both in a real estate transaction but does not. What is a transaction broker in florida real estate? Transaction broker notice florida law requires that real estate licensees operating as transaction brokers. (l) “transaction broker” means a broker who provides limited representation to a buyer,. Florida Real Estate Transaction Broker Notice.
From www.hauseit.com
What is a Transaction Broker in Florida Real Estate? Florida Real Estate Transaction Broker Notice Florida law allows real estate licensees who represent a buyer or seller as a single agent to change from a single agent. What is a transaction broker in florida real estate? (l) “transaction broker” means a broker who provides limited representation to a buyer, a seller, or both, in a real estate transaction, but does. This form may be used. Florida Real Estate Transaction Broker Notice.
From www.pdffiller.com
Fillable Online TRANSACTION BROKER NOTICE FLORIDA LAW REQUIRES THAT Florida Real Estate Transaction Broker Notice This form may be used where the agent is acting as single agent but obtains consent from the seller or buyer to transition to a transaction broker in the event the brokerage. Transaction broker notice florida law requires that real estate licensees operating as transaction brokers. A transaction broker provides a limited form of representation to a buyer, a seller,. Florida Real Estate Transaction Broker Notice.
From studylib.net
TRANSACTION BROKER NOTICE Florida Real Estate Transaction Broker Notice This form may be used where the agent is acting as single agent but obtains consent from the seller or buyer to transition to a transaction broker in the event the brokerage. Florida law allows real estate licensees who represent a buyer or seller as a single agent to change from a single agent relationship. (l) “transaction broker” means a. Florida Real Estate Transaction Broker Notice.
From exopzwfnq.blob.core.windows.net
What Is A Real Estate Agreement at Barbara Pate blog Florida Real Estate Transaction Broker Notice Transaction broker notice florida law requires that real estate licensees operating as transaction brokers. What is a transaction broker in florida real estate? Florida law allows real estate licensees who represent a buyer or seller as a single agent to change from a single agent. Florida law allows real estate licensees who represent a buyer or seller as a single. Florida Real Estate Transaction Broker Notice.
From artistrestaurant2.bitbucket.io
How To A Real Estate Broker Florida Artistrestaurant2 Florida Real Estate Transaction Broker Notice Transaction broker notice florida law requires that real estate licensees operating as transaction brokers. A transaction broker provides a limited form of representation to a buyer, a seller, or both in a real estate transaction but does not. Florida law allows real estate licensees who represent a buyer or seller as a single agent to change from a single agent. Florida Real Estate Transaction Broker Notice.
From www.youtube.com
FL Realtors How To Fill Out FL Listing Agreement Transaction Broker Florida Real Estate Transaction Broker Notice Florida law allows real estate licensees who represent a buyer or seller as a single agent to change from a single agent. What is a transaction broker in florida real estate? Florida law allows real estate licensees who represent a buyer or seller as a single agent to change from a single agent relationship. This form may be used where. Florida Real Estate Transaction Broker Notice.
From www.pdffiller.com
Fillable Online TRANSACTION BROKER NOTICE Fax Email Print pdfFiller Florida Real Estate Transaction Broker Notice Transaction broker notice florida law requires that real estate licensees operating as transaction brokers. This form may be used where the agent is acting as single agent but obtains consent from the seller or buyer to transition to a transaction broker in the event the brokerage. Florida law allows real estate licensees who represent a buyer or seller as a. Florida Real Estate Transaction Broker Notice.
From eforms.com
Free Florida Commercial Real Estate Purchase and Sale Agreement PDF Florida Real Estate Transaction Broker Notice A transaction broker provides a limited form of representation to a buyer, a seller, or both in a real estate transaction but does not. Florida law allows real estate licensees who represent a buyer or seller as a single agent to change from a single agent. What is a transaction broker in florida real estate? This form may be used. Florida Real Estate Transaction Broker Notice.
From www.kieferseminars.com
Florida Real Estate Broker Textbook Bookstore Florida Real Estate Transaction Broker Notice What is a transaction broker in florida real estate? This form may be used where the agent is acting as single agent but obtains consent from the seller or buyer to transition to a transaction broker in the event the brokerage. Florida law allows real estate licensees who represent a buyer or seller as a single agent to change from. Florida Real Estate Transaction Broker Notice.
From artistrestaurant2.bitbucket.io
How To A Real Estate Broker Florida Artistrestaurant2 Florida Real Estate Transaction Broker Notice Florida law allows real estate licensees who represent a buyer or seller as a single agent to change from a single agent relationship. This form may be used where the agent is acting as single agent but obtains consent from the seller or buyer to transition to a transaction broker in the event the brokerage. (l) “transaction broker” means a. Florida Real Estate Transaction Broker Notice.
From formspal.com
Real Estate Contract Cancellation Form (Termination Letter) Florida Real Estate Transaction Broker Notice A transaction broker provides a limited form of representation to a buyer, a seller, or both in a real estate transaction but does not. (l) “transaction broker” means a broker who provides limited representation to a buyer, a seller, or both, in a real estate transaction, but does. Transaction broker notice florida law requires that real estate licensees operating as. Florida Real Estate Transaction Broker Notice.