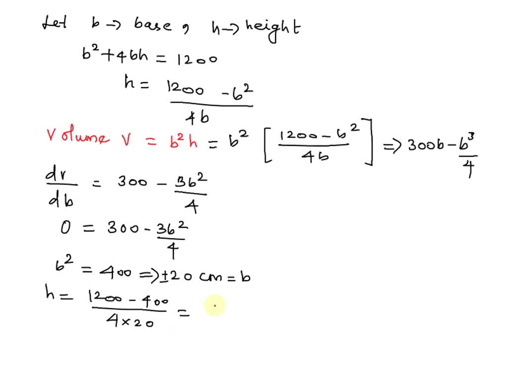
A Box With A Square Base And Open Top . If $1200\ \mathrm{cm}^2$ of material is available to make a box with a square base and an open top, find the largest possible volume of the box. Piece of cardboard by removing a square from each. We wish to find the dimensions of the box that minimize. In this example problem, a box with a square base and open top must have a volume that is given. A box with a square base and an open top is to be made. We wish to find the dimensions of. A box with a square base and open top must have a volume of 171500 cm^3. Stewart calculus, 6th ed., section 4.7, #12a box with a square base and open top must have a volume of 32,000 cm3. Maximizing the volume of a box. You have $1200\operatorname{cm}^2$ of material to make it.
        
        from www.chegg.com 
     
        
        A box with a square base and open top must have a volume of 171500 cm^3. We wish to find the dimensions of. We wish to find the dimensions of the box that minimize. Maximizing the volume of a box. Stewart calculus, 6th ed., section 4.7, #12a box with a square base and open top must have a volume of 32,000 cm3. You have $1200\operatorname{cm}^2$ of material to make it. In this example problem, a box with a square base and open top must have a volume that is given. A box with a square base and an open top is to be made. Piece of cardboard by removing a square from each. If $1200\ \mathrm{cm}^2$ of material is available to make a box with a square base and an open top, find the largest possible volume of the box.
    
    	
            
	
		 
         
    Solved Tutorial Exercise If 19,200 cm2 of material is 
    A Box With A Square Base And Open Top  In this example problem, a box with a square base and open top must have a volume that is given. You have $1200\operatorname{cm}^2$ of material to make it. Stewart calculus, 6th ed., section 4.7, #12a box with a square base and open top must have a volume of 32,000 cm3. Maximizing the volume of a box. A box with a square base and open top must have a volume of 171500 cm^3. If $1200\ \mathrm{cm}^2$ of material is available to make a box with a square base and an open top, find the largest possible volume of the box. We wish to find the dimensions of. Piece of cardboard by removing a square from each. We wish to find the dimensions of the box that minimize. In this example problem, a box with a square base and open top must have a volume that is given. A box with a square base and an open top is to be made.
            
	
		 
         
 
    
        From www.chegg.com 
                    Solved Exercise. A box with an open top is to be constructed A Box With A Square Base And Open Top  If $1200\ \mathrm{cm}^2$ of material is available to make a box with a square base and an open top, find the largest possible volume of the box. A box with a square base and an open top is to be made. In this example problem, a box with a square base and open top must have a volume that is. A Box With A Square Base And Open Top.
     
    
        From alternativedirection12.bitbucket.io 
                    How To Find Out The Volume Of A Box Alternativedirection12 A Box With A Square Base And Open Top  Piece of cardboard by removing a square from each. If $1200\ \mathrm{cm}^2$ of material is available to make a box with a square base and an open top, find the largest possible volume of the box. In this example problem, a box with a square base and open top must have a volume that is given. You have $1200\operatorname{cm}^2$ of. A Box With A Square Base And Open Top.
     
    
        From www.numerade.com 
                    SOLVED a) If 1200 cm^2 of material is available to make a box with a A Box With A Square Base And Open Top  If $1200\ \mathrm{cm}^2$ of material is available to make a box with a square base and an open top, find the largest possible volume of the box. Piece of cardboard by removing a square from each. Stewart calculus, 6th ed., section 4.7, #12a box with a square base and open top must have a volume of 32,000 cm3. In this. A Box With A Square Base And Open Top.
     
    
        From www.chegg.com 
                    Solved A box with a square base and open top must have a A Box With A Square Base And Open Top  Stewart calculus, 6th ed., section 4.7, #12a box with a square base and open top must have a volume of 32,000 cm3. A box with a square base and open top must have a volume of 171500 cm^3. If $1200\ \mathrm{cm}^2$ of material is available to make a box with a square base and an open top, find the largest. A Box With A Square Base And Open Top.
     
    
        From www.chegg.com 
                    Solved Tutorial Exercise If 19,200 cm2 of material is A Box With A Square Base And Open Top  You have $1200\operatorname{cm}^2$ of material to make it. We wish to find the dimensions of the box that minimize. Maximizing the volume of a box. If $1200\ \mathrm{cm}^2$ of material is available to make a box with a square base and an open top, find the largest possible volume of the box. A box with a square base and open. A Box With A Square Base And Open Top.
     
    
        From www.coursehero.com 
                    [Solved] A rectangular box is to have a square base and a volume of 18 A Box With A Square Base And Open Top  Stewart calculus, 6th ed., section 4.7, #12a box with a square base and open top must have a volume of 32,000 cm3. In this example problem, a box with a square base and open top must have a volume that is given. A box with a square base and open top must have a volume of 171500 cm^3. We wish. A Box With A Square Base And Open Top.
     
    
        From www.youtube.com 
                    Optimization Open Top Box of Largest Volume from Square Piece of A Box With A Square Base And Open Top  We wish to find the dimensions of the box that minimize. A box with a square base and open top must have a volume of 171500 cm^3. Piece of cardboard by removing a square from each. In this example problem, a box with a square base and open top must have a volume that is given. A box with a. A Box With A Square Base And Open Top.
     
    
        From www.chegg.com 
                    Solved Consider the following problem a box with an open A Box With A Square Base And Open Top  We wish to find the dimensions of the box that minimize. You have $1200\operatorname{cm}^2$ of material to make it. We wish to find the dimensions of. Maximizing the volume of a box. Piece of cardboard by removing a square from each. If $1200\ \mathrm{cm}^2$ of material is available to make a box with a square base and an open top,. A Box With A Square Base And Open Top.
     
    
        From sorumatik.co 
                    İf 10,800 cm2 of material is available to make a box with a square base A Box With A Square Base And Open Top  Maximizing the volume of a box. We wish to find the dimensions of the box that minimize. In this example problem, a box with a square base and open top must have a volume that is given. If $1200\ \mathrm{cm}^2$ of material is available to make a box with a square base and an open top, find the largest possible. A Box With A Square Base And Open Top.
     
    
        From www.youtube.com 
                    A box with a square base and open top must have a volume of 32,000 cm3 A Box With A Square Base And Open Top  We wish to find the dimensions of. We wish to find the dimensions of the box that minimize. A box with a square base and open top must have a volume of 171500 cm^3. You have $1200\operatorname{cm}^2$ of material to make it. Maximizing the volume of a box. A box with a square base and an open top is to. A Box With A Square Base And Open Top.
     
    
        From www.numerade.com 
                    An open box with a square base is to be made from a square piece of A Box With A Square Base And Open Top  You have $1200\operatorname{cm}^2$ of material to make it. Piece of cardboard by removing a square from each. Maximizing the volume of a box. We wish to find the dimensions of the box that minimize. A box with a square base and open top must have a volume of 171500 cm^3. We wish to find the dimensions of. If $1200\ \mathrm{cm}^2$. A Box With A Square Base And Open Top.
     
    
        From www.numerade.com 
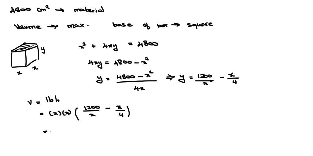
                    SOLVED If 4,800 cm2 of material is available to make a box with a A Box With A Square Base And Open Top  In this example problem, a box with a square base and open top must have a volume that is given. Maximizing the volume of a box. You have $1200\operatorname{cm}^2$ of material to make it. A box with a square base and open top must have a volume of 171500 cm^3. We wish to find the dimensions of the box that. A Box With A Square Base And Open Top.
     
    
        From www.transtutors.com 
                    (Solved) An Open Top Box Has A Square Base Of Length X And Height Of A Box With A Square Base And Open Top  Stewart calculus, 6th ed., section 4.7, #12a box with a square base and open top must have a volume of 32,000 cm3. We wish to find the dimensions of the box that minimize. In this example problem, a box with a square base and open top must have a volume that is given. If $1200\ \mathrm{cm}^2$ of material is available. A Box With A Square Base And Open Top.
     
    
        From www.bartleby.com 
                    Answered A rectangular box with a square base… bartleby A Box With A Square Base And Open Top  In this example problem, a box with a square base and open top must have a volume that is given. A box with a square base and an open top is to be made. You have $1200\operatorname{cm}^2$ of material to make it. Maximizing the volume of a box. We wish to find the dimensions of the box that minimize. We. A Box With A Square Base And Open Top.
     
    
        From www.chegg.com 
                    Solved A box with a square base has an open top, as shown A Box With A Square Base And Open Top  If $1200\ \mathrm{cm}^2$ of material is available to make a box with a square base and an open top, find the largest possible volume of the box. You have $1200\operatorname{cm}^2$ of material to make it. A box with a square base and an open top is to be made. Maximizing the volume of a box. Stewart calculus, 6th ed., section. A Box With A Square Base And Open Top.
     
    
        From www.victoriana.com 
                    Gewähren Hartnäckig Editor how to make a closed rectangular box A Box With A Square Base And Open Top  We wish to find the dimensions of. Stewart calculus, 6th ed., section 4.7, #12a box with a square base and open top must have a volume of 32,000 cm3. A box with a square base and open top must have a volume of 171500 cm^3. We wish to find the dimensions of the box that minimize. A box with a. A Box With A Square Base And Open Top.
     
    
        From www.chegg.com 
                    Solved Consider the following problem a box with an open A Box With A Square Base And Open Top  In this example problem, a box with a square base and open top must have a volume that is given. You have $1200\operatorname{cm}^2$ of material to make it. Maximizing the volume of a box. Piece of cardboard by removing a square from each. If $1200\ \mathrm{cm}^2$ of material is available to make a box with a square base and an. A Box With A Square Base And Open Top.
     
    
        From www.chegg.com 
                    Solved Question 16. A box is constructed from a square piece A Box With A Square Base And Open Top  We wish to find the dimensions of. If $1200\ \mathrm{cm}^2$ of material is available to make a box with a square base and an open top, find the largest possible volume of the box. A box with a square base and open top must have a volume of 171500 cm^3. Piece of cardboard by removing a square from each. Maximizing. A Box With A Square Base And Open Top.
     
    
        From www.youtube.com 
                    A box with an open top is to be constructed from a rectangular piece of A Box With A Square Base And Open Top  If $1200\ \mathrm{cm}^2$ of material is available to make a box with a square base and an open top, find the largest possible volume of the box. You have $1200\operatorname{cm}^2$ of material to make it. Stewart calculus, 6th ed., section 4.7, #12a box with a square base and open top must have a volume of 32,000 cm3. In this example. A Box With A Square Base And Open Top.
     
    
        From www.numerade.com 
                    If 30,000 cm2 of material is available to make a box with a square base A Box With A Square Base And Open Top  A box with a square base and open top must have a volume of 171500 cm^3. We wish to find the dimensions of. You have $1200\operatorname{cm}^2$ of material to make it. Maximizing the volume of a box. Piece of cardboard by removing a square from each. In this example problem, a box with a square base and open top must. A Box With A Square Base And Open Top.
     
    
        From www.youtube.com 
                    Calculus Optimization (box with square base and no top) YouTube A Box With A Square Base And Open Top  You have $1200\operatorname{cm}^2$ of material to make it. If $1200\ \mathrm{cm}^2$ of material is available to make a box with a square base and an open top, find the largest possible volume of the box. Piece of cardboard by removing a square from each. We wish to find the dimensions of. We wish to find the dimensions of the box. A Box With A Square Base And Open Top.
     
    
        From www.chegg.com 
                    Solved Consider the following problem A box with an open A Box With A Square Base And Open Top  Stewart calculus, 6th ed., section 4.7, #12a box with a square base and open top must have a volume of 32,000 cm3. If $1200\ \mathrm{cm}^2$ of material is available to make a box with a square base and an open top, find the largest possible volume of the box. We wish to find the dimensions of. Maximizing the volume of. A Box With A Square Base And Open Top.
     
    
        From furniture-ideas.github.io 
                    Download Find The Dimensions Of A Rectangular Box Of Maximum Volume Home A Box With A Square Base And Open Top  You have $1200\operatorname{cm}^2$ of material to make it. Maximizing the volume of a box. In this example problem, a box with a square base and open top must have a volume that is given. A box with a square base and open top must have a volume of 171500 cm^3. Piece of cardboard by removing a square from each. Stewart. A Box With A Square Base And Open Top.
     
    
        From sorumatik.co 
                    İf 10,800 cm2 of material is available to make a box with a square base A Box With A Square Base And Open Top  We wish to find the dimensions of the box that minimize. A box with a square base and open top must have a volume of 171500 cm^3. Stewart calculus, 6th ed., section 4.7, #12a box with a square base and open top must have a volume of 32,000 cm3. If $1200\ \mathrm{cm}^2$ of material is available to make a box. A Box With A Square Base And Open Top.
     
    
        From www.youtube.com 
                    A rectangular storage container with an open top is to have a volume of A Box With A Square Base And Open Top  Piece of cardboard by removing a square from each. A box with a square base and an open top is to be made. If $1200\ \mathrm{cm}^2$ of material is available to make a box with a square base and an open top, find the largest possible volume of the box. You have $1200\operatorname{cm}^2$ of material to make it. Maximizing the. A Box With A Square Base And Open Top.
     
    
        From www.youtube.com 
                    Optimization Construction of a box with open top YouTube A Box With A Square Base And Open Top  A box with a square base and an open top is to be made. Maximizing the volume of a box. Piece of cardboard by removing a square from each. We wish to find the dimensions of the box that minimize. We wish to find the dimensions of. You have $1200\operatorname{cm}^2$ of material to make it. Stewart calculus, 6th ed., section. A Box With A Square Base And Open Top.
     
    
        From www.numerade.com 
                    SOLVED A box with a square base and an open top must have a volume of A Box With A Square Base And Open Top  Piece of cardboard by removing a square from each. A box with a square base and an open top is to be made. We wish to find the dimensions of the box that minimize. If $1200\ \mathrm{cm}^2$ of material is available to make a box with a square base and an open top, find the largest possible volume of the. A Box With A Square Base And Open Top.
     
    
        From www.youtube.com 
                    Sandy is making a closed rectangular jewelry box with a square base A Box With A Square Base And Open Top  Piece of cardboard by removing a square from each. You have $1200\operatorname{cm}^2$ of material to make it. We wish to find the dimensions of. Stewart calculus, 6th ed., section 4.7, #12a box with a square base and open top must have a volume of 32,000 cm3. If $1200\ \mathrm{cm}^2$ of material is available to make a box with a square. A Box With A Square Base And Open Top.
     
    
        From www.numerade.com 
                    an open top box is to be constructed from sheet of tin that measures 24 A Box With A Square Base And Open Top  You have $1200\operatorname{cm}^2$ of material to make it. Stewart calculus, 6th ed., section 4.7, #12a box with a square base and open top must have a volume of 32,000 cm3. A box with a square base and open top must have a volume of 171500 cm^3. If $1200\ \mathrm{cm}^2$ of material is available to make a box with a square. A Box With A Square Base And Open Top.
     
    
        From www.numerade.com 
                    SOLVED Consider the following problem A box with an open top is to be A Box With A Square Base And Open Top  Piece of cardboard by removing a square from each. Stewart calculus, 6th ed., section 4.7, #12a box with a square base and open top must have a volume of 32,000 cm3. In this example problem, a box with a square base and open top must have a volume that is given. If $1200\ \mathrm{cm}^2$ of material is available to make. A Box With A Square Base And Open Top.
     
    
        From giondbwrm.blob.core.windows.net 
                    An Open Top Box Is To Be Made From A Square Piece Of Cardboard at Rose A Box With A Square Base And Open Top  Maximizing the volume of a box. In this example problem, a box with a square base and open top must have a volume that is given. Stewart calculus, 6th ed., section 4.7, #12a box with a square base and open top must have a volume of 32,000 cm3. We wish to find the dimensions of the box that minimize. A. A Box With A Square Base And Open Top.
     
    
        From www.chegg.com 
                    Solved 25. Constructing an Open Box An open box with a A Box With A Square Base And Open Top  Stewart calculus, 6th ed., section 4.7, #12a box with a square base and open top must have a volume of 32,000 cm3. In this example problem, a box with a square base and open top must have a volume that is given. Maximizing the volume of a box. Piece of cardboard by removing a square from each. We wish to. A Box With A Square Base And Open Top.
     
    
        From www.chegg.com 
                    Solved A box is formed by cutting squares from the four A Box With A Square Base And Open Top  A box with a square base and an open top is to be made. We wish to find the dimensions of. In this example problem, a box with a square base and open top must have a volume that is given. We wish to find the dimensions of the box that minimize. A box with a square base and open. A Box With A Square Base And Open Top.
     
    
        From www.chegg.com 
                    Solved An open box is to be made from a square piece of A Box With A Square Base And Open Top  Piece of cardboard by removing a square from each. Stewart calculus, 6th ed., section 4.7, #12a box with a square base and open top must have a volume of 32,000 cm3. A box with a square base and an open top is to be made. Maximizing the volume of a box. If $1200\ \mathrm{cm}^2$ of material is available to make. A Box With A Square Base And Open Top.
     
    
        From www.teachoo.com 
                    Example 50 An open topped box is to be constructed by Examples A Box With A Square Base And Open Top  In this example problem, a box with a square base and open top must have a volume that is given. Piece of cardboard by removing a square from each. We wish to find the dimensions of. If $1200\ \mathrm{cm}^2$ of material is available to make a box with a square base and an open top, find the largest possible volume. A Box With A Square Base And Open Top.