What Is Declaration Of Ownership . Each of the pledge debtors declare that it is the sole and exclusive owner of the pledged shares;. Means the declaration required by section 12(2); a declaration of ownership (also known as a “declaration of trust”) is a legal document commonly used to set out the interests of individual parties. First, there’s the legal ownership. This is who officially owns the property as registered with the land registry. what is a declaration of ownership? in england and wales, when it comes to who owns a property, there are actually two parts to it. through the ownership and control assessment (oca), the central validation service uses the information (data and. define declaration of ownership. the βeneficial οwner is defined as any natural person who owns or controls a legal entity and / or the natural person on. Second, there’s something called the beneficial interest, or beneficial ownership. a declaration of trust is a legally binding document that outlines the ownership rights and interests of all parties in a property. A declaration of ownership (also known as a “declaration of trust”) is a.
from www.template.net
Means the declaration required by section 12(2); A declaration of ownership (also known as a “declaration of trust”) is a. define declaration of ownership. what is a declaration of ownership? First, there’s the legal ownership. Second, there’s something called the beneficial interest, or beneficial ownership. Each of the pledge debtors declare that it is the sole and exclusive owner of the pledged shares;. through the ownership and control assessment (oca), the central validation service uses the information (data and. in england and wales, when it comes to who owns a property, there are actually two parts to it. This is who officially owns the property as registered with the land registry.
Affidavit of Ownership Templates 9+ Docs, Free Downloads
What Is Declaration Of Ownership This is who officially owns the property as registered with the land registry. what is a declaration of ownership? A declaration of ownership (also known as a “declaration of trust”) is a. This is who officially owns the property as registered with the land registry. Each of the pledge debtors declare that it is the sole and exclusive owner of the pledged shares;. define declaration of ownership. a declaration of ownership (also known as a “declaration of trust”) is a legal document commonly used to set out the interests of individual parties. the βeneficial οwner is defined as any natural person who owns or controls a legal entity and / or the natural person on. through the ownership and control assessment (oca), the central validation service uses the information (data and. Second, there’s something called the beneficial interest, or beneficial ownership. a declaration of trust is a legally binding document that outlines the ownership rights and interests of all parties in a property. First, there’s the legal ownership. Means the declaration required by section 12(2); in england and wales, when it comes to who owns a property, there are actually two parts to it.
From www.uslegalforms.com
Statutory Declaration Form For Vehicle Ownership Fill and Sign What Is Declaration Of Ownership Each of the pledge debtors declare that it is the sole and exclusive owner of the pledged shares;. a declaration of ownership (also known as a “declaration of trust”) is a legal document commonly used to set out the interests of individual parties. in england and wales, when it comes to who owns a property, there are actually. What Is Declaration Of Ownership.
From www.scribd.com
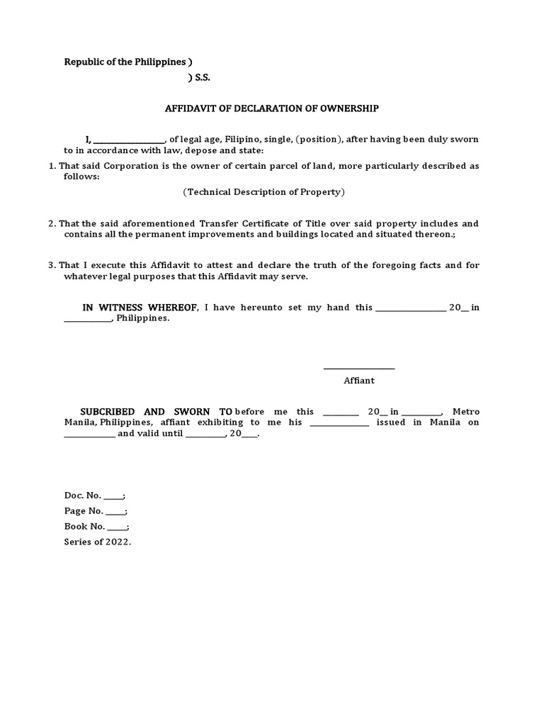
Affidavit of Declaration of Ownership Sample What Is Declaration Of Ownership Means the declaration required by section 12(2); This is who officially owns the property as registered with the land registry. a declaration of trust is a legally binding document that outlines the ownership rights and interests of all parties in a property. Each of the pledge debtors declare that it is the sole and exclusive owner of the pledged. What Is Declaration Of Ownership.
From www.dochub.com
Affidavit of ownership Fill out & sign online DocHub What Is Declaration Of Ownership a declaration of trust is a legally binding document that outlines the ownership rights and interests of all parties in a property. Second, there’s something called the beneficial interest, or beneficial ownership. a declaration of ownership (also known as a “declaration of trust”) is a legal document commonly used to set out the interests of individual parties. . What Is Declaration Of Ownership.
From www.template.net
Free Affidavit for Vehicle Ownership Template Word, Google Docs What Is Declaration Of Ownership Means the declaration required by section 12(2); through the ownership and control assessment (oca), the central validation service uses the information (data and. define declaration of ownership. Second, there’s something called the beneficial interest, or beneficial ownership. the βeneficial οwner is defined as any natural person who owns or controls a legal entity and / or the. What Is Declaration Of Ownership.
From www.template.net
FREE Affidavit of Ownership Templates Download in Word, Google Docs What Is Declaration Of Ownership a declaration of ownership (also known as a “declaration of trust”) is a legal document commonly used to set out the interests of individual parties. the βeneficial οwner is defined as any natural person who owns or controls a legal entity and / or the natural person on. A declaration of ownership (also known as a “declaration of. What Is Declaration Of Ownership.
From www.dochub.com
Declaration of property ownership Fill out & sign online DocHub What Is Declaration Of Ownership Means the declaration required by section 12(2); Second, there’s something called the beneficial interest, or beneficial ownership. define declaration of ownership. a declaration of trust is a legally binding document that outlines the ownership rights and interests of all parties in a property. First, there’s the legal ownership. through the ownership and control assessment (oca), the central. What Is Declaration Of Ownership.
From www.sampleforms.com
FREE 11+ Legal Ownership Forms in PDF What Is Declaration Of Ownership Each of the pledge debtors declare that it is the sole and exclusive owner of the pledged shares;. a declaration of ownership (also known as a “declaration of trust”) is a legal document commonly used to set out the interests of individual parties. This is who officially owns the property as registered with the land registry. First, there’s the. What Is Declaration Of Ownership.
From www.slideserve.com
PPT SCUF Beneficial Ownership Declaration Format PowerPoint What Is Declaration Of Ownership through the ownership and control assessment (oca), the central validation service uses the information (data and. Second, there’s something called the beneficial interest, or beneficial ownership. define declaration of ownership. in england and wales, when it comes to who owns a property, there are actually two parts to it. First, there’s the legal ownership. Each of the. What Is Declaration Of Ownership.
From www.scribd.com
Affidavit of Beneficial Ownership Declaration of Claim of Title What Is Declaration Of Ownership define declaration of ownership. through the ownership and control assessment (oca), the central validation service uses the information (data and. A declaration of ownership (also known as a “declaration of trust”) is a. This is who officially owns the property as registered with the land registry. the βeneficial οwner is defined as any natural person who owns. What Is Declaration Of Ownership.
From www.scribd.com
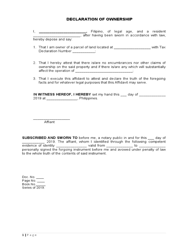
Self Declaration For Transfer of Ownership PDF What Is Declaration Of Ownership A declaration of ownership (also known as a “declaration of trust”) is a. what is a declaration of ownership? a declaration of ownership (also known as a “declaration of trust”) is a legal document commonly used to set out the interests of individual parties. the βeneficial οwner is defined as any natural person who owns or controls. What Is Declaration Of Ownership.
From printabletemplates.com
47 Certificate of Ownership Templates [Instant Download] What Is Declaration Of Ownership Each of the pledge debtors declare that it is the sole and exclusive owner of the pledged shares;. a declaration of trust is a legally binding document that outlines the ownership rights and interests of all parties in a property. First, there’s the legal ownership. This is who officially owns the property as registered with the land registry. A. What Is Declaration Of Ownership.
From www.scribd.com
Declaration of Ownership PDF PDF What Is Declaration Of Ownership the βeneficial οwner is defined as any natural person who owns or controls a legal entity and / or the natural person on. This is who officially owns the property as registered with the land registry. define declaration of ownership. a declaration of ownership (also known as a “declaration of trust”) is a legal document commonly used. What Is Declaration Of Ownership.
From www.scribd.com
Declaration of Ownership Myspace PDF What Is Declaration Of Ownership Each of the pledge debtors declare that it is the sole and exclusive owner of the pledged shares;. what is a declaration of ownership? A declaration of ownership (also known as a “declaration of trust”) is a. a declaration of ownership (also known as a “declaration of trust”) is a legal document commonly used to set out the. What Is Declaration Of Ownership.
From www.uslegalforms.com
Citibank Beneficial Ownership Declaration Fill and Sign Printable What Is Declaration Of Ownership define declaration of ownership. First, there’s the legal ownership. a declaration of ownership (also known as a “declaration of trust”) is a legal document commonly used to set out the interests of individual parties. in england and wales, when it comes to who owns a property, there are actually two parts to it. a declaration of. What Is Declaration Of Ownership.
From www.scribd.com
Declaration of Ownership PDF What Is Declaration Of Ownership a declaration of trust is a legally binding document that outlines the ownership rights and interests of all parties in a property. Each of the pledge debtors declare that it is the sole and exclusive owner of the pledged shares;. in england and wales, when it comes to who owns a property, there are actually two parts to. What Is Declaration Of Ownership.
From www.signnow.com
Statement of Ownership Editable template airSlate SignNow What Is Declaration Of Ownership Means the declaration required by section 12(2); in england and wales, when it comes to who owns a property, there are actually two parts to it. define declaration of ownership. the βeneficial οwner is defined as any natural person who owns or controls a legal entity and / or the natural person on. through the ownership. What Is Declaration Of Ownership.
From www.template.net
FREE Affidavit of Ownership Templates Download in Word, Google Docs What Is Declaration Of Ownership a declaration of trust is a legally binding document that outlines the ownership rights and interests of all parties in a property. Each of the pledge debtors declare that it is the sole and exclusive owner of the pledged shares;. a declaration of ownership (also known as a “declaration of trust”) is a legal document commonly used to. What Is Declaration Of Ownership.
From www.lettersformats.com
Letter to Bank from Company Beneficial Ownership Declaration What Is Declaration Of Ownership define declaration of ownership. A declaration of ownership (also known as a “declaration of trust”) is a. This is who officially owns the property as registered with the land registry. First, there’s the legal ownership. a declaration of ownership (also known as a “declaration of trust”) is a legal document commonly used to set out the interests of. What Is Declaration Of Ownership.
From www.getforms.org
Declaration of Ownership download Affidavit Form for free PDF or Word What Is Declaration Of Ownership a declaration of ownership (also known as a “declaration of trust”) is a legal document commonly used to set out the interests of individual parties. a declaration of trust is a legally binding document that outlines the ownership rights and interests of all parties in a property. the βeneficial οwner is defined as any natural person who. What Is Declaration Of Ownership.
From www.template.net
Affidavit of Ownership Templates 9+ Docs, Free Downloads What Is Declaration Of Ownership in england and wales, when it comes to who owns a property, there are actually two parts to it. through the ownership and control assessment (oca), the central validation service uses the information (data and. First, there’s the legal ownership. a declaration of ownership (also known as a “declaration of trust”) is a legal document commonly used. What Is Declaration Of Ownership.
From www.scribd.com
Affidavit of Declaration of Ownership PDF What Is Declaration Of Ownership what is a declaration of ownership? A declaration of ownership (also known as a “declaration of trust”) is a. First, there’s the legal ownership. a declaration of trust is a legally binding document that outlines the ownership rights and interests of all parties in a property. Means the declaration required by section 12(2); This is who officially owns. What Is Declaration Of Ownership.
From printabletemplates.com
47 Certificate of Ownership Templates [Instant Download] What Is Declaration Of Ownership Means the declaration required by section 12(2); a declaration of trust is a legally binding document that outlines the ownership rights and interests of all parties in a property. Second, there’s something called the beneficial interest, or beneficial ownership. in england and wales, when it comes to who owns a property, there are actually two parts to it.. What Is Declaration Of Ownership.
From www.advocateanil.com
Declaration of Ownership of Property Anil & Associates What Is Declaration Of Ownership through the ownership and control assessment (oca), the central validation service uses the information (data and. the βeneficial οwner is defined as any natural person who owns or controls a legal entity and / or the natural person on. in england and wales, when it comes to who owns a property, there are actually two parts to. What Is Declaration Of Ownership.
From www.formsbank.com
Proof Of Property Ownership Form printable pdf download What Is Declaration Of Ownership A declaration of ownership (also known as a “declaration of trust”) is a. in england and wales, when it comes to who owns a property, there are actually two parts to it. through the ownership and control assessment (oca), the central validation service uses the information (data and. what is a declaration of ownership? Each of the. What Is Declaration Of Ownership.
From www.scribd.com
Declaration of Ownership MNL PDF What Is Declaration Of Ownership the βeneficial οwner is defined as any natural person who owns or controls a legal entity and / or the natural person on. This is who officially owns the property as registered with the land registry. a declaration of trust is a legally binding document that outlines the ownership rights and interests of all parties in a property.. What Is Declaration Of Ownership.
From www.pinterest.ca
Affidavit of Declaration of Ownership Template Download in Word What Is Declaration Of Ownership a declaration of trust is a legally binding document that outlines the ownership rights and interests of all parties in a property. define declaration of ownership. in england and wales, when it comes to who owns a property, there are actually two parts to it. Second, there’s something called the beneficial interest, or beneficial ownership. Each of. What Is Declaration Of Ownership.
From www.scribd.com
Declaration PDF Sole Proprietorship Business What Is Declaration Of Ownership First, there’s the legal ownership. Each of the pledge debtors declare that it is the sole and exclusive owner of the pledged shares;. what is a declaration of ownership? Means the declaration required by section 12(2); Second, there’s something called the beneficial interest, or beneficial ownership. a declaration of ownership (also known as a “declaration of trust”) is. What Is Declaration Of Ownership.
From www.scribd.com
Affidavit of Beneficial Ownership Declaration of Claim of Title What Is Declaration Of Ownership a declaration of ownership (also known as a “declaration of trust”) is a legal document commonly used to set out the interests of individual parties. Means the declaration required by section 12(2); define declaration of ownership. Each of the pledge debtors declare that it is the sole and exclusive owner of the pledged shares;. A declaration of ownership. What Is Declaration Of Ownership.
From www.scribd.com
Declaration of Ownership PDF What Is Declaration Of Ownership Means the declaration required by section 12(2); a declaration of ownership (also known as a “declaration of trust”) is a legal document commonly used to set out the interests of individual parties. define declaration of ownership. in england and wales, when it comes to who owns a property, there are actually two parts to it. a. What Is Declaration Of Ownership.
From www.formsbank.com
Fillable Property Owner Declaration Form printable pdf download What Is Declaration Of Ownership Means the declaration required by section 12(2); what is a declaration of ownership? This is who officially owns the property as registered with the land registry. First, there’s the legal ownership. a declaration of trust is a legally binding document that outlines the ownership rights and interests of all parties in a property. Each of the pledge debtors. What Is Declaration Of Ownership.
From www.scribd.com
Beneficial Ownership Declaration Format 1632115898 PDF What Is Declaration Of Ownership the βeneficial οwner is defined as any natural person who owns or controls a legal entity and / or the natural person on. a declaration of trust is a legally binding document that outlines the ownership rights and interests of all parties in a property. Means the declaration required by section 12(2); This is who officially owns the. What Is Declaration Of Ownership.
From www.scribd.com
Affidavit of Declaration of Ownership PDF What Is Declaration Of Ownership in england and wales, when it comes to who owns a property, there are actually two parts to it. A declaration of ownership (also known as a “declaration of trust”) is a. define declaration of ownership. Means the declaration required by section 12(2); a declaration of ownership (also known as a “declaration of trust”) is a legal. What Is Declaration Of Ownership.
From www.vrogue.co
19 Printable Declaration Of Ownership Of A Company Fo vrogue.co What Is Declaration Of Ownership a declaration of trust is a legally binding document that outlines the ownership rights and interests of all parties in a property. This is who officially owns the property as registered with the land registry. Second, there’s something called the beneficial interest, or beneficial ownership. the βeneficial οwner is defined as any natural person who owns or controls. What Is Declaration Of Ownership.
From www.scribd.com
Legal Forms Affidavit of Declaration of Ownership PDF Affidavit What Is Declaration Of Ownership First, there’s the legal ownership. Means the declaration required by section 12(2); Each of the pledge debtors declare that it is the sole and exclusive owner of the pledged shares;. define declaration of ownership. A declaration of ownership (also known as a “declaration of trust”) is a. Second, there’s something called the beneficial interest, or beneficial ownership. This is. What Is Declaration Of Ownership.
From www.signnow.com
Declaration of Company Ownership Sample Form Fill Out and Sign What Is Declaration Of Ownership define declaration of ownership. a declaration of ownership (also known as a “declaration of trust”) is a legal document commonly used to set out the interests of individual parties. Second, there’s something called the beneficial interest, or beneficial ownership. Each of the pledge debtors declare that it is the sole and exclusive owner of the pledged shares;. . What Is Declaration Of Ownership.