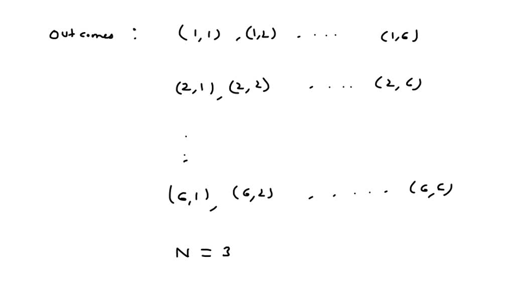
What Are The Chances Of Rolling Doubles With Two Dice . To understand why this is the case, we must. For example, to find the probability of rolling a full house (three of one number, two of another) in yahtzee ($n=6, k=5$) look at all the. If we roll two dice at the same time, the probability that both dice land on the same number (i.e. We roll “doubles”) is 6/36 or 1/6. This is because rolling one die is independent of rolling a second one. There are 36 outcomes when you throw two dice. Rolling two fair dice more than doubles the difficulty of calculating probabilities. Easy way to find the probability of getting doubles when you roll 2 dice. For example, when calculating the odds for rolling. One roll has no effect on. For a single die, there are six faces, and for any roll, there are six possible outcomes. To calculate the probability of a given outcome, multiply along each branch leading to that outcome and then sum up these values. See the chart of all. One solution is to say that p (2 sixes) = $\frac {1} {6}$ since the first die gives a 6, so. What is the probability of rolling a double 6?
from theprobability.netlify.app
To understand why this is the case, we must. For example, to find the probability of rolling a full house (three of one number, two of another) in yahtzee ($n=6, k=5$) look at all the. To calculate the probability of a given outcome, multiply along each branch leading to that outcome and then sum up these values. This is because rolling one die is independent of rolling a second one. If we roll two dice at the same time, the probability that both dice land on the same number (i.e. One roll has no effect on. What is the probability of rolling a double 6? We roll “doubles”) is 6/36 or 1/6. For a single die, there are six faces, and for any roll, there are six possible outcomes. There are 36 outcomes when you throw two dice.
Probability Of Two Dice theprobability
What Are The Chances Of Rolling Doubles With Two Dice To calculate the probability of a given outcome, multiply along each branch leading to that outcome and then sum up these values. Rolling two fair dice more than doubles the difficulty of calculating probabilities. We roll “doubles”) is 6/36 or 1/6. For example, when calculating the odds for rolling. This is because rolling one die is independent of rolling a second one. One solution is to say that p (2 sixes) = $\frac {1} {6}$ since the first die gives a 6, so. For example, to find the probability of rolling a full house (three of one number, two of another) in yahtzee ($n=6, k=5$) look at all the. To understand why this is the case, we must. One roll has no effect on. See the chart of all. What is the probability of rolling a double 6? There are 36 outcomes when you throw two dice. For a single die, there are six faces, and for any roll, there are six possible outcomes. To calculate the probability of a given outcome, multiply along each branch leading to that outcome and then sum up these values. If we roll two dice at the same time, the probability that both dice land on the same number (i.e. Easy way to find the probability of getting doubles when you roll 2 dice.
From www.youtube.com
Compound Probability Rolling Dice YouTube What Are The Chances Of Rolling Doubles With Two Dice For example, when calculating the odds for rolling. For example, to find the probability of rolling a full house (three of one number, two of another) in yahtzee ($n=6, k=5$) look at all the. One roll has no effect on. To calculate the probability of a given outcome, multiply along each branch leading to that outcome and then sum up. What Are The Chances Of Rolling Doubles With Two Dice.
From www.numerade.com
SOLVED Two standard dice are rolled. What is the probability of What Are The Chances Of Rolling Doubles With Two Dice This is because rolling one die is independent of rolling a second one. One solution is to say that p (2 sixes) = $\frac {1} {6}$ since the first die gives a 6, so. To calculate the probability of a given outcome, multiply along each branch leading to that outcome and then sum up these values. One roll has no. What Are The Chances Of Rolling Doubles With Two Dice.
From www.youtube.com
Probability of the Sum of Two Dice + Probability of Rolling Doubles What Are The Chances Of Rolling Doubles With Two Dice What is the probability of rolling a double 6? This is because rolling one die is independent of rolling a second one. To calculate the probability of a given outcome, multiply along each branch leading to that outcome and then sum up these values. One solution is to say that p (2 sixes) = $\frac {1} {6}$ since the first. What Are The Chances Of Rolling Doubles With Two Dice.
From www.youtube.com
Statistics Probability and Probability Distributions 7 On Rolling What Are The Chances Of Rolling Doubles With Two Dice This is because rolling one die is independent of rolling a second one. To calculate the probability of a given outcome, multiply along each branch leading to that outcome and then sum up these values. One solution is to say that p (2 sixes) = $\frac {1} {6}$ since the first die gives a 6, so. Easy way to find. What Are The Chances Of Rolling Doubles With Two Dice.
From www.thoughtco.com
Probabilities for Rolling Two Dice What Are The Chances Of Rolling Doubles With Two Dice Rolling two fair dice more than doubles the difficulty of calculating probabilities. There are 36 outcomes when you throw two dice. We roll “doubles”) is 6/36 or 1/6. One roll has no effect on. Easy way to find the probability of getting doubles when you roll 2 dice. This is because rolling one die is independent of rolling a second. What Are The Chances Of Rolling Doubles With Two Dice.
From scales.arabpsychology.com
What Is The Probability Of Rolling Doubles With Dice? What Are The Chances Of Rolling Doubles With Two Dice For example, when calculating the odds for rolling. See the chart of all. To understand why this is the case, we must. For example, to find the probability of rolling a full house (three of one number, two of another) in yahtzee ($n=6, k=5$) look at all the. One solution is to say that p (2 sixes) = $\frac {1}. What Are The Chances Of Rolling Doubles With Two Dice.
From www.youtube.com
Make a Bar Graph Example 2 Results of Rolling Two Dice YouTube What Are The Chances Of Rolling Doubles With Two Dice For example, when calculating the odds for rolling. Easy way to find the probability of getting doubles when you roll 2 dice. There are 36 outcomes when you throw two dice. For example, to find the probability of rolling a full house (three of one number, two of another) in yahtzee ($n=6, k=5$) look at all the. If we roll. What Are The Chances Of Rolling Doubles With Two Dice.
From www.youtube.com
Probability of Rolling Doubles with 2 Dice YouTube What Are The Chances Of Rolling Doubles With Two Dice One roll has no effect on. For a single die, there are six faces, and for any roll, there are six possible outcomes. For example, when calculating the odds for rolling. To understand why this is the case, we must. See the chart of all. There are 36 outcomes when you throw two dice. For example, to find the probability. What Are The Chances Of Rolling Doubles With Two Dice.
From ccssmathanswers.com
Probability for Rolling Two Dice Examples How to find Probability What Are The Chances Of Rolling Doubles With Two Dice To understand why this is the case, we must. We roll “doubles”) is 6/36 or 1/6. See the chart of all. This is because rolling one die is independent of rolling a second one. There are 36 outcomes when you throw two dice. For example, to find the probability of rolling a full house (three of one number, two of. What Are The Chances Of Rolling Doubles With Two Dice.
From www.slideserve.com
PPT Basic Probability PowerPoint Presentation, free download ID3380842 What Are The Chances Of Rolling Doubles With Two Dice This is because rolling one die is independent of rolling a second one. We roll “doubles”) is 6/36 or 1/6. One roll has no effect on. What is the probability of rolling a double 6? See the chart of all. For example, when calculating the odds for rolling. Rolling two fair dice more than doubles the difficulty of calculating probabilities.. What Are The Chances Of Rolling Doubles With Two Dice.
From mavink.com
Dice Rolling Probability Chart What Are The Chances Of Rolling Doubles With Two Dice There are 36 outcomes when you throw two dice. For example, to find the probability of rolling a full house (three of one number, two of another) in yahtzee ($n=6, k=5$) look at all the. See the chart of all. To understand why this is the case, we must. One roll has no effect on. If we roll two dice. What Are The Chances Of Rolling Doubles With Two Dice.
From www.numerade.com
SOLVED 0 1 12 What is the probability of rolling pair of dice and What Are The Chances Of Rolling Doubles With Two Dice Rolling two fair dice more than doubles the difficulty of calculating probabilities. One solution is to say that p (2 sixes) = $\frac {1} {6}$ since the first die gives a 6, so. There are 36 outcomes when you throw two dice. For example, to find the probability of rolling a full house (three of one number, two of another). What Are The Chances Of Rolling Doubles With Two Dice.
From www.vecteezy.com
dice roll probability table to calculate the probability of 2 dices What Are The Chances Of Rolling Doubles With Two Dice To understand why this is the case, we must. Easy way to find the probability of getting doubles when you roll 2 dice. For example, when calculating the odds for rolling. One roll has no effect on. To calculate the probability of a given outcome, multiply along each branch leading to that outcome and then sum up these values. See. What Are The Chances Of Rolling Doubles With Two Dice.
From 365datascience.com
Probability Distribution Uniform Distribution 365 Data Science What Are The Chances Of Rolling Doubles With Two Dice To calculate the probability of a given outcome, multiply along each branch leading to that outcome and then sum up these values. Rolling two fair dice more than doubles the difficulty of calculating probabilities. There are 36 outcomes when you throw two dice. What is the probability of rolling a double 6? One solution is to say that p (2. What Are The Chances Of Rolling Doubles With Two Dice.
From www.slideserve.com
PPT Theoretical Probability PowerPoint Presentation, free download What Are The Chances Of Rolling Doubles With Two Dice One roll has no effect on. Rolling two fair dice more than doubles the difficulty of calculating probabilities. This is because rolling one die is independent of rolling a second one. If we roll two dice at the same time, the probability that both dice land on the same number (i.e. There are 36 outcomes when you throw two dice.. What Are The Chances Of Rolling Doubles With Two Dice.
From www.numerade.com
SOLVED Two dice are rolled. Determine the probability of the following What Are The Chances Of Rolling Doubles With Two Dice Easy way to find the probability of getting doubles when you roll 2 dice. One roll has no effect on. To understand why this is the case, we must. This is because rolling one die is independent of rolling a second one. We roll “doubles”) is 6/36 or 1/6. For example, when calculating the odds for rolling. If we roll. What Are The Chances Of Rolling Doubles With Two Dice.
From www.youtube.com
Rolling Two Dice YouTube What Are The Chances Of Rolling Doubles With Two Dice If we roll two dice at the same time, the probability that both dice land on the same number (i.e. One solution is to say that p (2 sixes) = $\frac {1} {6}$ since the first die gives a 6, so. Rolling two fair dice more than doubles the difficulty of calculating probabilities. See the chart of all. To understand. What Are The Chances Of Rolling Doubles With Two Dice.
From theprobability.netlify.app
Probability Of Two Dice theprobability What Are The Chances Of Rolling Doubles With Two Dice If we roll two dice at the same time, the probability that both dice land on the same number (i.e. There are 36 outcomes when you throw two dice. This is because rolling one die is independent of rolling a second one. For example, to find the probability of rolling a full house (three of one number, two of another). What Are The Chances Of Rolling Doubles With Two Dice.
From www.numerade.com
Rolling Two Dice If two dice are rolled one time, find the probability What Are The Chances Of Rolling Doubles With Two Dice For example, to find the probability of rolling a full house (three of one number, two of another) in yahtzee ($n=6, k=5$) look at all the. See the chart of all. To understand why this is the case, we must. For a single die, there are six faces, and for any roll, there are six possible outcomes. If we roll. What Are The Chances Of Rolling Doubles With Two Dice.
From www.teachoo.com
[MCQ] Two dice are rolled simultaneously. What is the probability What Are The Chances Of Rolling Doubles With Two Dice One solution is to say that p (2 sixes) = $\frac {1} {6}$ since the first die gives a 6, so. To understand why this is the case, we must. See the chart of all. If we roll two dice at the same time, the probability that both dice land on the same number (i.e. We roll “doubles”) is 6/36. What Are The Chances Of Rolling Doubles With Two Dice.
From www.youtube.com
The Chances Rolling The Dice YouTube What Are The Chances Of Rolling Doubles With Two Dice If we roll two dice at the same time, the probability that both dice land on the same number (i.e. For example, to find the probability of rolling a full house (three of one number, two of another) in yahtzee ($n=6, k=5$) look at all the. There are 36 outcomes when you throw two dice. Rolling two fair dice more. What Are The Chances Of Rolling Doubles With Two Dice.
From www.youtube.com
Probability of Rolling Dice 051520 YouTube What Are The Chances Of Rolling Doubles With Two Dice One solution is to say that p (2 sixes) = $\frac {1} {6}$ since the first die gives a 6, so. See the chart of all. Rolling two fair dice more than doubles the difficulty of calculating probabilities. There are 36 outcomes when you throw two dice. What is the probability of rolling a double 6? We roll “doubles”) is. What Are The Chances Of Rolling Doubles With Two Dice.
From www.slideserve.com
PPT Theoretical Probability PowerPoint Presentation, free download What Are The Chances Of Rolling Doubles With Two Dice What is the probability of rolling a double 6? See the chart of all. To calculate the probability of a given outcome, multiply along each branch leading to that outcome and then sum up these values. There are 36 outcomes when you throw two dice. Rolling two fair dice more than doubles the difficulty of calculating probabilities. This is because. What Are The Chances Of Rolling Doubles With Two Dice.
From www.numerade.com
We roll two fair sixsided dice. Each one of the 36 possible What Are The Chances Of Rolling Doubles With Two Dice See the chart of all. For example, to find the probability of rolling a full house (three of one number, two of another) in yahtzee ($n=6, k=5$) look at all the. One roll has no effect on. Easy way to find the probability of getting doubles when you roll 2 dice. We roll “doubles”) is 6/36 or 1/6. What is. What Are The Chances Of Rolling Doubles With Two Dice.
From www.numerade.com
SOLVED QueSTion 5 Find the probability for a roll of two dice, Rolling What Are The Chances Of Rolling Doubles With Two Dice Rolling two fair dice more than doubles the difficulty of calculating probabilities. One roll has no effect on. For example, to find the probability of rolling a full house (three of one number, two of another) in yahtzee ($n=6, k=5$) look at all the. One solution is to say that p (2 sixes) = $\frac {1} {6}$ since the first. What Are The Chances Of Rolling Doubles With Two Dice.
From www.teachoo.com
Find the probability of getting a doublet in a throw of a pair of dice What Are The Chances Of Rolling Doubles With Two Dice To calculate the probability of a given outcome, multiply along each branch leading to that outcome and then sum up these values. What is the probability of rolling a double 6? We roll “doubles”) is 6/36 or 1/6. One solution is to say that p (2 sixes) = $\frac {1} {6}$ since the first die gives a 6, so. To. What Are The Chances Of Rolling Doubles With Two Dice.
From es.vecteezy.com
tabla de probabilidad de lanzamiento de dados para calcular la What Are The Chances Of Rolling Doubles With Two Dice For a single die, there are six faces, and for any roll, there are six possible outcomes. To understand why this is the case, we must. We roll “doubles”) is 6/36 or 1/6. One solution is to say that p (2 sixes) = $\frac {1} {6}$ since the first die gives a 6, so. This is because rolling one die. What Are The Chances Of Rolling Doubles With Two Dice.
From www.slideserve.com
PPT Intro to Probability & Games PowerPoint Presentation ID43114 What Are The Chances Of Rolling Doubles With Two Dice To understand why this is the case, we must. Rolling two fair dice more than doubles the difficulty of calculating probabilities. For a single die, there are six faces, and for any roll, there are six possible outcomes. There are 36 outcomes when you throw two dice. We roll “doubles”) is 6/36 or 1/6. For example, to find the probability. What Are The Chances Of Rolling Doubles With Two Dice.
From www.numerade.com
SOLVED Two dice are rolled. Determine the probability of the following What Are The Chances Of Rolling Doubles With Two Dice This is because rolling one die is independent of rolling a second one. What is the probability of rolling a double 6? To calculate the probability of a given outcome, multiply along each branch leading to that outcome and then sum up these values. To understand why this is the case, we must. We roll “doubles”) is 6/36 or 1/6.. What Are The Chances Of Rolling Doubles With Two Dice.
From www.numerade.com
SOLVED Two dice are rolled. Determine the probability of the following What Are The Chances Of Rolling Doubles With Two Dice For example, when calculating the odds for rolling. To understand why this is the case, we must. This is because rolling one die is independent of rolling a second one. For a single die, there are six faces, and for any roll, there are six possible outcomes. We roll “doubles”) is 6/36 or 1/6. One roll has no effect on.. What Are The Chances Of Rolling Doubles With Two Dice.
From tabletopgameplanet.com
Monopoly Rules Rolling Doubles Tabletop Game What Are The Chances Of Rolling Doubles With Two Dice For a single die, there are six faces, and for any roll, there are six possible outcomes. For example, when calculating the odds for rolling. We roll “doubles”) is 6/36 or 1/6. This is because rolling one die is independent of rolling a second one. Rolling two fair dice more than doubles the difficulty of calculating probabilities. For example, to. What Are The Chances Of Rolling Doubles With Two Dice.
From www.numerade.com
SOLVED If two dice are rolled, compute the probability of rolling What Are The Chances Of Rolling Doubles With Two Dice For example, to find the probability of rolling a full house (three of one number, two of another) in yahtzee ($n=6, k=5$) look at all the. One roll has no effect on. There are 36 outcomes when you throw two dice. This is because rolling one die is independent of rolling a second one. If we roll two dice at. What Are The Chances Of Rolling Doubles With Two Dice.
From rosalind.info
ROSALIND Independent Alleles What Are The Chances Of Rolling Doubles With Two Dice We roll “doubles”) is 6/36 or 1/6. For example, to find the probability of rolling a full house (three of one number, two of another) in yahtzee ($n=6, k=5$) look at all the. To understand why this is the case, we must. There are 36 outcomes when you throw two dice. One solution is to say that p (2 sixes). What Are The Chances Of Rolling Doubles With Two Dice.
From www.youtube.com
Probability of Doubles With 2 Dice Probability Of Any Doubles With What Are The Chances Of Rolling Doubles With Two Dice One roll has no effect on. If we roll two dice at the same time, the probability that both dice land on the same number (i.e. Easy way to find the probability of getting doubles when you roll 2 dice. This is because rolling one die is independent of rolling a second one. We roll “doubles”) is 6/36 or 1/6.. What Are The Chances Of Rolling Doubles With Two Dice.
From primarystarseducation.co.uk
Dice doubles Game Primary Stars Education What Are The Chances Of Rolling Doubles With Two Dice One roll has no effect on. If we roll two dice at the same time, the probability that both dice land on the same number (i.e. Rolling two fair dice more than doubles the difficulty of calculating probabilities. We roll “doubles”) is 6/36 or 1/6. For example, to find the probability of rolling a full house (three of one number,. What Are The Chances Of Rolling Doubles With Two Dice.