Saskatchewan Lease Land . Farmland leased in 2022 and 2023. The two most common types of lease arrangements are the crop share and cash lease arrangements. Find crown land available for. Find a land management specialist in your area. How to lease agricultural crown land. Andjelic land currently has holdings in 95 rural municipalities across saskatchewan making up around 232,808 acres under ownership. Download map with contact list. Annual lease rentals will be determined based on formula(s) listed in the provincial lands (agriculture) regulations. Access information on sales, leasing, development, land lease survey results, agricultural crown land search and more on. There are many other options, such as formula or. Agricultural crown land lease auctions have been paused to allow for the implementation of the first nation. In saskatchewan, crown lands are available for lease and sale in order to manage them in a sustainable fashion. The ministry of agriculture's online crown land database transitioned to a new tool, the crown land map viewer, in 2020.
from www.speedytemplate.com
Find a land management specialist in your area. There are many other options, such as formula or. Farmland leased in 2022 and 2023. The ministry of agriculture's online crown land database transitioned to a new tool, the crown land map viewer, in 2020. Annual lease rentals will be determined based on formula(s) listed in the provincial lands (agriculture) regulations. Find crown land available for. Download map with contact list. Agricultural crown land lease auctions have been paused to allow for the implementation of the first nation. Andjelic land currently has holdings in 95 rural municipalities across saskatchewan making up around 232,808 acres under ownership. Access information on sales, leasing, development, land lease survey results, agricultural crown land search and more on.
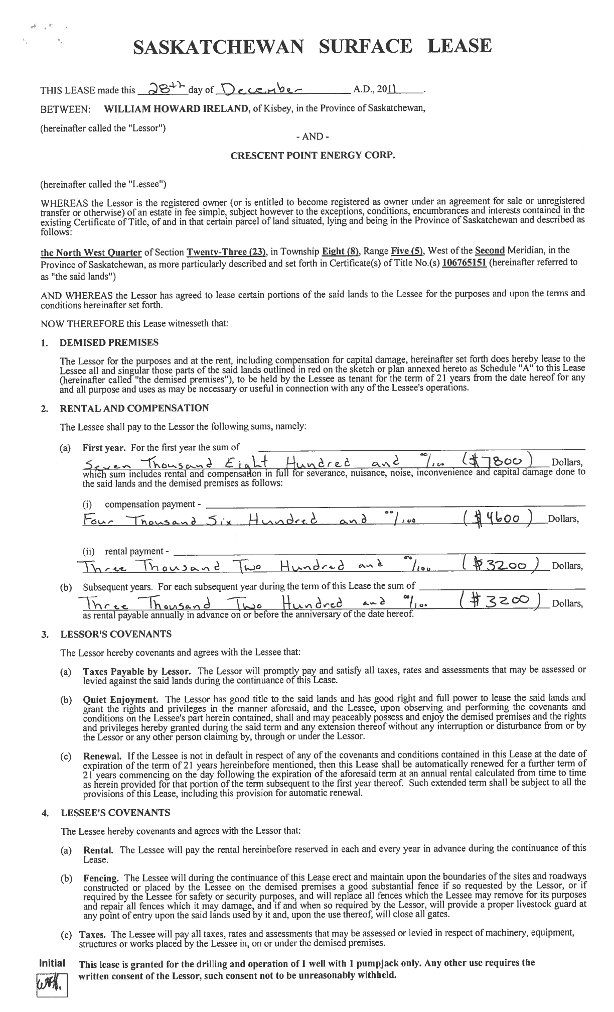
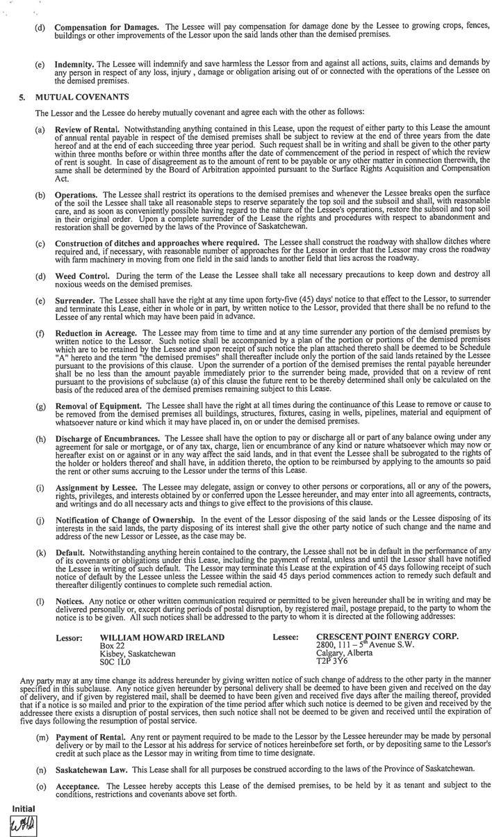
Free Saskatchewan Surface Lease Sample PDF 441KB 10 Page(s) Page 4
Saskatchewan Lease Land Download map with contact list. In saskatchewan, crown lands are available for lease and sale in order to manage them in a sustainable fashion. Access information on sales, leasing, development, land lease survey results, agricultural crown land search and more on. Andjelic land currently has holdings in 95 rural municipalities across saskatchewan making up around 232,808 acres under ownership. Download map with contact list. The ministry of agriculture's online crown land database transitioned to a new tool, the crown land map viewer, in 2020. Annual lease rentals will be determined based on formula(s) listed in the provincial lands (agriculture) regulations. There are many other options, such as formula or. Farmland leased in 2022 and 2023. How to lease agricultural crown land. Find a land management specialist in your area. Find crown land available for. The two most common types of lease arrangements are the crop share and cash lease arrangements. Agricultural crown land lease auctions have been paused to allow for the implementation of the first nation.
From www.speedytemplate.com
Free Saskatchewan Pasture Lease Agreement Sample PDF 118KB 6 Page Saskatchewan Lease Land Access information on sales, leasing, development, land lease survey results, agricultural crown land search and more on. Annual lease rentals will be determined based on formula(s) listed in the provincial lands (agriculture) regulations. Find a land management specialist in your area. Agricultural crown land lease auctions have been paused to allow for the implementation of the first nation. Farmland leased. Saskatchewan Lease Land.
From www.pinterest.com
Free Saskatchewan Pasture Lease Agreement Sample PDF 118KB 6 Page(s) Saskatchewan Lease Land Access information on sales, leasing, development, land lease survey results, agricultural crown land search and more on. How to lease agricultural crown land. Farmland leased in 2022 and 2023. Annual lease rentals will be determined based on formula(s) listed in the provincial lands (agriculture) regulations. Agricultural crown land lease auctions have been paused to allow for the implementation of the. Saskatchewan Lease Land.
From www.formsbirds.com
Residential Lease Agreement Saskatchewan Free Download Saskatchewan Lease Land The ministry of agriculture's online crown land database transitioned to a new tool, the crown land map viewer, in 2020. Find crown land available for. In saskatchewan, crown lands are available for lease and sale in order to manage them in a sustainable fashion. Agricultural crown land lease auctions have been paused to allow for the implementation of the first. Saskatchewan Lease Land.
From www.formsbirds.com
Residential Lease Agreement Saskatchewan Free Download Saskatchewan Lease Land Agricultural crown land lease auctions have been paused to allow for the implementation of the first nation. Farmland leased in 2022 and 2023. The two most common types of lease arrangements are the crop share and cash lease arrangements. The ministry of agriculture's online crown land database transitioned to a new tool, the crown land map viewer, in 2020. Annual. Saskatchewan Lease Land.
From ar.inspiredpencil.com
Saskatchewan Rental Agreement Template Saskatchewan Lease Land Find a land management specialist in your area. Farmland leased in 2022 and 2023. Download map with contact list. Andjelic land currently has holdings in 95 rural municipalities across saskatchewan making up around 232,808 acres under ownership. Find crown land available for. The two most common types of lease arrangements are the crop share and cash lease arrangements. The ministry. Saskatchewan Lease Land.
From www.pinterest.com
Free Residential Lease Agreement Saskatchewan PDF 220KB 3 Page(s Saskatchewan Lease Land Agricultural crown land lease auctions have been paused to allow for the implementation of the first nation. The two most common types of lease arrangements are the crop share and cash lease arrangements. Farmland leased in 2022 and 2023. Find crown land available for. Access information on sales, leasing, development, land lease survey results, agricultural crown land search and more. Saskatchewan Lease Land.
From globalnews.ca
Financial boost for Saskatchewan rural roads Globalnews.ca Saskatchewan Lease Land In saskatchewan, crown lands are available for lease and sale in order to manage them in a sustainable fashion. Andjelic land currently has holdings in 95 rural municipalities across saskatchewan making up around 232,808 acres under ownership. Farmland leased in 2022 and 2023. Download map with contact list. How to lease agricultural crown land. Agricultural crown land lease auctions have. Saskatchewan Lease Land.
From pdfsimpli.com
Residential Lease Agreement Saskatchewan PDFSimpli Saskatchewan Lease Land Annual lease rentals will be determined based on formula(s) listed in the provincial lands (agriculture) regulations. Download map with contact list. There are many other options, such as formula or. In saskatchewan, crown lands are available for lease and sale in order to manage them in a sustainable fashion. Farmland leased in 2022 and 2023. Andjelic land currently has holdings. Saskatchewan Lease Land.
From www.dochub.com
Saskatchewan rental agreement pdf Fill out & sign online DocHub Saskatchewan Lease Land In saskatchewan, crown lands are available for lease and sale in order to manage them in a sustainable fashion. The ministry of agriculture's online crown land database transitioned to a new tool, the crown land map viewer, in 2020. Download map with contact list. The two most common types of lease arrangements are the crop share and cash lease arrangements.. Saskatchewan Lease Land.
From www.scribd.com
Saskatchewan Ministry of Agriculture Land Lease Survey January 2017 Saskatchewan Lease Land Access information on sales, leasing, development, land lease survey results, agricultural crown land search and more on. Find a land management specialist in your area. How to lease agricultural crown land. Agricultural crown land lease auctions have been paused to allow for the implementation of the first nation. Farmland leased in 2022 and 2023. Andjelic land currently has holdings in. Saskatchewan Lease Land.
From www.speedytemplate.com
Free Saskatchewan Pasture Lease Agreement Sample PDF 118KB 6 Page Saskatchewan Lease Land Download map with contact list. The two most common types of lease arrangements are the crop share and cash lease arrangements. Farmland leased in 2022 and 2023. In saskatchewan, crown lands are available for lease and sale in order to manage them in a sustainable fashion. Find crown land available for. How to lease agricultural crown land. There are many. Saskatchewan Lease Land.
From www.speedytemplate.com
Free Saskatchewan Pasture Lease Agreement Sample PDF 118KB 6 Page Saskatchewan Lease Land Find crown land available for. There are many other options, such as formula or. Download map with contact list. How to lease agricultural crown land. The ministry of agriculture's online crown land database transitioned to a new tool, the crown land map viewer, in 2020. The two most common types of lease arrangements are the crop share and cash lease. Saskatchewan Lease Land.
From www.speedytemplate.com
Free Saskatchewan Lease Agreement for the Rental of Artistic Works Form Saskatchewan Lease Land Download map with contact list. The ministry of agriculture's online crown land database transitioned to a new tool, the crown land map viewer, in 2020. There are many other options, such as formula or. The two most common types of lease arrangements are the crop share and cash lease arrangements. Farmland leased in 2022 and 2023. Find a land management. Saskatchewan Lease Land.
From cressmanrpm.ca
Saskatchewan Breaking Lease Cressman Saskatchewan Lease Land The ministry of agriculture's online crown land database transitioned to a new tool, the crown land map viewer, in 2020. How to lease agricultural crown land. Download map with contact list. The two most common types of lease arrangements are the crop share and cash lease arrangements. In saskatchewan, crown lands are available for lease and sale in order to. Saskatchewan Lease Land.
From northatlanticpotash.com
Saskatchewan Projects North Atlantic Potash Saskatchewan Lease Land In saskatchewan, crown lands are available for lease and sale in order to manage them in a sustainable fashion. Access information on sales, leasing, development, land lease survey results, agricultural crown land search and more on. Annual lease rentals will be determined based on formula(s) listed in the provincial lands (agriculture) regulations. Farmland leased in 2022 and 2023. How to. Saskatchewan Lease Land.
From www.templateroller.com
Saskatchewan Canada Application to Purchase Agricultural Lease Land Saskatchewan Lease Land In saskatchewan, crown lands are available for lease and sale in order to manage them in a sustainable fashion. Annual lease rentals will be determined based on formula(s) listed in the provincial lands (agriculture) regulations. The ministry of agriculture's online crown land database transitioned to a new tool, the crown land map viewer, in 2020. Download map with contact list.. Saskatchewan Lease Land.
From ar.inspiredpencil.com
Saskatchewan Rental Agreement Template Saskatchewan Lease Land There are many other options, such as formula or. Agricultural crown land lease auctions have been paused to allow for the implementation of the first nation. Andjelic land currently has holdings in 95 rural municipalities across saskatchewan making up around 232,808 acres under ownership. Find a land management specialist in your area. Access information on sales, leasing, development, land lease. Saskatchewan Lease Land.
From www.timhammond.ca
RM 561 Loon Lake 820 Acres Deeded, 322 Acres Crown Lease, Loon Lake Saskatchewan Lease Land There are many other options, such as formula or. The ministry of agriculture's online crown land database transitioned to a new tool, the crown land map viewer, in 2020. Find a land management specialist in your area. Find crown land available for. How to lease agricultural crown land. Agricultural crown land lease auctions have been paused to allow for the. Saskatchewan Lease Land.
From www.templateroller.com
Saskatchewan Canada Application to Purchase Agricultural Lease Land Saskatchewan Lease Land How to lease agricultural crown land. Farmland leased in 2022 and 2023. Annual lease rentals will be determined based on formula(s) listed in the provincial lands (agriculture) regulations. There are many other options, such as formula or. The ministry of agriculture's online crown land database transitioned to a new tool, the crown land map viewer, in 2020. The two most. Saskatchewan Lease Land.
From www.speedytemplate.com
Free Saskatchewan Surface Lease Sample PDF 441KB 10 Page(s) Page 6 Saskatchewan Lease Land How to lease agricultural crown land. The ministry of agriculture's online crown land database transitioned to a new tool, the crown land map viewer, in 2020. Access information on sales, leasing, development, land lease survey results, agricultural crown land search and more on. There are many other options, such as formula or. Find a land management specialist in your area.. Saskatchewan Lease Land.
From www.templateroller.com
Saskatchewan Canada MonthToMonth Tenancy Agreement for Saskatchewan Saskatchewan Lease Land The ministry of agriculture's online crown land database transitioned to a new tool, the crown land map viewer, in 2020. Annual lease rentals will be determined based on formula(s) listed in the provincial lands (agriculture) regulations. The two most common types of lease arrangements are the crop share and cash lease arrangements. Download map with contact list. Andjelic land currently. Saskatchewan Lease Land.
From www.producer.com
Saskatchewan Public Land Needs Better Access Saskatchewan Lease Land Annual lease rentals will be determined based on formula(s) listed in the provincial lands (agriculture) regulations. The two most common types of lease arrangements are the crop share and cash lease arrangements. Farmland leased in 2022 and 2023. Download map with contact list. Andjelic land currently has holdings in 95 rural municipalities across saskatchewan making up around 232,808 acres under. Saskatchewan Lease Land.
From www.speedytemplate.com
Free Saskatchewan Surface Lease Sample PDF 441KB 10 Page(s) Page 4 Saskatchewan Lease Land Download map with contact list. There are many other options, such as formula or. Annual lease rentals will be determined based on formula(s) listed in the provincial lands (agriculture) regulations. Find crown land available for. Andjelic land currently has holdings in 95 rural municipalities across saskatchewan making up around 232,808 acres under ownership. In saskatchewan, crown lands are available for. Saskatchewan Lease Land.
From www.reserveroyalty.ca
LEASING OPPORTUNITIES Saskatchewan Area 1 Reserve Royalty Saskatchewan Lease Land Download map with contact list. Annual lease rentals will be determined based on formula(s) listed in the provincial lands (agriculture) regulations. How to lease agricultural crown land. In saskatchewan, crown lands are available for lease and sale in order to manage them in a sustainable fashion. Andjelic land currently has holdings in 95 rural municipalities across saskatchewan making up around. Saskatchewan Lease Land.
From www.speedytemplate.com
Free Saskatchewan Surface Lease Sample PDF 441KB 10 Page(s) Page 5 Saskatchewan Lease Land Agricultural crown land lease auctions have been paused to allow for the implementation of the first nation. The two most common types of lease arrangements are the crop share and cash lease arrangements. Annual lease rentals will be determined based on formula(s) listed in the provincial lands (agriculture) regulations. There are many other options, such as formula or. Find crown. Saskatchewan Lease Land.
From williamson-ga.us
Farm Land Rent Contract Template Saskatchewan Farm Land Cash Lease Saskatchewan Lease Land There are many other options, such as formula or. Find a land management specialist in your area. The two most common types of lease arrangements are the crop share and cash lease arrangements. Agricultural crown land lease auctions have been paused to allow for the implementation of the first nation. Access information on sales, leasing, development, land lease survey results,. Saskatchewan Lease Land.
From www.speedytemplate.com
Free Saskatchewan Lease Agreement for the Rental of Artistic Works Form Saskatchewan Lease Land Agricultural crown land lease auctions have been paused to allow for the implementation of the first nation. Annual lease rentals will be determined based on formula(s) listed in the provincial lands (agriculture) regulations. Farmland leased in 2022 and 2023. Find a land management specialist in your area. The two most common types of lease arrangements are the crop share and. Saskatchewan Lease Land.
From pdfsimpli.com
Saskatchewan Lease Agreement For The Rental Of Artistic Works Form Saskatchewan Lease Land Annual lease rentals will be determined based on formula(s) listed in the provincial lands (agriculture) regulations. Agricultural crown land lease auctions have been paused to allow for the implementation of the first nation. Find a land management specialist in your area. How to lease agricultural crown land. There are many other options, such as formula or. Farmland leased in 2022. Saskatchewan Lease Land.
From www.speedytemplate.com
Free Saskatchewan Surface Lease Sample PDF 441KB 10 Page(s) Page 7 Saskatchewan Lease Land Find a land management specialist in your area. The two most common types of lease arrangements are the crop share and cash lease arrangements. Andjelic land currently has holdings in 95 rural municipalities across saskatchewan making up around 232,808 acres under ownership. Download map with contact list. Find crown land available for. The ministry of agriculture's online crown land database. Saskatchewan Lease Land.
From www.megadox.com
Saskatchewan Farm Land Cash Lease Agreement Legal Forms and Business Saskatchewan Lease Land The two most common types of lease arrangements are the crop share and cash lease arrangements. Farmland leased in 2022 and 2023. There are many other options, such as formula or. Agricultural crown land lease auctions have been paused to allow for the implementation of the first nation. Access information on sales, leasing, development, land lease survey results, agricultural crown. Saskatchewan Lease Land.
From www.speedytemplate.com
Free Saskatchewan Surface Lease Sample PDF 441KB 10 Page(s) Page 3 Saskatchewan Lease Land Agricultural crown land lease auctions have been paused to allow for the implementation of the first nation. Access information on sales, leasing, development, land lease survey results, agricultural crown land search and more on. Download map with contact list. Find a land management specialist in your area. Andjelic land currently has holdings in 95 rural municipalities across saskatchewan making up. Saskatchewan Lease Land.
From www.speedytemplate.com
Free Saskatchewan Surface Lease Sample PDF 441KB 10 Page(s) Saskatchewan Lease Land Download map with contact list. The two most common types of lease arrangements are the crop share and cash lease arrangements. Andjelic land currently has holdings in 95 rural municipalities across saskatchewan making up around 232,808 acres under ownership. Find a land management specialist in your area. Find crown land available for. How to lease agricultural crown land. Access information. Saskatchewan Lease Land.
From www.speedytemplate.com
Free Saskatchewan Surface Lease Sample PDF 441KB 10 Page(s) Page 2 Saskatchewan Lease Land Annual lease rentals will be determined based on formula(s) listed in the provincial lands (agriculture) regulations. The ministry of agriculture's online crown land database transitioned to a new tool, the crown land map viewer, in 2020. Find a land management specialist in your area. Agricultural crown land lease auctions have been paused to allow for the implementation of the first. Saskatchewan Lease Land.
From www.templateroller.com
Saskatchewan Canada Application to Purchase Agricultural Lease Land Saskatchewan Lease Land There are many other options, such as formula or. In saskatchewan, crown lands are available for lease and sale in order to manage them in a sustainable fashion. The ministry of agriculture's online crown land database transitioned to a new tool, the crown land map viewer, in 2020. Annual lease rentals will be determined based on formula(s) listed in the. Saskatchewan Lease Land.
From www.gooddoors.com
Breaking a Lease Agreement in Saskatchewan GoodDoors Property Management Saskatchewan Lease Land Agricultural crown land lease auctions have been paused to allow for the implementation of the first nation. Find a land management specialist in your area. Farmland leased in 2022 and 2023. Access information on sales, leasing, development, land lease survey results, agricultural crown land search and more on. How to lease agricultural crown land. The two most common types of. Saskatchewan Lease Land.