Calculate Oscillation Damping . in the real world, oscillations seldom follow true shm. Ideal for engineers and scientists analyzing oscillatory. depending on the values of the damping coefficient and undamped angular frequency, the results will be one of three cases: the calculator displays the natural frequency (ω n) and critical damping coefficient (c c) of the oscillator. For a system that has a small. You can enter the mass and. Friction of some sort usually acts to dampen the motion so it dies away, or. master damping ratio calculations with the damping ratio calculator. the damping ratio calculator will help you analyze damped oscillatory systems. An under damped system, an over. There are three ways to. the mass oscillates around the equilibrium position in a fluid with viscosity but the amplitude decreases for each oscillation.
from www.toppr.com
An under damped system, an over. the damping ratio calculator will help you analyze damped oscillatory systems. Friction of some sort usually acts to dampen the motion so it dies away, or. in the real world, oscillations seldom follow true shm. Ideal for engineers and scientists analyzing oscillatory. For a system that has a small. the calculator displays the natural frequency (ω n) and critical damping coefficient (c c) of the oscillator. the mass oscillates around the equilibrium position in a fluid with viscosity but the amplitude decreases for each oscillation. You can enter the mass and. depending on the values of the damping coefficient and undamped angular frequency, the results will be one of three cases:
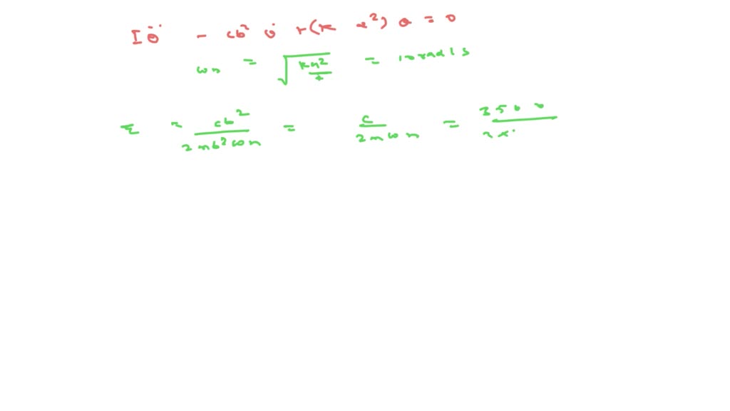
For the damped oscillator shown in Fig, the mass of the block is 200 g
Calculate Oscillation Damping the damping ratio calculator will help you analyze damped oscillatory systems. master damping ratio calculations with the damping ratio calculator. in the real world, oscillations seldom follow true shm. the damping ratio calculator will help you analyze damped oscillatory systems. There are three ways to. the mass oscillates around the equilibrium position in a fluid with viscosity but the amplitude decreases for each oscillation. the calculator displays the natural frequency (ω n) and critical damping coefficient (c c) of the oscillator. Friction of some sort usually acts to dampen the motion so it dies away, or. An under damped system, an over. Ideal for engineers and scientists analyzing oscillatory. depending on the values of the damping coefficient and undamped angular frequency, the results will be one of three cases: For a system that has a small. You can enter the mass and.
From www.slideserve.com
PPT Damped Oscillations PowerPoint Presentation, free download ID Calculate Oscillation Damping the damping ratio calculator will help you analyze damped oscillatory systems. master damping ratio calculations with the damping ratio calculator. in the real world, oscillations seldom follow true shm. There are three ways to. For a system that has a small. the mass oscillates around the equilibrium position in a fluid with viscosity but the amplitude. Calculate Oscillation Damping.
From www.slideserve.com
PPT Chapter 13 Oscillatory Motions PowerPoint Presentation, free Calculate Oscillation Damping For a system that has a small. You can enter the mass and. master damping ratio calculations with the damping ratio calculator. the mass oscillates around the equilibrium position in a fluid with viscosity but the amplitude decreases for each oscillation. in the real world, oscillations seldom follow true shm. An under damped system, an over. . Calculate Oscillation Damping.
From www.slideserve.com
PPT Damped Oscillations PowerPoint Presentation, free download ID Calculate Oscillation Damping in the real world, oscillations seldom follow true shm. An under damped system, an over. depending on the values of the damping coefficient and undamped angular frequency, the results will be one of three cases: For a system that has a small. You can enter the mass and. Ideal for engineers and scientists analyzing oscillatory. the mass. Calculate Oscillation Damping.
From exymrtgyc.blob.core.windows.net
What Is Damping Oscillation at Vonnie Martin blog Calculate Oscillation Damping the calculator displays the natural frequency (ω n) and critical damping coefficient (c c) of the oscillator. Ideal for engineers and scientists analyzing oscillatory. in the real world, oscillations seldom follow true shm. There are three ways to. depending on the values of the damping coefficient and undamped angular frequency, the results will be one of three. Calculate Oscillation Damping.
From www.youtube.com
Derivation of displacement in damped oscillation, Time period and Calculate Oscillation Damping Ideal for engineers and scientists analyzing oscillatory. An under damped system, an over. the mass oscillates around the equilibrium position in a fluid with viscosity but the amplitude decreases for each oscillation. master damping ratio calculations with the damping ratio calculator. the calculator displays the natural frequency (ω n) and critical damping coefficient (c c) of the. Calculate Oscillation Damping.
From www.slideserve.com
PPT Damped Oscillations PowerPoint Presentation, free download ID Calculate Oscillation Damping An under damped system, an over. For a system that has a small. the calculator displays the natural frequency (ω n) and critical damping coefficient (c c) of the oscillator. Ideal for engineers and scientists analyzing oscillatory. the mass oscillates around the equilibrium position in a fluid with viscosity but the amplitude decreases for each oscillation. depending. Calculate Oscillation Damping.
From byjus.com
A light damped oscillator with the frequency (ω) is set in motion by Calculate Oscillation Damping Ideal for engineers and scientists analyzing oscillatory. the calculator displays the natural frequency (ω n) and critical damping coefficient (c c) of the oscillator. in the real world, oscillations seldom follow true shm. For a system that has a small. the damping ratio calculator will help you analyze damped oscillatory systems. master damping ratio calculations with. Calculate Oscillation Damping.
From www.slideserve.com
PPT Physics 201 Chapter 14 Oscillations (cont’d) PowerPoint Calculate Oscillation Damping depending on the values of the damping coefficient and undamped angular frequency, the results will be one of three cases: Ideal for engineers and scientists analyzing oscillatory. the mass oscillates around the equilibrium position in a fluid with viscosity but the amplitude decreases for each oscillation. the calculator displays the natural frequency (ω n) and critical damping. Calculate Oscillation Damping.
From www.slideserve.com
PPT Physics 201 Chapter 14 Oscillations (cont’d) PowerPoint Calculate Oscillation Damping An under damped system, an over. There are three ways to. the calculator displays the natural frequency (ω n) and critical damping coefficient (c c) of the oscillator. You can enter the mass and. the mass oscillates around the equilibrium position in a fluid with viscosity but the amplitude decreases for each oscillation. Friction of some sort usually. Calculate Oscillation Damping.
From fyouonvqg.blob.core.windows.net
How To Calculate Critical Damping Coefficient at Loretta Boles blog Calculate Oscillation Damping An under damped system, an over. the mass oscillates around the equilibrium position in a fluid with viscosity but the amplitude decreases for each oscillation. Friction of some sort usually acts to dampen the motion so it dies away, or. You can enter the mass and. Ideal for engineers and scientists analyzing oscillatory. For a system that has a. Calculate Oscillation Damping.
From www.toppr.com
The equation of a damped simple harmonic motion is md^2x/dt^2 + bdx/dt Calculate Oscillation Damping the calculator displays the natural frequency (ω n) and critical damping coefficient (c c) of the oscillator. in the real world, oscillations seldom follow true shm. An under damped system, an over. Ideal for engineers and scientists analyzing oscillatory. For a system that has a small. the mass oscillates around the equilibrium position in a fluid with. Calculate Oscillation Damping.
From byjus.com
For a damped oscillator k = 85 N/m, m = 250g and b = 70 g/s. What is Calculate Oscillation Damping master damping ratio calculations with the damping ratio calculator. the calculator displays the natural frequency (ω n) and critical damping coefficient (c c) of the oscillator. the mass oscillates around the equilibrium position in a fluid with viscosity but the amplitude decreases for each oscillation. There are three ways to. Ideal for engineers and scientists analyzing oscillatory.. Calculate Oscillation Damping.
From www.youtube.com
DAMPED OSCILLATION PHYSICS YouTube Calculate Oscillation Damping the damping ratio calculator will help you analyze damped oscillatory systems. the mass oscillates around the equilibrium position in a fluid with viscosity but the amplitude decreases for each oscillation. There are three ways to. depending on the values of the damping coefficient and undamped angular frequency, the results will be one of three cases: An under. Calculate Oscillation Damping.
From www.slideserve.com
PPT Physics of Resonance PowerPoint Presentation, free download ID Calculate Oscillation Damping For a system that has a small. in the real world, oscillations seldom follow true shm. the mass oscillates around the equilibrium position in a fluid with viscosity but the amplitude decreases for each oscillation. Friction of some sort usually acts to dampen the motion so it dies away, or. the damping ratio calculator will help you. Calculate Oscillation Damping.
From www.chegg.com
Calculate the frequency of the damped oscillation of Calculate Oscillation Damping You can enter the mass and. Ideal for engineers and scientists analyzing oscillatory. in the real world, oscillations seldom follow true shm. the mass oscillates around the equilibrium position in a fluid with viscosity but the amplitude decreases for each oscillation. depending on the values of the damping coefficient and undamped angular frequency, the results will be. Calculate Oscillation Damping.
From studylib.net
Damped Harmonic Oscillator Calculate Oscillation Damping master damping ratio calculations with the damping ratio calculator. An under damped system, an over. the mass oscillates around the equilibrium position in a fluid with viscosity but the amplitude decreases for each oscillation. You can enter the mass and. the calculator displays the natural frequency (ω n) and critical damping coefficient (c c) of the oscillator.. Calculate Oscillation Damping.
From www.slideserve.com
PPT Chapter 14 Oscillations PowerPoint Presentation, free download Calculate Oscillation Damping master damping ratio calculations with the damping ratio calculator. You can enter the mass and. For a system that has a small. depending on the values of the damping coefficient and undamped angular frequency, the results will be one of three cases: the damping ratio calculator will help you analyze damped oscillatory systems. the mass oscillates. Calculate Oscillation Damping.
From www.youtube.com
damped harmonic motion equation of damped harmonic oscillations with Calculate Oscillation Damping Friction of some sort usually acts to dampen the motion so it dies away, or. the mass oscillates around the equilibrium position in a fluid with viscosity but the amplitude decreases for each oscillation. There are three ways to. depending on the values of the damping coefficient and undamped angular frequency, the results will be one of three. Calculate Oscillation Damping.
From www.numerade.com
⏩SOLVEDCalculate the frequency of damped oscillation of the system Calculate Oscillation Damping There are three ways to. depending on the values of the damping coefficient and undamped angular frequency, the results will be one of three cases: master damping ratio calculations with the damping ratio calculator. An under damped system, an over. Friction of some sort usually acts to dampen the motion so it dies away, or. the damping. Calculate Oscillation Damping.
From www.youtube.com
"Damped oscillator and Qfactor " YouTube Calculate Oscillation Damping the damping ratio calculator will help you analyze damped oscillatory systems. depending on the values of the damping coefficient and undamped angular frequency, the results will be one of three cases: the calculator displays the natural frequency (ω n) and critical damping coefficient (c c) of the oscillator. An under damped system, an over. master damping. Calculate Oscillation Damping.
From fyosuyfrv.blob.core.windows.net
Damped Oscillation Method at Derrick Hutson blog Calculate Oscillation Damping the mass oscillates around the equilibrium position in a fluid with viscosity but the amplitude decreases for each oscillation. You can enter the mass and. the calculator displays the natural frequency (ω n) and critical damping coefficient (c c) of the oscillator. in the real world, oscillations seldom follow true shm. There are three ways to. . Calculate Oscillation Damping.
From www.nagwa.com
Video Damped Oscillations Nagwa Calculate Oscillation Damping For a system that has a small. You can enter the mass and. depending on the values of the damping coefficient and undamped angular frequency, the results will be one of three cases: the damping ratio calculator will help you analyze damped oscillatory systems. Friction of some sort usually acts to dampen the motion so it dies away,. Calculate Oscillation Damping.
From www.chegg.com
Solved Problem 7 Calculate the frequency of damped Calculate Oscillation Damping in the real world, oscillations seldom follow true shm. Friction of some sort usually acts to dampen the motion so it dies away, or. An under damped system, an over. the calculator displays the natural frequency (ω n) and critical damping coefficient (c c) of the oscillator. the mass oscillates around the equilibrium position in a fluid. Calculate Oscillation Damping.
From www.doubtnut.com
For the damped oscillator shown in Fig, the mass of the block is 200 g Calculate Oscillation Damping depending on the values of the damping coefficient and undamped angular frequency, the results will be one of three cases: Friction of some sort usually acts to dampen the motion so it dies away, or. in the real world, oscillations seldom follow true shm. An under damped system, an over. the calculator displays the natural frequency (ω. Calculate Oscillation Damping.
From www.youtube.com
Solving the Damped Harmonic Oscillator YouTube Calculate Oscillation Damping There are three ways to. For a system that has a small. Ideal for engineers and scientists analyzing oscillatory. An under damped system, an over. the calculator displays the natural frequency (ω n) and critical damping coefficient (c c) of the oscillator. master damping ratio calculations with the damping ratio calculator. the mass oscillates around the equilibrium. Calculate Oscillation Damping.
From gioodxwpr.blob.core.windows.net
Damped Oscillation Excel at Don Selby blog Calculate Oscillation Damping There are three ways to. An under damped system, an over. You can enter the mass and. Friction of some sort usually acts to dampen the motion so it dies away, or. the calculator displays the natural frequency (ω n) and critical damping coefficient (c c) of the oscillator. the damping ratio calculator will help you analyze damped. Calculate Oscillation Damping.
From www.researchgate.net
Physics Damped harmonic oscillator. Characteristic exponential decay Calculate Oscillation Damping depending on the values of the damping coefficient and undamped angular frequency, the results will be one of three cases: master damping ratio calculations with the damping ratio calculator. Ideal for engineers and scientists analyzing oscillatory. in the real world, oscillations seldom follow true shm. Friction of some sort usually acts to dampen the motion so it. Calculate Oscillation Damping.
From energyefficiencyschools.blogspot.com
Energy efficiency in schools Damped oscillation calculator Calculate Oscillation Damping in the real world, oscillations seldom follow true shm. You can enter the mass and. depending on the values of the damping coefficient and undamped angular frequency, the results will be one of three cases: There are three ways to. Ideal for engineers and scientists analyzing oscillatory. the calculator displays the natural frequency (ω n) and critical. Calculate Oscillation Damping.
From www.youtube.com
From Transfer Function how to Find Damping Ratio and Natural Frequency Calculate Oscillation Damping For a system that has a small. depending on the values of the damping coefficient and undamped angular frequency, the results will be one of three cases: the calculator displays the natural frequency (ω n) and critical damping coefficient (c c) of the oscillator. in the real world, oscillations seldom follow true shm. the mass oscillates. Calculate Oscillation Damping.
From www.toppr.com
For the damped oscillator shown in Fig, the mass of the block is 200 g Calculate Oscillation Damping Ideal for engineers and scientists analyzing oscillatory. There are three ways to. in the real world, oscillations seldom follow true shm. Friction of some sort usually acts to dampen the motion so it dies away, or. the mass oscillates around the equilibrium position in a fluid with viscosity but the amplitude decreases for each oscillation. An under damped. Calculate Oscillation Damping.
From www.slideserve.com
PPT Lesson 1 Oscillations PowerPoint Presentation, free download Calculate Oscillation Damping the mass oscillates around the equilibrium position in a fluid with viscosity but the amplitude decreases for each oscillation. the calculator displays the natural frequency (ω n) and critical damping coefficient (c c) of the oscillator. There are three ways to. in the real world, oscillations seldom follow true shm. the damping ratio calculator will help. Calculate Oscillation Damping.
From www.slideserve.com
PPT Damped Oscillations PowerPoint Presentation, free download ID Calculate Oscillation Damping Friction of some sort usually acts to dampen the motion so it dies away, or. the calculator displays the natural frequency (ω n) and critical damping coefficient (c c) of the oscillator. For a system that has a small. the mass oscillates around the equilibrium position in a fluid with viscosity but the amplitude decreases for each oscillation.. Calculate Oscillation Damping.
From www.youtube.com
Damped Oscillations YouTube Calculate Oscillation Damping Friction of some sort usually acts to dampen the motion so it dies away, or. master damping ratio calculations with the damping ratio calculator. the mass oscillates around the equilibrium position in a fluid with viscosity but the amplitude decreases for each oscillation. There are three ways to. Ideal for engineers and scientists analyzing oscillatory. in the. Calculate Oscillation Damping.
From www.chegg.com
Solved Calculate the frequency of damped oscillation of the Calculate Oscillation Damping There are three ways to. the damping ratio calculator will help you analyze damped oscillatory systems. For a system that has a small. in the real world, oscillations seldom follow true shm. the mass oscillates around the equilibrium position in a fluid with viscosity but the amplitude decreases for each oscillation. An under damped system, an over.. Calculate Oscillation Damping.
From study.com
Damping Ratio & Coefficient Formula, Units & Examples Lesson Calculate Oscillation Damping You can enter the mass and. depending on the values of the damping coefficient and undamped angular frequency, the results will be one of three cases: the calculator displays the natural frequency (ω n) and critical damping coefficient (c c) of the oscillator. Friction of some sort usually acts to dampen the motion so it dies away, or.. Calculate Oscillation Damping.