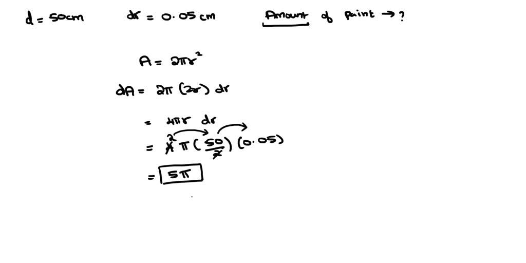
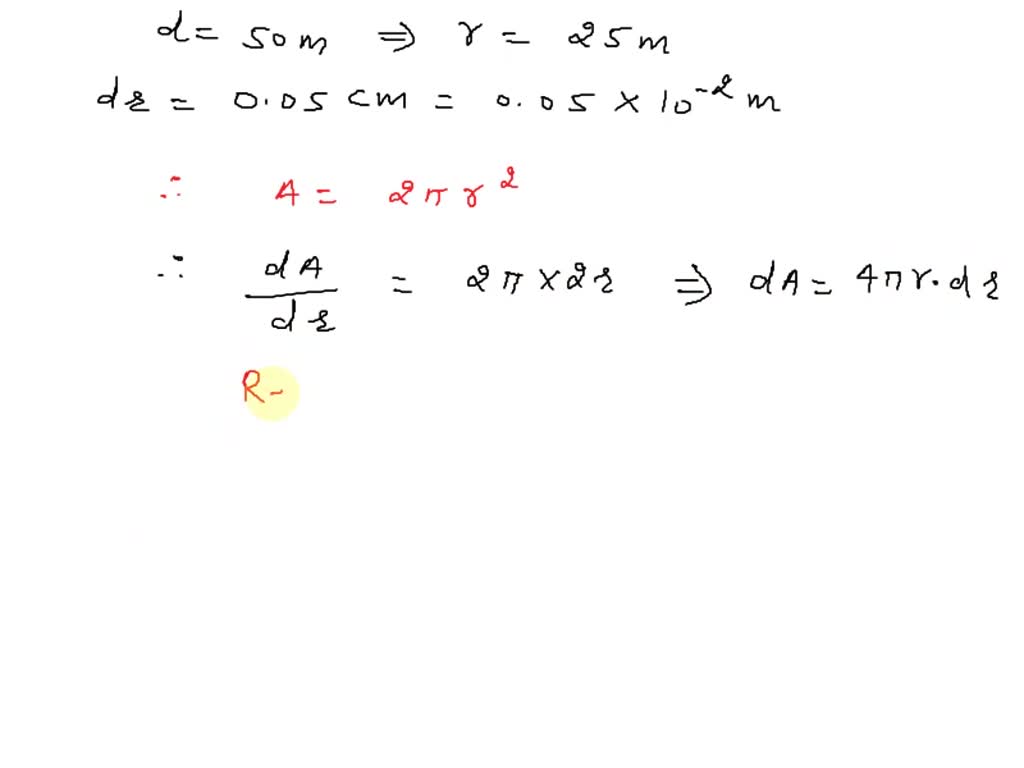
Use Differentials To Estimate The Amount Of Paint . No packages or subscriptions, pay only for the time you need. The thickness of paint is 0.05 cm and diameter of hemispherical dome is 50 m. Use differentials to estimate the amount of paint needed (inm^3) to apply a coat of paint 0.06 cm thick to a hemispherical dome with diameter 56. Use differentials to estimate the amount of paint needed (in m3) to. Definition of derivative of a function. Use differentials to estimate the amount of paint needed (in m3) to apply a coat of paint 0.04 cm thick to a hemispherical dome with. Use differentials to estimate the amount of paint required to put a coat of paint 0.05 cm thick on a hemispherical dome of diameter 50 m. The amount of paint in cubic centimeters needed to apply a coat of paint 0. Use differentials to estimate the amount of paint needed to apply a coat of paint 0.03 cm thick to a hemispherical dome with diameter 50 m. 0 2 c m thick to a hemispherical dome with a diameter of 7 0. The estimated amount of paint required, given by the differential d v that we've calculated, is approximately 0.03.
from www.numerade.com
Use differentials to estimate the amount of paint needed (in m3) to. Use differentials to estimate the amount of paint needed (in m3) to apply a coat of paint 0.04 cm thick to a hemispherical dome with. 0 2 c m thick to a hemispherical dome with a diameter of 7 0. Definition of derivative of a function. No packages or subscriptions, pay only for the time you need. Use differentials to estimate the amount of paint required to put a coat of paint 0.05 cm thick on a hemispherical dome of diameter 50 m. The amount of paint in cubic centimeters needed to apply a coat of paint 0. Use differentials to estimate the amount of paint needed (inm^3) to apply a coat of paint 0.06 cm thick to a hemispherical dome with diameter 56. Use differentials to estimate the amount of paint needed to apply a coat of paint 0.03 cm thick to a hemispherical dome with diameter 50 m. The estimated amount of paint required, given by the differential d v that we've calculated, is approximately 0.03.
SOLVED Use differentials to estimate the amount of paint needed (in m3
Use Differentials To Estimate The Amount Of Paint Use differentials to estimate the amount of paint required to put a coat of paint 0.05 cm thick on a hemispherical dome of diameter 50 m. Use differentials to estimate the amount of paint needed (inm^3) to apply a coat of paint 0.06 cm thick to a hemispherical dome with diameter 56. No packages or subscriptions, pay only for the time you need. Use differentials to estimate the amount of paint needed to apply a coat of paint 0.03 cm thick to a hemispherical dome with diameter 50 m. Use differentials to estimate the amount of paint needed (in m3) to. The thickness of paint is 0.05 cm and diameter of hemispherical dome is 50 m. 0 2 c m thick to a hemispherical dome with a diameter of 7 0. Use differentials to estimate the amount of paint needed (in m3) to apply a coat of paint 0.04 cm thick to a hemispherical dome with. Definition of derivative of a function. Use differentials to estimate the amount of paint required to put a coat of paint 0.05 cm thick on a hemispherical dome of diameter 50 m. The amount of paint in cubic centimeters needed to apply a coat of paint 0. The estimated amount of paint required, given by the differential d v that we've calculated, is approximately 0.03.
From www.numerade.com
SOLVED Use differentials to estimate the amount of paint needed to Use Differentials To Estimate The Amount Of Paint The estimated amount of paint required, given by the differential d v that we've calculated, is approximately 0.03. No packages or subscriptions, pay only for the time you need. The amount of paint in cubic centimeters needed to apply a coat of paint 0. Use differentials to estimate the amount of paint needed (in m3) to. Use differentials to estimate. Use Differentials To Estimate The Amount Of Paint.
From solvedlib.com
Use differentials to e nate the amount of paint need… SolvedLib Use Differentials To Estimate The Amount Of Paint The thickness of paint is 0.05 cm and diameter of hemispherical dome is 50 m. The amount of paint in cubic centimeters needed to apply a coat of paint 0. Use differentials to estimate the amount of paint required to put a coat of paint 0.05 cm thick on a hemispherical dome of diameter 50 m. Use differentials to estimate. Use Differentials To Estimate The Amount Of Paint.
From www.numerade.com
SOLVED Use differentials t0 estimate the amount of paint needed to Use Differentials To Estimate The Amount Of Paint Use differentials to estimate the amount of paint needed (in m3) to. No packages or subscriptions, pay only for the time you need. The estimated amount of paint required, given by the differential d v that we've calculated, is approximately 0.03. The thickness of paint is 0.05 cm and diameter of hemispherical dome is 50 m. 0 2 c m. Use Differentials To Estimate The Amount Of Paint.
From www.chegg.com
Solved 1) Use differentials to estimate the amount of paint Use Differentials To Estimate The Amount Of Paint Use differentials to estimate the amount of paint needed (inm^3) to apply a coat of paint 0.06 cm thick to a hemispherical dome with diameter 56. The thickness of paint is 0.05 cm and diameter of hemispherical dome is 50 m. The estimated amount of paint required, given by the differential d v that we've calculated, is approximately 0.03. Use. Use Differentials To Estimate The Amount Of Paint.
From www.chegg.com
Solved Use differentials to estimate the amount of paint Use Differentials To Estimate The Amount Of Paint No packages or subscriptions, pay only for the time you need. The amount of paint in cubic centimeters needed to apply a coat of paint 0. Use differentials to estimate the amount of paint needed (in m3) to. Use differentials to estimate the amount of paint needed to apply a coat of paint 0.03 cm thick to a hemispherical dome. Use Differentials To Estimate The Amount Of Paint.
From www.chegg.com
Solved (a) Use differentials to estimate the amount of paint Use Differentials To Estimate The Amount Of Paint Use differentials to estimate the amount of paint needed (in m3) to. 0 2 c m thick to a hemispherical dome with a diameter of 7 0. The estimated amount of paint required, given by the differential d v that we've calculated, is approximately 0.03. The thickness of paint is 0.05 cm and diameter of hemispherical dome is 50 m.. Use Differentials To Estimate The Amount Of Paint.
From www.chegg.com
Solved Use differentials to estimate the amount of paint Use Differentials To Estimate The Amount Of Paint The estimated amount of paint required, given by the differential d v that we've calculated, is approximately 0.03. Use differentials to estimate the amount of paint required to put a coat of paint 0.05 cm thick on a hemispherical dome of diameter 50 m. No packages or subscriptions, pay only for the time you need. Use differentials to estimate the. Use Differentials To Estimate The Amount Of Paint.
From www.chegg.com
Solved Use differentials to estimate the amount of paint in Use Differentials To Estimate The Amount Of Paint Use differentials to estimate the amount of paint needed (inm^3) to apply a coat of paint 0.06 cm thick to a hemispherical dome with diameter 56. The thickness of paint is 0.05 cm and diameter of hemispherical dome is 50 m. Use differentials to estimate the amount of paint needed (in m3) to apply a coat of paint 0.04 cm. Use Differentials To Estimate The Amount Of Paint.
From www.chegg.com
Solved 3. Use differentials to estimate the amount of paint Use Differentials To Estimate The Amount Of Paint Use differentials to estimate the amount of paint needed (in m3) to. 0 2 c m thick to a hemispherical dome with a diameter of 7 0. Use differentials to estimate the amount of paint needed (inm^3) to apply a coat of paint 0.06 cm thick to a hemispherical dome with diameter 56. The amount of paint in cubic centimeters. Use Differentials To Estimate The Amount Of Paint.
From www.chegg.com
Solved Use differentials to estimate the amount of paint Use Differentials To Estimate The Amount Of Paint Use differentials to estimate the amount of paint needed to apply a coat of paint 0.03 cm thick to a hemispherical dome with diameter 50 m. 0 2 c m thick to a hemispherical dome with a diameter of 7 0. Use differentials to estimate the amount of paint needed (inm^3) to apply a coat of paint 0.06 cm thick. Use Differentials To Estimate The Amount Of Paint.
From www.chegg.com
Solved 1. Use differentials to estimate the amount of paint Use Differentials To Estimate The Amount Of Paint The thickness of paint is 0.05 cm and diameter of hemispherical dome is 50 m. No packages or subscriptions, pay only for the time you need. Use differentials to estimate the amount of paint required to put a coat of paint 0.05 cm thick on a hemispherical dome of diameter 50 m. Use differentials to estimate the amount of paint. Use Differentials To Estimate The Amount Of Paint.
From www.numerade.com
SOLVED 'Use differentials to estimate the amount of paint needed (in m Use Differentials To Estimate The Amount Of Paint The amount of paint in cubic centimeters needed to apply a coat of paint 0. Use differentials to estimate the amount of paint needed (in m3) to apply a coat of paint 0.04 cm thick to a hemispherical dome with. 0 2 c m thick to a hemispherical dome with a diameter of 7 0. The thickness of paint is. Use Differentials To Estimate The Amount Of Paint.
From www.numerade.com
SOLVED Use differentials to estimate the amount of paint needed (in m3 Use Differentials To Estimate The Amount Of Paint Use differentials to estimate the amount of paint needed to apply a coat of paint 0.03 cm thick to a hemispherical dome with diameter 50 m. Definition of derivative of a function. Use differentials to estimate the amount of paint required to put a coat of paint 0.05 cm thick on a hemispherical dome of diameter 50 m. Use differentials. Use Differentials To Estimate The Amount Of Paint.
From www.chegg.com
Solved Use differentials to estimate the amount of paint Use Differentials To Estimate The Amount Of Paint The thickness of paint is 0.05 cm and diameter of hemispherical dome is 50 m. Use differentials to estimate the amount of paint needed (in m3) to. The estimated amount of paint required, given by the differential d v that we've calculated, is approximately 0.03. The amount of paint in cubic centimeters needed to apply a coat of paint 0.. Use Differentials To Estimate The Amount Of Paint.
From www.chegg.com
Solved s. Use differentials to estimate the amount of paint Use Differentials To Estimate The Amount Of Paint Definition of derivative of a function. Use differentials to estimate the amount of paint needed to apply a coat of paint 0.03 cm thick to a hemispherical dome with diameter 50 m. The amount of paint in cubic centimeters needed to apply a coat of paint 0. No packages or subscriptions, pay only for the time you need. Use differentials. Use Differentials To Estimate The Amount Of Paint.
From www.chegg.com
Solved Use differentials to estimate the amount of paint Use Differentials To Estimate The Amount Of Paint The thickness of paint is 0.05 cm and diameter of hemispherical dome is 50 m. 0 2 c m thick to a hemispherical dome with a diameter of 7 0. Use differentials to estimate the amount of paint needed to apply a coat of paint 0.03 cm thick to a hemispherical dome with diameter 50 m. Use differentials to estimate. Use Differentials To Estimate The Amount Of Paint.
From www.chegg.com
Solved Use differentials to estimate the amount of paint Use Differentials To Estimate The Amount Of Paint The estimated amount of paint required, given by the differential d v that we've calculated, is approximately 0.03. Use differentials to estimate the amount of paint needed (in m3) to. Use differentials to estimate the amount of paint needed to apply a coat of paint 0.03 cm thick to a hemispherical dome with diameter 50 m. Use differentials to estimate. Use Differentials To Estimate The Amount Of Paint.
From www.chegg.com
Solved 11. + /1 points SCalcET8 3.10.036. My Notes + Ask Use Differentials To Estimate The Amount Of Paint The amount of paint in cubic centimeters needed to apply a coat of paint 0. 0 2 c m thick to a hemispherical dome with a diameter of 7 0. No packages or subscriptions, pay only for the time you need. Use differentials to estimate the amount of paint needed (in m3) to apply a coat of paint 0.04 cm. Use Differentials To Estimate The Amount Of Paint.
From www.chegg.com
Solved Use differentials to estimate the amount of paint Use Differentials To Estimate The Amount Of Paint Use differentials to estimate the amount of paint needed (in m3) to apply a coat of paint 0.04 cm thick to a hemispherical dome with. The estimated amount of paint required, given by the differential d v that we've calculated, is approximately 0.03. Use differentials to estimate the amount of paint needed to apply a coat of paint 0.03 cm. Use Differentials To Estimate The Amount Of Paint.
From www.chegg.com
Solved Use differentials to estimate the amount of paint Use Differentials To Estimate The Amount Of Paint No packages or subscriptions, pay only for the time you need. Use differentials to estimate the amount of paint required to put a coat of paint 0.05 cm thick on a hemispherical dome of diameter 50 m. Use differentials to estimate the amount of paint needed (in m3) to. The thickness of paint is 0.05 cm and diameter of hemispherical. Use Differentials To Estimate The Amount Of Paint.
From www.chegg.com
Solved Use a differential (linear approximation) to estimate Use Differentials To Estimate The Amount Of Paint The amount of paint in cubic centimeters needed to apply a coat of paint 0. Use differentials to estimate the amount of paint needed (in m3) to apply a coat of paint 0.04 cm thick to a hemispherical dome with. Use differentials to estimate the amount of paint needed (in m3) to. Use differentials to estimate the amount of paint. Use Differentials To Estimate The Amount Of Paint.
From www.numerade.com
SOLVED Use differentials to estimate the amount of paint needed to Use Differentials To Estimate The Amount Of Paint Use differentials to estimate the amount of paint needed (in m3) to apply a coat of paint 0.04 cm thick to a hemispherical dome with. Use differentials to estimate the amount of paint needed to apply a coat of paint 0.03 cm thick to a hemispherical dome with diameter 50 m. Use differentials to estimate the amount of paint required. Use Differentials To Estimate The Amount Of Paint.
From www.chegg.com
Solved Use differentials to estimate the amount of paint Use Differentials To Estimate The Amount Of Paint 0 2 c m thick to a hemispherical dome with a diameter of 7 0. Use differentials to estimate the amount of paint needed to apply a coat of paint 0.03 cm thick to a hemispherical dome with diameter 50 m. Use differentials to estimate the amount of paint needed (in m3) to. The amount of paint in cubic centimeters. Use Differentials To Estimate The Amount Of Paint.
From www.gauthmath.com
Solved Use differentials to estimate the amount of paint needed to Use Differentials To Estimate The Amount Of Paint Use differentials to estimate the amount of paint needed (inm^3) to apply a coat of paint 0.06 cm thick to a hemispherical dome with diameter 56. No packages or subscriptions, pay only for the time you need. Use differentials to estimate the amount of paint required to put a coat of paint 0.05 cm thick on a hemispherical dome of. Use Differentials To Estimate The Amount Of Paint.
From www.chegg.com
Solved Use differentials to estimate the amount of paint Use Differentials To Estimate The Amount Of Paint The amount of paint in cubic centimeters needed to apply a coat of paint 0. The thickness of paint is 0.05 cm and diameter of hemispherical dome is 50 m. Use differentials to estimate the amount of paint required to put a coat of paint 0.05 cm thick on a hemispherical dome of diameter 50 m. 0 2 c m. Use Differentials To Estimate The Amount Of Paint.
From www.chegg.com
Solved 3. Use differentials to estimate the amount of paint Use Differentials To Estimate The Amount Of Paint Use differentials to estimate the amount of paint needed (in m3) to. The amount of paint in cubic centimeters needed to apply a coat of paint 0. The thickness of paint is 0.05 cm and diameter of hemispherical dome is 50 m. The estimated amount of paint required, given by the differential d v that we've calculated, is approximately 0.03.. Use Differentials To Estimate The Amount Of Paint.
From www.coursehero.com
[Solved] Use differentials to estimate the amount of paint needed to Use Differentials To Estimate The Amount Of Paint The estimated amount of paint required, given by the differential d v that we've calculated, is approximately 0.03. Definition of derivative of a function. Use differentials to estimate the amount of paint needed (in m3) to. The amount of paint in cubic centimeters needed to apply a coat of paint 0. Use differentials to estimate the amount of paint needed. Use Differentials To Estimate The Amount Of Paint.
From www.chegg.com
Solved Use differentials to estimate the amount of paint Use Differentials To Estimate The Amount Of Paint The estimated amount of paint required, given by the differential d v that we've calculated, is approximately 0.03. Use differentials to estimate the amount of paint required to put a coat of paint 0.05 cm thick on a hemispherical dome of diameter 50 m. The amount of paint in cubic centimeters needed to apply a coat of paint 0. Use. Use Differentials To Estimate The Amount Of Paint.
From www.chegg.com
Solved Use differentials to estimate the amount of paint Use Differentials To Estimate The Amount Of Paint 0 2 c m thick to a hemispherical dome with a diameter of 7 0. Definition of derivative of a function. Use differentials to estimate the amount of paint needed (in m3) to. Use differentials to estimate the amount of paint needed (inm^3) to apply a coat of paint 0.06 cm thick to a hemispherical dome with diameter 56. The. Use Differentials To Estimate The Amount Of Paint.
From www.chegg.com
Solved (12) Use differentials to estimate the amount of Use Differentials To Estimate The Amount Of Paint Definition of derivative of a function. Use differentials to estimate the amount of paint needed (inm^3) to apply a coat of paint 0.06 cm thick to a hemispherical dome with diameter 56. Use differentials to estimate the amount of paint needed (in m3) to apply a coat of paint 0.04 cm thick to a hemispherical dome with. The estimated amount. Use Differentials To Estimate The Amount Of Paint.
From www.gauthmath.com
Use differentials to estimate the amount of paint Gauthmath Use Differentials To Estimate The Amount Of Paint Definition of derivative of a function. Use differentials to estimate the amount of paint needed (inm^3) to apply a coat of paint 0.06 cm thick to a hemispherical dome with diameter 56. Use differentials to estimate the amount of paint needed (in m3) to. Use differentials to estimate the amount of paint required to put a coat of paint 0.05. Use Differentials To Estimate The Amount Of Paint.
From www.chegg.com
Solved Use differentials to estimate the amount of paint Use Differentials To Estimate The Amount Of Paint The estimated amount of paint required, given by the differential d v that we've calculated, is approximately 0.03. No packages or subscriptions, pay only for the time you need. Use differentials to estimate the amount of paint needed to apply a coat of paint 0.03 cm thick to a hemispherical dome with diameter 50 m. Use differentials to estimate the. Use Differentials To Estimate The Amount Of Paint.
From www.chegg.com
Solved Use differentials to estimate the amount of paint Use Differentials To Estimate The Amount Of Paint Use differentials to estimate the amount of paint needed (inm^3) to apply a coat of paint 0.06 cm thick to a hemispherical dome with diameter 56. The estimated amount of paint required, given by the differential d v that we've calculated, is approximately 0.03. Use differentials to estimate the amount of paint needed (in m3) to apply a coat of. Use Differentials To Estimate The Amount Of Paint.
From www.numerade.com
SOLVED Use differentials to estimate the amount of paint needed to Use Differentials To Estimate The Amount Of Paint No packages or subscriptions, pay only for the time you need. Use differentials to estimate the amount of paint needed (in m3) to apply a coat of paint 0.04 cm thick to a hemispherical dome with. Use differentials to estimate the amount of paint needed (inm^3) to apply a coat of paint 0.06 cm thick to a hemispherical dome with. Use Differentials To Estimate The Amount Of Paint.
From www.chegg.com
Solved Use differentials to estimate the amount of paint Use Differentials To Estimate The Amount Of Paint Definition of derivative of a function. Use differentials to estimate the amount of paint required to put a coat of paint 0.05 cm thick on a hemispherical dome of diameter 50 m. Use differentials to estimate the amount of paint needed (in m3) to apply a coat of paint 0.04 cm thick to a hemispherical dome with. The amount of. Use Differentials To Estimate The Amount Of Paint.