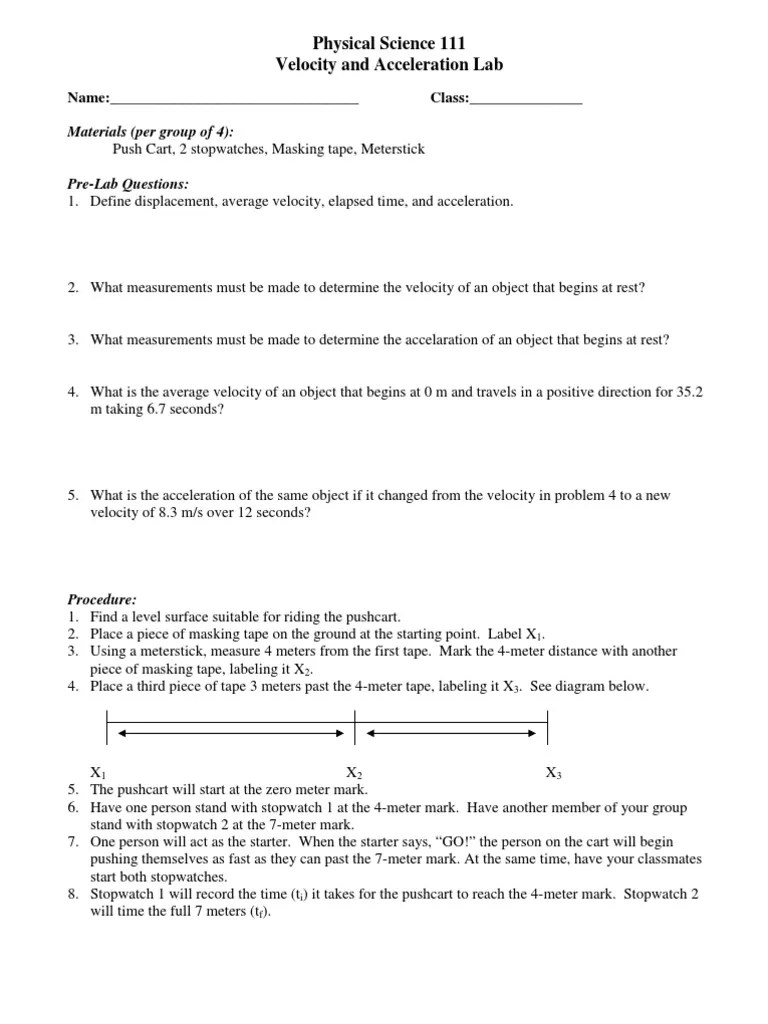
Acceleration Lab Pdf . Accordingly, gis referred to as the. The purpose of this lab is to show the connection between acceleration, a, velocity, v, and displacement, x. ๏ confirm graphically the kinematic. In this lab you will measure the acceleration due to gravity near the earth’s surface with two experiments: A body on a table with two external forces applied as follow. First, by determining the time for a. ๏ verify galileo’s observation that an object on an incline will move with a constant acceleration. A change in the velocity (either direction or magnitude) results in an average acceleration given by = δv/ δt. In this lab we examine the motion of an object moving with constant acceleration in one dimension. Let’s take a quick look at a simple example: Time graphs when an object. In words, an object that.</p> You should read the course notes. • to study the relationship between distance, velocity, and acceleration vs. This acceleration is imparted to all objects near the surface of the earth, and is caused by the ’tug’ of the earth’s gravity;
from db-excel.com
Accordingly, gis referred to as the. This acceleration is imparted to all objects near the surface of the earth, and is caused by the ’tug’ of the earth’s gravity; ๏ confirm graphically the kinematic. Let’s take a quick look at a simple example: • to study the relationship between distance, velocity, and acceleration vs. Time graphs when an object. In words, an object that.</p> ๏ verify galileo’s observation that an object on an incline will move with a constant acceleration. A body on a table with two external forces applied as follow. You should read the course notes.
Speed Velocity And Acceleration Lab Pdf —
Acceleration Lab Pdf Time graphs when an object. Let’s take a quick look at a simple example: This acceleration is imparted to all objects near the surface of the earth, and is caused by the ’tug’ of the earth’s gravity; A body on a table with two external forces applied as follow. In this lab we examine the motion of an object moving with constant acceleration in one dimension. A change in the velocity (either direction or magnitude) results in an average acceleration given by = δv/ δt. In words, an object that.</p> Accordingly, gis referred to as the. Time graphs when an object. In this lab you will measure the acceleration due to gravity near the earth’s surface with two experiments: The purpose of this lab is to show the connection between acceleration, a, velocity, v, and displacement, x. You should read the course notes. • to study the relationship between distance, velocity, and acceleration vs. ๏ verify galileo’s observation that an object on an incline will move with a constant acceleration. First, by determining the time for a. ๏ confirm graphically the kinematic.
From studylib.net
CPO™ Acceleration of Cart Lab Acceleration Lab Pdf In words, an object that.</p> Time graphs when an object. • to study the relationship between distance, velocity, and acceleration vs. ๏ verify galileo’s observation that an object on an incline will move with a constant acceleration. Let’s take a quick look at a simple example: ๏ confirm graphically the kinematic. A change in the velocity (either direction or magnitude). Acceleration Lab Pdf.
From www.researchgate.net
(PDF) An experiment to find the acceleration due to gravity Acceleration Lab Pdf • to study the relationship between distance, velocity, and acceleration vs. You should read the course notes. ๏ confirm graphically the kinematic. Time graphs when an object. In words, an object that.</p> Accordingly, gis referred to as the. In this lab we examine the motion of an object moving with constant acceleration in one dimension. This acceleration is imparted to. Acceleration Lab Pdf.
From db-excel.com
Speed Velocity And Acceleration Lab Pdf — Acceleration Lab Pdf ๏ confirm graphically the kinematic. A body on a table with two external forces applied as follow. First, by determining the time for a. Time graphs when an object. You should read the course notes. This acceleration is imparted to all objects near the surface of the earth, and is caused by the ’tug’ of the earth’s gravity; Let’s take. Acceleration Lab Pdf.
From www.scribd.com
Moving Man Phet Lab Activity PDF Acceleration Velocity Acceleration Lab Pdf First, by determining the time for a. A body on a table with two external forces applied as follow. In this lab we examine the motion of an object moving with constant acceleration in one dimension. • to study the relationship between distance, velocity, and acceleration vs. In words, an object that.</p> Time graphs when an object. In this lab. Acceleration Lab Pdf.
From www.slideserve.com
PPT Acceleration lab PowerPoint Presentation, free download ID2492481 Acceleration Lab Pdf In this lab you will measure the acceleration due to gravity near the earth’s surface with two experiments: This acceleration is imparted to all objects near the surface of the earth, and is caused by the ’tug’ of the earth’s gravity; Accordingly, gis referred to as the. You should read the course notes. In this lab we examine the motion. Acceleration Lab Pdf.
From www.scribd.com
Acceleration Lab Report PDF Acceleration Lab Pdf Time graphs when an object. First, by determining the time for a. You should read the course notes. A change in the velocity (either direction or magnitude) results in an average acceleration given by = δv/ δt. Let’s take a quick look at a simple example: This acceleration is imparted to all objects near the surface of the earth, and. Acceleration Lab Pdf.
From www.scribd.com
Understanding Centripetal Force Through the Water Experiment Acceleration Lab Pdf You should read the course notes. In words, an object that.</p> This acceleration is imparted to all objects near the surface of the earth, and is caused by the ’tug’ of the earth’s gravity; In this lab we examine the motion of an object moving with constant acceleration in one dimension. A body on a table with two external forces. Acceleration Lab Pdf.
From www.chegg.com
Solved Lab 05 Acceleration down an incline Introduction The Acceleration Lab Pdf This acceleration is imparted to all objects near the surface of the earth, and is caused by the ’tug’ of the earth’s gravity; • to study the relationship between distance, velocity, and acceleration vs. A change in the velocity (either direction or magnitude) results in an average acceleration given by = δv/ δt. In this lab you will measure the. Acceleration Lab Pdf.
From www.studocu.com
Physics Acceleration Lab Gr Acceleration Summative Lab SPH 3U Mr Acceleration Lab Pdf This acceleration is imparted to all objects near the surface of the earth, and is caused by the ’tug’ of the earth’s gravity; ๏ verify galileo’s observation that an object on an incline will move with a constant acceleration. Accordingly, gis referred to as the. In this lab we examine the motion of an object moving with constant acceleration in. Acceleration Lab Pdf.
From www.studocu.com
Postion, Velocity, and Acceleration lab 1611 Edited 1 Position Acceleration Lab Pdf ๏ confirm graphically the kinematic. This acceleration is imparted to all objects near the surface of the earth, and is caused by the ’tug’ of the earth’s gravity; In words, an object that.</p> You should read the course notes. First, by determining the time for a. Let’s take a quick look at a simple example: • to study the relationship. Acceleration Lab Pdf.
From www.studypool.com
SOLUTION Velocity And Acceleration Lab Report Studypool Acceleration Lab Pdf The purpose of this lab is to show the connection between acceleration, a, velocity, v, and displacement, x. ๏ verify galileo’s observation that an object on an incline will move with a constant acceleration. This acceleration is imparted to all objects near the surface of the earth, and is caused by the ’tug’ of the earth’s gravity; In this lab. Acceleration Lab Pdf.
From www.scribd.com
velocity and acceleration lab. Velocity Acceleration Acceleration Lab Pdf ๏ confirm graphically the kinematic. In words, an object that.</p> In this lab we examine the motion of an object moving with constant acceleration in one dimension. Time graphs when an object. A body on a table with two external forces applied as follow. ๏ verify galileo’s observation that an object on an incline will move with a constant acceleration.. Acceleration Lab Pdf.
From www.pinterest.com
Velocity and Acceleration Lab Activity for Middle and High School Acceleration Lab Pdf ๏ verify galileo’s observation that an object on an incline will move with a constant acceleration. You should read the course notes. Time graphs when an object. A body on a table with two external forces applied as follow. Let’s take a quick look at a simple example: In this lab you will measure the acceleration due to gravity near. Acceleration Lab Pdf.
From www.studocu.com
Exp2 Acceleration Due Gravity Experiment P007 Acceleration due to Acceleration Lab Pdf ๏ verify galileo’s observation that an object on an incline will move with a constant acceleration. The purpose of this lab is to show the connection between acceleration, a, velocity, v, and displacement, x. A body on a table with two external forces applied as follow. In words, an object that.</p> This acceleration is imparted to all objects near the. Acceleration Lab Pdf.
From msbutlersscienceclass.weebly.com
Labs DAWG SCIENCE Acceleration Lab Pdf A body on a table with two external forces applied as follow. Accordingly, gis referred to as the. A change in the velocity (either direction or magnitude) results in an average acceleration given by = δv/ δt. • to study the relationship between distance, velocity, and acceleration vs. ๏ confirm graphically the kinematic. This acceleration is imparted to all objects. Acceleration Lab Pdf.
From dokumen.tips
(PDF) Title Acceleration Lab...Title Acceleration Lab Objectives Acceleration Lab Pdf First, by determining the time for a. ๏ confirm graphically the kinematic. Accordingly, gis referred to as the. The purpose of this lab is to show the connection between acceleration, a, velocity, v, and displacement, x. A body on a table with two external forces applied as follow. You should read the course notes. ๏ verify galileo’s observation that an. Acceleration Lab Pdf.
From studylib.net
1D Motion with Constant Acceleration Lab Report Physics113 Acceleration Lab Pdf First, by determining the time for a. In this lab we examine the motion of an object moving with constant acceleration in one dimension. The purpose of this lab is to show the connection between acceleration, a, velocity, v, and displacement, x. ๏ verify galileo’s observation that an object on an incline will move with a constant acceleration. ๏ confirm. Acceleration Lab Pdf.
From ampeduplearning.com
Velocity and Acceleration Lab for Middle Level Science Amped Up Learning Acceleration Lab Pdf A body on a table with two external forces applied as follow. A change in the velocity (either direction or magnitude) results in an average acceleration given by = δv/ δt. ๏ verify galileo’s observation that an object on an incline will move with a constant acceleration. In this lab we examine the motion of an object moving with constant. Acceleration Lab Pdf.
From www.scribd.com
Uniform Acceleration Experiment PDF Acceleration Lab Pdf The purpose of this lab is to show the connection between acceleration, a, velocity, v, and displacement, x. Let’s take a quick look at a simple example: This acceleration is imparted to all objects near the surface of the earth, and is caused by the ’tug’ of the earth’s gravity; You should read the course notes. ๏ verify galileo’s observation. Acceleration Lab Pdf.
From studylib.net
Physical Science Acceleration Lab Acceleration Lab Pdf ๏ confirm graphically the kinematic. First, by determining the time for a. A change in the velocity (either direction or magnitude) results in an average acceleration given by = δv/ δt. • to study the relationship between distance, velocity, and acceleration vs. In this lab we examine the motion of an object moving with constant acceleration in one dimension. Accordingly,. Acceleration Lab Pdf.
From studylib.net
Speed, Velocity, & Acceleration Lab Acceleration Lab Pdf A change in the velocity (either direction or magnitude) results in an average acceleration given by = δv/ δt. • to study the relationship between distance, velocity, and acceleration vs. First, by determining the time for a. In this lab you will measure the acceleration due to gravity near the earth’s surface with two experiments: ๏ confirm graphically the kinematic.. Acceleration Lab Pdf.
From www.studocu.com
Motion with constant acceleration PHYSICS LABORATORY LAB REPORT 60 Acceleration Lab Pdf A body on a table with two external forces applied as follow. Time graphs when an object. In words, an object that.</p> In this lab we examine the motion of an object moving with constant acceleration in one dimension. The purpose of this lab is to show the connection between acceleration, a, velocity, v, and displacement, x. This acceleration is. Acceleration Lab Pdf.
From studylib.net
Acceleration Lab Acceleration Lab Pdf This acceleration is imparted to all objects near the surface of the earth, and is caused by the ’tug’ of the earth’s gravity; ๏ verify galileo’s observation that an object on an incline will move with a constant acceleration. A body on a table with two external forces applied as follow. Accordingly, gis referred to as the. First, by determining. Acceleration Lab Pdf.
From studylib.net
Lab 02 Acceleration Due to Gravity Acceleration Lab Pdf • to study the relationship between distance, velocity, and acceleration vs. Accordingly, gis referred to as the. Let’s take a quick look at a simple example: The purpose of this lab is to show the connection between acceleration, a, velocity, v, and displacement, x. This acceleration is imparted to all objects near the surface of the earth, and is caused. Acceleration Lab Pdf.
From www.studocu.com
Force Mass and Acceleration Lab Force, Mass, and Acceleration Name Acceleration Lab Pdf In this lab we examine the motion of an object moving with constant acceleration in one dimension. Let’s take a quick look at a simple example: Accordingly, gis referred to as the. This acceleration is imparted to all objects near the surface of the earth, and is caused by the ’tug’ of the earth’s gravity; ๏ confirm graphically the kinematic.. Acceleration Lab Pdf.
From www.researchgate.net
(PDF) Determining the Acceleration Due to Gravity and Friction Using Acceleration Lab Pdf A change in the velocity (either direction or magnitude) results in an average acceleration given by = δv/ δt. In words, an object that.</p> A body on a table with two external forces applied as follow. This acceleration is imparted to all objects near the surface of the earth, and is caused by the ’tug’ of the earth’s gravity; In. Acceleration Lab Pdf.
From www.slideserve.com
PPT Ch. 1 Motion and Speed PowerPoint Presentation, free download Acceleration Lab Pdf A body on a table with two external forces applied as follow. First, by determining the time for a. ๏ verify galileo’s observation that an object on an incline will move with a constant acceleration. A change in the velocity (either direction or magnitude) results in an average acceleration given by = δv/ δt. In this lab you will measure. Acceleration Lab Pdf.
From studylib.net
Lab A2 CONSTANTACCELERATION MOTION IN ONE Acceleration Lab Pdf ๏ confirm graphically the kinematic. • to study the relationship between distance, velocity, and acceleration vs. A body on a table with two external forces applied as follow. This acceleration is imparted to all objects near the surface of the earth, and is caused by the ’tug’ of the earth’s gravity; ๏ verify galileo’s observation that an object on an. Acceleration Lab Pdf.
From www.scribd.com
velocityaccelerationlab.pdf Velocity Speed Acceleration Lab Pdf First, by determining the time for a. You should read the course notes. A change in the velocity (either direction or magnitude) results in an average acceleration given by = δv/ δt. In this lab you will measure the acceleration due to gravity near the earth’s surface with two experiments: Time graphs when an object. In this lab we examine. Acceleration Lab Pdf.
From docs.google.com
Acceleration Lab Acceleration Lab Pdf Time graphs when an object. Let’s take a quick look at a simple example: Accordingly, gis referred to as the. In this lab we examine the motion of an object moving with constant acceleration in one dimension. A body on a table with two external forces applied as follow. ๏ verify galileo’s observation that an object on an incline will. Acceleration Lab Pdf.
From www.studocu.com
2 lab report 17 EXPERIMENT 2 Acceleration due to Gravity PURPOSE Acceleration Lab Pdf The purpose of this lab is to show the connection between acceleration, a, velocity, v, and displacement, x. This acceleration is imparted to all objects near the surface of the earth, and is caused by the ’tug’ of the earth’s gravity; Accordingly, gis referred to as the. In this lab we examine the motion of an object moving with constant. Acceleration Lab Pdf.
From studylib.net
Marble Acceleration Lab Name Sci ______ Lab Procedure Data Acceleration Lab Pdf In this lab you will measure the acceleration due to gravity near the earth’s surface with two experiments: Let’s take a quick look at a simple example: In this lab we examine the motion of an object moving with constant acceleration in one dimension. • to study the relationship between distance, velocity, and acceleration vs. The purpose of this lab. Acceleration Lab Pdf.
From www.studypool.com
SOLUTION Velocity And Acceleration Lab Report Studypool Acceleration Lab Pdf First, by determining the time for a. ๏ verify galileo’s observation that an object on an incline will move with a constant acceleration. This acceleration is imparted to all objects near the surface of the earth, and is caused by the ’tug’ of the earth’s gravity; Accordingly, gis referred to as the. The purpose of this lab is to show. Acceleration Lab Pdf.
From www.studocu.com
03 Distance Velocity Acceleration Lab 3 Distance, Velocity, and Acceleration Lab Pdf A change in the velocity (either direction or magnitude) results in an average acceleration given by = δv/ δt. The purpose of this lab is to show the connection between acceleration, a, velocity, v, and displacement, x. Accordingly, gis referred to as the. Let’s take a quick look at a simple example: ๏ verify galileo’s observation that an object on. Acceleration Lab Pdf.
From www.scribd.com
Acceleration Lab PDF Acceleration Metrology Acceleration Lab Pdf Time graphs when an object. This acceleration is imparted to all objects near the surface of the earth, and is caused by the ’tug’ of the earth’s gravity; A body on a table with two external forces applied as follow. ๏ confirm graphically the kinematic. First, by determining the time for a. • to study the relationship between distance, velocity,. Acceleration Lab Pdf.