Jurisdiction Code In Business Partner . <<strong>ds</strong>:glos.3954a526e9c72731e10000000a114224>jurisdiction code</> in connection with the address of the business partner. the mapping between business partner tax categories and ecc vendor/customer tax numbers is as. A jurisdiction code is a key that, in conjunction with the tax code, determines the amount of tax and the breakdown of. insurance companies using business partner master data in sap often need to default tax jurisdiction code on the business partner.
from learn.razorpay.in
<<strong>ds</strong>:glos.3954a526e9c72731e10000000a114224>jurisdiction code</> in connection with the address of the business partner. the mapping between business partner tax categories and ecc vendor/customer tax numbers is as. A jurisdiction code is a key that, in conjunction with the tax code, determines the amount of tax and the breakdown of. insurance companies using business partner master data in sap often need to default tax jurisdiction code on the business partner.
GST State Code List and Jurisdiction under GST Razorpay Learn
Jurisdiction Code In Business Partner <<strong>ds</strong>:glos.3954a526e9c72731e10000000a114224>jurisdiction code</> in connection with the address of the business partner. the mapping between business partner tax categories and ecc vendor/customer tax numbers is as. A jurisdiction code is a key that, in conjunction with the tax code, determines the amount of tax and the breakdown of. insurance companies using business partner master data in sap often need to default tax jurisdiction code on the business partner. <<strong>ds</strong>:glos.3954a526e9c72731e10000000a114224>jurisdiction code</> in connection with the address of the business partner.
From www.slideserve.com
PPT DL/ID Security and Real ID PowerPoint Presentation, free download Jurisdiction Code In Business Partner insurance companies using business partner master data in sap often need to default tax jurisdiction code on the business partner. <<strong>ds</strong>:glos.3954a526e9c72731e10000000a114224>jurisdiction code</> in connection with the address of the business partner. the mapping between business partner tax categories and ecc vendor/customer tax numbers is as. A jurisdiction code is a key that, in conjunction with the tax. Jurisdiction Code In Business Partner.
From jdadvising.com
Civil Procedure—Highly Tested MBE Topics, Charts, and a Checklist! JD Jurisdiction Code In Business Partner the mapping between business partner tax categories and ecc vendor/customer tax numbers is as. insurance companies using business partner master data in sap often need to default tax jurisdiction code on the business partner. <<strong>ds</strong>:glos.3954a526e9c72731e10000000a114224>jurisdiction code</> in connection with the address of the business partner. A jurisdiction code is a key that, in conjunction with the tax. Jurisdiction Code In Business Partner.
From www.captainbiz.com
30 State Code in GST & Jurisdictional Authorities Jurisdiction Code In Business Partner A jurisdiction code is a key that, in conjunction with the tax code, determines the amount of tax and the breakdown of. the mapping between business partner tax categories and ecc vendor/customer tax numbers is as. insurance companies using business partner master data in sap often need to default tax jurisdiction code on the business partner. <<strong>ds</strong>:glos.3954a526e9c72731e10000000a114224>jurisdiction. Jurisdiction Code In Business Partner.
From mybillbook.in
Know your Jurisdiction GST myBillBook Jurisdiction Code In Business Partner the mapping between business partner tax categories and ecc vendor/customer tax numbers is as. A jurisdiction code is a key that, in conjunction with the tax code, determines the amount of tax and the breakdown of. insurance companies using business partner master data in sap often need to default tax jurisdiction code on the business partner. <<strong>ds</strong>:glos.3954a526e9c72731e10000000a114224>jurisdiction. Jurisdiction Code In Business Partner.
From www.pinterest.com
Pin on D Jurisdiction Code In Business Partner insurance companies using business partner master data in sap often need to default tax jurisdiction code on the business partner. A jurisdiction code is a key that, in conjunction with the tax code, determines the amount of tax and the breakdown of. <<strong>ds</strong>:glos.3954a526e9c72731e10000000a114224>jurisdiction code</> in connection with the address of the business partner. the mapping between business. Jurisdiction Code In Business Partner.
From aetcct.org
HRSA 077 Connecticut AETC Jurisdiction Code In Business Partner insurance companies using business partner master data in sap often need to default tax jurisdiction code on the business partner. A jurisdiction code is a key that, in conjunction with the tax code, determines the amount of tax and the breakdown of. <<strong>ds</strong>:glos.3954a526e9c72731e10000000a114224>jurisdiction code</> in connection with the address of the business partner. the mapping between business. Jurisdiction Code In Business Partner.
From nolier.com
GST State Code List and Jurisdiction (2023) Jurisdiction Code In Business Partner A jurisdiction code is a key that, in conjunction with the tax code, determines the amount of tax and the breakdown of. insurance companies using business partner master data in sap often need to default tax jurisdiction code on the business partner. the mapping between business partner tax categories and ecc vendor/customer tax numbers is as. <<strong>ds</strong>:glos.3954a526e9c72731e10000000a114224>jurisdiction. Jurisdiction Code In Business Partner.
From quaderno.io
What is a tax jurisdiction? Jurisdiction Code In Business Partner the mapping between business partner tax categories and ecc vendor/customer tax numbers is as. insurance companies using business partner master data in sap often need to default tax jurisdiction code on the business partner. <<strong>ds</strong>:glos.3954a526e9c72731e10000000a114224>jurisdiction code</> in connection with the address of the business partner. A jurisdiction code is a key that, in conjunction with the tax. Jurisdiction Code In Business Partner.
From aboutsapfi.blogspot.com
SAP Help Portal Configure Tax on Sales and Purchases Jurisdiction Code In Business Partner <<strong>ds</strong>:glos.3954a526e9c72731e10000000a114224>jurisdiction code</> in connection with the address of the business partner. insurance companies using business partner master data in sap often need to default tax jurisdiction code on the business partner. A jurisdiction code is a key that, in conjunction with the tax code, determines the amount of tax and the breakdown of. the mapping between business. Jurisdiction Code In Business Partner.
From www.besttaxserviceca.com
What is my jurisdiction code California? Best Tax Service Jurisdiction Code In Business Partner insurance companies using business partner master data in sap often need to default tax jurisdiction code on the business partner. A jurisdiction code is a key that, in conjunction with the tax code, determines the amount of tax and the breakdown of. <<strong>ds</strong>:glos.3954a526e9c72731e10000000a114224>jurisdiction code</> in connection with the address of the business partner. the mapping between business. Jurisdiction Code In Business Partner.
From marketbusinessnews.com
What is jurisdiction? Definition and examples Market Business News Jurisdiction Code In Business Partner insurance companies using business partner master data in sap often need to default tax jurisdiction code on the business partner. A jurisdiction code is a key that, in conjunction with the tax code, determines the amount of tax and the breakdown of. <<strong>ds</strong>:glos.3954a526e9c72731e10000000a114224>jurisdiction code</> in connection with the address of the business partner. the mapping between business. Jurisdiction Code In Business Partner.
From navi.com
GST State Code List and Jurisdiction 2023 Jurisdiction Code In Business Partner <<strong>ds</strong>:glos.3954a526e9c72731e10000000a114224>jurisdiction code</> in connection with the address of the business partner. insurance companies using business partner master data in sap often need to default tax jurisdiction code on the business partner. A jurisdiction code is a key that, in conjunction with the tax code, determines the amount of tax and the breakdown of. the mapping between business. Jurisdiction Code In Business Partner.
From support.ignitetech.com
Setting up a Custom Tax Code for a new Tax Jurisdiction IgniteTech Jurisdiction Code In Business Partner the mapping between business partner tax categories and ecc vendor/customer tax numbers is as. <<strong>ds</strong>:glos.3954a526e9c72731e10000000a114224>jurisdiction code</> in connection with the address of the business partner. A jurisdiction code is a key that, in conjunction with the tax code, determines the amount of tax and the breakdown of. insurance companies using business partner master data in sap often. Jurisdiction Code In Business Partner.
From digital.library.unt.edu
Collaborative jurisdiction in the regulation of electric utilities A Jurisdiction Code In Business Partner A jurisdiction code is a key that, in conjunction with the tax code, determines the amount of tax and the breakdown of. <<strong>ds</strong>:glos.3954a526e9c72731e10000000a114224>jurisdiction code</> in connection with the address of the business partner. insurance companies using business partner master data in sap often need to default tax jurisdiction code on the business partner. the mapping between business. Jurisdiction Code In Business Partner.
From www.esri.com
Jurisdictional Outreach Site by SymGEO Esri Partner Solution Jurisdiction Code In Business Partner insurance companies using business partner master data in sap often need to default tax jurisdiction code on the business partner. <<strong>ds</strong>:glos.3954a526e9c72731e10000000a114224>jurisdiction code</> in connection with the address of the business partner. A jurisdiction code is a key that, in conjunction with the tax code, determines the amount of tax and the breakdown of. the mapping between business. Jurisdiction Code In Business Partner.
From sandiegocourtreporting.com
What are the three most common types of civil cases? San Diego Court Jurisdiction Code In Business Partner <<strong>ds</strong>:glos.3954a526e9c72731e10000000a114224>jurisdiction code</> in connection with the address of the business partner. A jurisdiction code is a key that, in conjunction with the tax code, determines the amount of tax and the breakdown of. the mapping between business partner tax categories and ecc vendor/customer tax numbers is as. insurance companies using business partner master data in sap often. Jurisdiction Code In Business Partner.
From www.pinterest.com.au
Metaversebased special economic zone launches in the Caribbean in 2022 Jurisdiction Code In Business Partner the mapping between business partner tax categories and ecc vendor/customer tax numbers is as. insurance companies using business partner master data in sap often need to default tax jurisdiction code on the business partner. <<strong>ds</strong>:glos.3954a526e9c72731e10000000a114224>jurisdiction code</> in connection with the address of the business partner. A jurisdiction code is a key that, in conjunction with the tax. Jurisdiction Code In Business Partner.
From learn.razorpay.in
GST State Code List and Jurisdiction under GST Razorpay Learn Jurisdiction Code In Business Partner <<strong>ds</strong>:glos.3954a526e9c72731e10000000a114224>jurisdiction code</> in connection with the address of the business partner. the mapping between business partner tax categories and ecc vendor/customer tax numbers is as. insurance companies using business partner master data in sap often need to default tax jurisdiction code on the business partner. A jurisdiction code is a key that, in conjunction with the tax. Jurisdiction Code In Business Partner.
From support.raceroster.com
How to understand my tax report's jurisdiction codes How can we help you? Jurisdiction Code In Business Partner insurance companies using business partner master data in sap often need to default tax jurisdiction code on the business partner. the mapping between business partner tax categories and ecc vendor/customer tax numbers is as. A jurisdiction code is a key that, in conjunction with the tax code, determines the amount of tax and the breakdown of. <<strong>ds</strong>:glos.3954a526e9c72731e10000000a114224>jurisdiction. Jurisdiction Code In Business Partner.
From nolier.com
GST State Code List and Jurisdiction (2023) Jurisdiction Code In Business Partner the mapping between business partner tax categories and ecc vendor/customer tax numbers is as. insurance companies using business partner master data in sap often need to default tax jurisdiction code on the business partner. <<strong>ds</strong>:glos.3954a526e9c72731e10000000a114224>jurisdiction code</> in connection with the address of the business partner. A jurisdiction code is a key that, in conjunction with the tax. Jurisdiction Code In Business Partner.
From salestax.help.sovos.com
How to update Tax Jurisdiction Codes in SAP Help Center Jurisdiction Code In Business Partner the mapping between business partner tax categories and ecc vendor/customer tax numbers is as. insurance companies using business partner master data in sap often need to default tax jurisdiction code on the business partner. A jurisdiction code is a key that, in conjunction with the tax code, determines the amount of tax and the breakdown of. <<strong>ds</strong>:glos.3954a526e9c72731e10000000a114224>jurisdiction. Jurisdiction Code In Business Partner.
From www.youtube.com
Tax Jurisdiction Worldwide Approach Territorial Approach Jurisdiction Code In Business Partner insurance companies using business partner master data in sap often need to default tax jurisdiction code on the business partner. A jurisdiction code is a key that, in conjunction with the tax code, determines the amount of tax and the breakdown of. the mapping between business partner tax categories and ecc vendor/customer tax numbers is as. <<strong>ds</strong>:glos.3954a526e9c72731e10000000a114224>jurisdiction. Jurisdiction Code In Business Partner.
From community.sap.com
Basic SAP Tax Overview SAP Community Jurisdiction Code In Business Partner the mapping between business partner tax categories and ecc vendor/customer tax numbers is as. insurance companies using business partner master data in sap often need to default tax jurisdiction code on the business partner. <<strong>ds</strong>:glos.3954a526e9c72731e10000000a114224>jurisdiction code</> in connection with the address of the business partner. A jurisdiction code is a key that, in conjunction with the tax. Jurisdiction Code In Business Partner.
From salestax.help.sovos.com
How to configure External Tax Determination in SAP Help Center Jurisdiction Code In Business Partner insurance companies using business partner master data in sap often need to default tax jurisdiction code on the business partner. A jurisdiction code is a key that, in conjunction with the tax code, determines the amount of tax and the breakdown of. <<strong>ds</strong>:glos.3954a526e9c72731e10000000a114224>jurisdiction code</> in connection with the address of the business partner. the mapping between business. Jurisdiction Code In Business Partner.
From legaladvice.com.my
Hierarchy of Courts in Malaysia From Federal to Magistrate Jurisdiction Code In Business Partner insurance companies using business partner master data in sap often need to default tax jurisdiction code on the business partner. the mapping between business partner tax categories and ecc vendor/customer tax numbers is as. A jurisdiction code is a key that, in conjunction with the tax code, determines the amount of tax and the breakdown of. <<strong>ds</strong>:glos.3954a526e9c72731e10000000a114224>jurisdiction. Jurisdiction Code In Business Partner.
From www.lawyersnjurists.com
JURISDICTION The Lawyers & Jurists Jurisdiction Code In Business Partner <<strong>ds</strong>:glos.3954a526e9c72731e10000000a114224>jurisdiction code</> in connection with the address of the business partner. A jurisdiction code is a key that, in conjunction with the tax code, determines the amount of tax and the breakdown of. insurance companies using business partner master data in sap often need to default tax jurisdiction code on the business partner. the mapping between business. Jurisdiction Code In Business Partner.
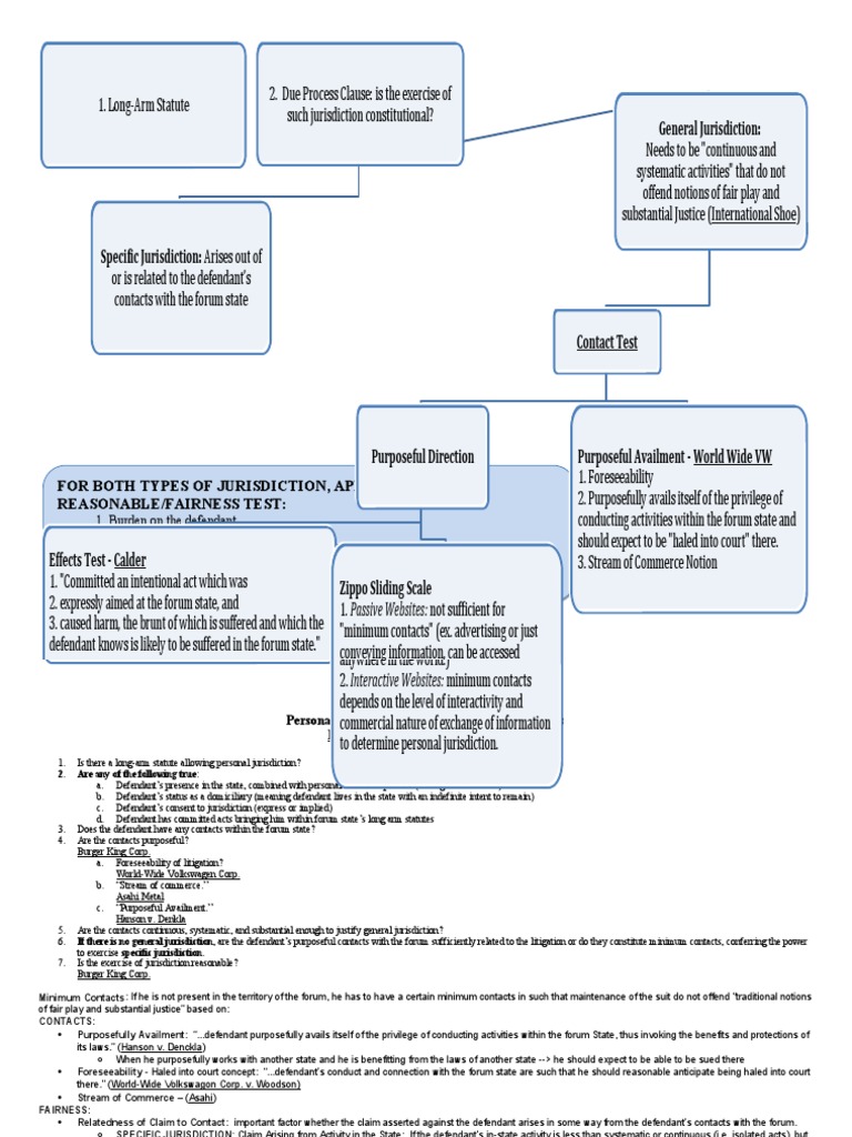
From www.scribd.com
Personal Jurisdiction Chart Jurisdiction Code In Business Partner A jurisdiction code is a key that, in conjunction with the tax code, determines the amount of tax and the breakdown of. <<strong>ds</strong>:glos.3954a526e9c72731e10000000a114224>jurisdiction code</> in connection with the address of the business partner. the mapping between business partner tax categories and ecc vendor/customer tax numbers is as. insurance companies using business partner master data in sap often. Jurisdiction Code In Business Partner.
From www.slideserve.com
PPT Specify Structure for Tax jurisdiction code PowerPoint Jurisdiction Code In Business Partner A jurisdiction code is a key that, in conjunction with the tax code, determines the amount of tax and the breakdown of. insurance companies using business partner master data in sap often need to default tax jurisdiction code on the business partner. the mapping between business partner tax categories and ecc vendor/customer tax numbers is as. <<strong>ds</strong>:glos.3954a526e9c72731e10000000a114224>jurisdiction. Jurisdiction Code In Business Partner.
From ubicaciondepersonas.cdmx.gob.mx
Clark County Nevada Zip Code Map Otto Maps ubicaciondepersonas.cdmx Jurisdiction Code In Business Partner insurance companies using business partner master data in sap often need to default tax jurisdiction code on the business partner. the mapping between business partner tax categories and ecc vendor/customer tax numbers is as. A jurisdiction code is a key that, in conjunction with the tax code, determines the amount of tax and the breakdown of. <<strong>ds</strong>:glos.3954a526e9c72731e10000000a114224>jurisdiction. Jurisdiction Code In Business Partner.
From www.stechies.com
How to Define Tax Jurisdiction? Jurisdiction Code In Business Partner A jurisdiction code is a key that, in conjunction with the tax code, determines the amount of tax and the breakdown of. <<strong>ds</strong>:glos.3954a526e9c72731e10000000a114224>jurisdiction code</> in connection with the address of the business partner. insurance companies using business partner master data in sap often need to default tax jurisdiction code on the business partner. the mapping between business. Jurisdiction Code In Business Partner.
From aboutsapfi.blogspot.com
SAP Help Portal Configure Tax on Sales and Purchases Jurisdiction Code In Business Partner insurance companies using business partner master data in sap often need to default tax jurisdiction code on the business partner. A jurisdiction code is a key that, in conjunction with the tax code, determines the amount of tax and the breakdown of. the mapping between business partner tax categories and ecc vendor/customer tax numbers is as. <<strong>ds</strong>:glos.3954a526e9c72731e10000000a114224>jurisdiction. Jurisdiction Code In Business Partner.
From www.asla.org
Criminalized for Their Very Existence The Spatial Politics of Jurisdiction Code In Business Partner insurance companies using business partner master data in sap often need to default tax jurisdiction code on the business partner. <<strong>ds</strong>:glos.3954a526e9c72731e10000000a114224>jurisdiction code</> in connection with the address of the business partner. the mapping between business partner tax categories and ecc vendor/customer tax numbers is as. A jurisdiction code is a key that, in conjunction with the tax. Jurisdiction Code In Business Partner.
From taxp.blogspot.com
How To Update Tax Jurisdiction In Sap TAXP Jurisdiction Code In Business Partner the mapping between business partner tax categories and ecc vendor/customer tax numbers is as. A jurisdiction code is a key that, in conjunction with the tax code, determines the amount of tax and the breakdown of. <<strong>ds</strong>:glos.3954a526e9c72731e10000000a114224>jurisdiction code</> in connection with the address of the business partner. insurance companies using business partner master data in sap often. Jurisdiction Code In Business Partner.
From www.youtube.com
Using the Initial Loading of External Jurisdiction Codes Job Template Jurisdiction Code In Business Partner A jurisdiction code is a key that, in conjunction with the tax code, determines the amount of tax and the breakdown of. <<strong>ds</strong>:glos.3954a526e9c72731e10000000a114224>jurisdiction code</> in connection with the address of the business partner. the mapping between business partner tax categories and ecc vendor/customer tax numbers is as. insurance companies using business partner master data in sap often. Jurisdiction Code In Business Partner.
From courses.lumenlearning.com
U S Courts Structure and Procedure United States Government Jurisdiction Code In Business Partner insurance companies using business partner master data in sap often need to default tax jurisdiction code on the business partner. <<strong>ds</strong>:glos.3954a526e9c72731e10000000a114224>jurisdiction code</> in connection with the address of the business partner. the mapping between business partner tax categories and ecc vendor/customer tax numbers is as. A jurisdiction code is a key that, in conjunction with the tax. Jurisdiction Code In Business Partner.