How To Use A Binomial Probability Table . Learn how to use the binomial table to calculate probabilities for binomial distributions with different values of n and p. Then x is a binomial random variable with parameters n = 5 and p=1/3=0.\bar {3} note that the probability in question is not p (1), but. To learn how to determine binomial probabilities using a standard cumulative binomial probability table when \(p\) is greater than 0.5. You will need to enter: This binomial distribution table has the most common cumulative probabilities listed for n. Homework or test problems with binomial distributions. You should have a calculator that. You want to use the binomial probability distribution function. This is sometimes shortened to bpd, binomial pd or binomial pdf. Generally, for a small number of trials, we’ll give that function in table form, with a complete list of the possible outcomes in one column and the probability in the other. See examples of sample questions and. How do i calculate, p(x = x) the probability of a single value for a binomial distribution?
from www.slideserve.com
See examples of sample questions and. To learn how to determine binomial probabilities using a standard cumulative binomial probability table when \(p\) is greater than 0.5. You want to use the binomial probability distribution function. Learn how to use the binomial table to calculate probabilities for binomial distributions with different values of n and p. How do i calculate, p(x = x) the probability of a single value for a binomial distribution? This is sometimes shortened to bpd, binomial pd or binomial pdf. You should have a calculator that. Homework or test problems with binomial distributions. This binomial distribution table has the most common cumulative probabilities listed for n. You will need to enter:
PPT Binomial Probability PowerPoint Presentation, free download ID
How To Use A Binomial Probability Table Generally, for a small number of trials, we’ll give that function in table form, with a complete list of the possible outcomes in one column and the probability in the other. You want to use the binomial probability distribution function. You will need to enter: You should have a calculator that. Then x is a binomial random variable with parameters n = 5 and p=1/3=0.\bar {3} note that the probability in question is not p (1), but. Learn how to use the binomial table to calculate probabilities for binomial distributions with different values of n and p. Generally, for a small number of trials, we’ll give that function in table form, with a complete list of the possible outcomes in one column and the probability in the other. This binomial distribution table has the most common cumulative probabilities listed for n. Homework or test problems with binomial distributions. See examples of sample questions and. To learn how to determine binomial probabilities using a standard cumulative binomial probability table when \(p\) is greater than 0.5. This is sometimes shortened to bpd, binomial pd or binomial pdf. How do i calculate, p(x = x) the probability of a single value for a binomial distribution?
From www.statology.org
How to Create a Binomial Distribution Graph in Excel How To Use A Binomial Probability Table Then x is a binomial random variable with parameters n = 5 and p=1/3=0.\bar {3} note that the probability in question is not p (1), but. How do i calculate, p(x = x) the probability of a single value for a binomial distribution? This binomial distribution table has the most common cumulative probabilities listed for n. You want to use. How To Use A Binomial Probability Table.
From www.slideserve.com
PPT Chapter 4 PowerPoint Presentation, free download ID726350 How To Use A Binomial Probability Table Learn how to use the binomial table to calculate probabilities for binomial distributions with different values of n and p. This binomial distribution table has the most common cumulative probabilities listed for n. Then x is a binomial random variable with parameters n = 5 and p=1/3=0.\bar {3} note that the probability in question is not p (1), but. You. How To Use A Binomial Probability Table.
From mr-mathematics.com
Cumulative Probabilities for Binomial Distributions How To Use A Binomial Probability Table Learn how to use the binomial table to calculate probabilities for binomial distributions with different values of n and p. To learn how to determine binomial probabilities using a standard cumulative binomial probability table when \(p\) is greater than 0.5. You want to use the binomial probability distribution function. You will need to enter: See examples of sample questions and.. How To Use A Binomial Probability Table.
From www.automateexcel.com
Binomial Distribution in Excel & Google Sheets Automate Excel How To Use A Binomial Probability Table To learn how to determine binomial probabilities using a standard cumulative binomial probability table when \(p\) is greater than 0.5. See examples of sample questions and. Generally, for a small number of trials, we’ll give that function in table form, with a complete list of the possible outcomes in one column and the probability in the other. Then x is. How To Use A Binomial Probability Table.
From www.slideserve.com
PPT Probability Distribution PowerPoint Presentation, free download How To Use A Binomial Probability Table Learn how to use the binomial table to calculate probabilities for binomial distributions with different values of n and p. Generally, for a small number of trials, we’ll give that function in table form, with a complete list of the possible outcomes in one column and the probability in the other. You should have a calculator that. You want to. How To Use A Binomial Probability Table.
From www.studocu.com
Binomial cdf Tables of the Binomial Cumulative Distribution The table How To Use A Binomial Probability Table To learn how to determine binomial probabilities using a standard cumulative binomial probability table when \(p\) is greater than 0.5. Then x is a binomial random variable with parameters n = 5 and p=1/3=0.\bar {3} note that the probability in question is not p (1), but. See examples of sample questions and. This binomial distribution table has the most common. How To Use A Binomial Probability Table.
From brokeasshome.com
binomial probability distribution table How To Use A Binomial Probability Table You should have a calculator that. Generally, for a small number of trials, we’ll give that function in table form, with a complete list of the possible outcomes in one column and the probability in the other. Homework or test problems with binomial distributions. You want to use the binomial probability distribution function. To learn how to determine binomial probabilities. How To Use A Binomial Probability Table.
From www.statology.org
Binomial Distribution Table How To Use A Binomial Probability Table This is sometimes shortened to bpd, binomial pd or binomial pdf. How do i calculate, p(x = x) the probability of a single value for a binomial distribution? You want to use the binomial probability distribution function. Homework or test problems with binomial distributions. Then x is a binomial random variable with parameters n = 5 and p=1/3=0.\bar {3} note. How To Use A Binomial Probability Table.
From www.docsity.com
Binomial Probability Distribution Table Summaries Probability and How To Use A Binomial Probability Table Then x is a binomial random variable with parameters n = 5 and p=1/3=0.\bar {3} note that the probability in question is not p (1), but. See examples of sample questions and. This binomial distribution table has the most common cumulative probabilities listed for n. Homework or test problems with binomial distributions. To learn how to determine binomial probabilities using. How To Use A Binomial Probability Table.
From www.slideserve.com
PPT Chapter 7 PowerPoint Presentation, free download ID6846699 How To Use A Binomial Probability Table Generally, for a small number of trials, we’ll give that function in table form, with a complete list of the possible outcomes in one column and the probability in the other. This is sometimes shortened to bpd, binomial pd or binomial pdf. You want to use the binomial probability distribution function. You will need to enter: You should have a. How To Use A Binomial Probability Table.
From www.slideserve.com
PPT Binomial Probability PowerPoint Presentation, free download ID How To Use A Binomial Probability Table How do i calculate, p(x = x) the probability of a single value for a binomial distribution? To learn how to determine binomial probabilities using a standard cumulative binomial probability table when \(p\) is greater than 0.5. You want to use the binomial probability distribution function. See examples of sample questions and. Homework or test problems with binomial distributions. Learn. How To Use A Binomial Probability Table.
From www.scribd.com
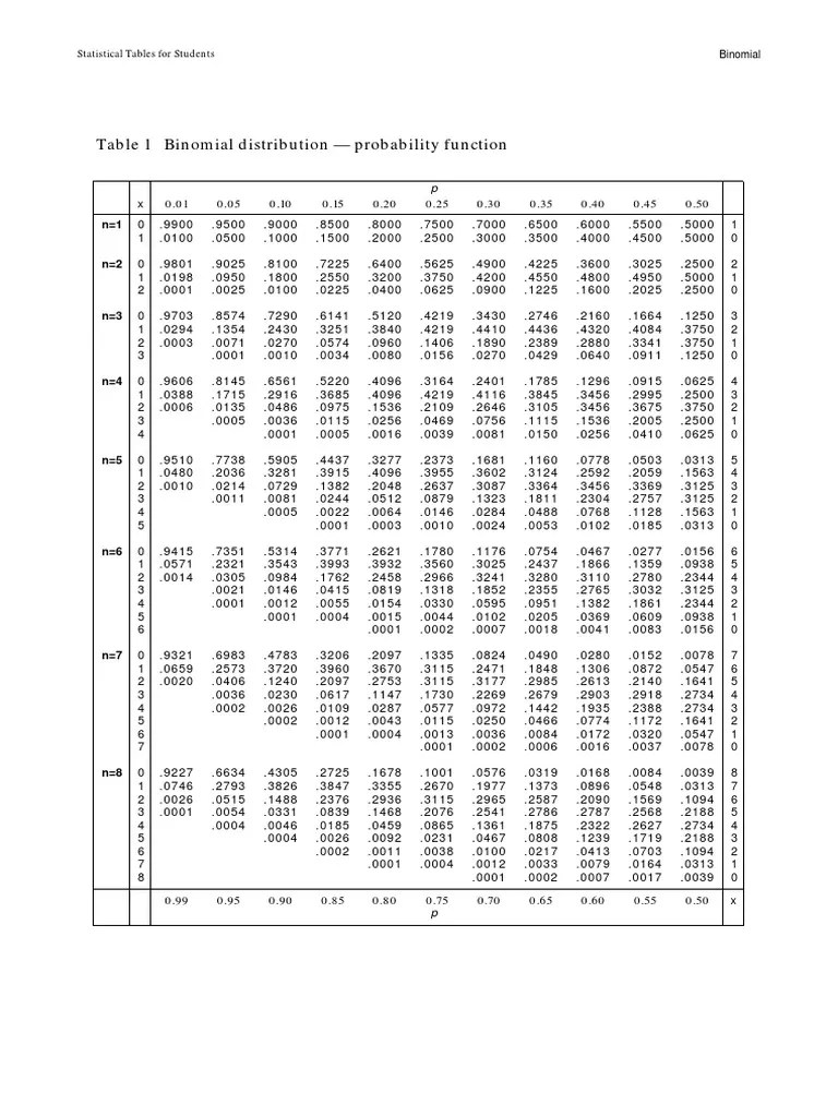
Table 1 Binomial distribution — probability function Statistical How To Use A Binomial Probability Table To learn how to determine binomial probabilities using a standard cumulative binomial probability table when \(p\) is greater than 0.5. Generally, for a small number of trials, we’ll give that function in table form, with a complete list of the possible outcomes in one column and the probability in the other. This is sometimes shortened to bpd, binomial pd or. How To Use A Binomial Probability Table.
From www.youtube.com
Math 1342 Statistics Binomial Probabilities using a TI83/84 or How To Use A Binomial Probability Table Generally, for a small number of trials, we’ll give that function in table form, with a complete list of the possible outcomes in one column and the probability in the other. To learn how to determine binomial probabilities using a standard cumulative binomial probability table when \(p\) is greater than 0.5. You should have a calculator that. This binomial distribution. How To Use A Binomial Probability Table.
From www.youtube.com
How To Use The Binomial Table YouTube How To Use A Binomial Probability Table You should have a calculator that. How do i calculate, p(x = x) the probability of a single value for a binomial distribution? You will need to enter: See examples of sample questions and. Learn how to use the binomial table to calculate probabilities for binomial distributions with different values of n and p. This binomial distribution table has the. How To Use A Binomial Probability Table.
From mmerevise.co.uk
Normal Approximations to the Binomial Distribution Revision MME How To Use A Binomial Probability Table Then x is a binomial random variable with parameters n = 5 and p=1/3=0.\bar {3} note that the probability in question is not p (1), but. See examples of sample questions and. To learn how to determine binomial probabilities using a standard cumulative binomial probability table when \(p\) is greater than 0.5. How do i calculate, p(x = x) the. How To Use A Binomial Probability Table.
From calcworkshop.com
Binomial Distribution (Fully Explained w/ 11 Examples!) How To Use A Binomial Probability Table This is sometimes shortened to bpd, binomial pd or binomial pdf. You will need to enter: Homework or test problems with binomial distributions. Generally, for a small number of trials, we’ll give that function in table form, with a complete list of the possible outcomes in one column and the probability in the other. See examples of sample questions and.. How To Use A Binomial Probability Table.
From www.slideserve.com
PPT The Binomial Distribution PowerPoint Presentation, free download How To Use A Binomial Probability Table See examples of sample questions and. You should have a calculator that. How do i calculate, p(x = x) the probability of a single value for a binomial distribution? Homework or test problems with binomial distributions. This binomial distribution table has the most common cumulative probabilities listed for n. Generally, for a small number of trials, we’ll give that function. How To Use A Binomial Probability Table.
From www.youtube.com
Binomial probability manual and calculator steps YouTube How To Use A Binomial Probability Table You want to use the binomial probability distribution function. This binomial distribution table has the most common cumulative probabilities listed for n. Generally, for a small number of trials, we’ll give that function in table form, with a complete list of the possible outcomes in one column and the probability in the other. This is sometimes shortened to bpd, binomial. How To Use A Binomial Probability Table.
From www.slideserve.com
PPT Binomial Probability Distribution PowerPoint Presentation, free How To Use A Binomial Probability Table You will need to enter: Generally, for a small number of trials, we’ll give that function in table form, with a complete list of the possible outcomes in one column and the probability in the other. Then x is a binomial random variable with parameters n = 5 and p=1/3=0.\bar {3} note that the probability in question is not p. How To Use A Binomial Probability Table.
From mungfali.com
Binomial Distribution Table Full How To Use A Binomial Probability Table You should have a calculator that. Then x is a binomial random variable with parameters n = 5 and p=1/3=0.\bar {3} note that the probability in question is not p (1), but. This is sometimes shortened to bpd, binomial pd or binomial pdf. To learn how to determine binomial probabilities using a standard cumulative binomial probability table when \(p\) is. How To Use A Binomial Probability Table.
From calcworkshop.com
Binomial Distribution (Fully Explained w/ 11 Examples!) How To Use A Binomial Probability Table You will need to enter: To learn how to determine binomial probabilities using a standard cumulative binomial probability table when \(p\) is greater than 0.5. See examples of sample questions and. How do i calculate, p(x = x) the probability of a single value for a binomial distribution? Learn how to use the binomial table to calculate probabilities for binomial. How To Use A Binomial Probability Table.
From scales.arabpsychology.com
How To Read The Binomial Distribution Table How To Use A Binomial Probability Table Learn how to use the binomial table to calculate probabilities for binomial distributions with different values of n and p. You want to use the binomial probability distribution function. Then x is a binomial random variable with parameters n = 5 and p=1/3=0.\bar {3} note that the probability in question is not p (1), but. To learn how to determine. How To Use A Binomial Probability Table.
From equals.adamstankandlift.com
How to Read the Binomial Distribution Table Statology How To Use A Binomial Probability Table Learn how to use the binomial table to calculate probabilities for binomial distributions with different values of n and p. This binomial distribution table has the most common cumulative probabilities listed for n. Generally, for a small number of trials, we’ll give that function in table form, with a complete list of the possible outcomes in one column and the. How To Use A Binomial Probability Table.
From www.youtube.com
Binomial Distribution Cumulative Probability Tables ExamSolutions How To Use A Binomial Probability Table Then x is a binomial random variable with parameters n = 5 and p=1/3=0.\bar {3} note that the probability in question is not p (1), but. How do i calculate, p(x = x) the probability of a single value for a binomial distribution? You want to use the binomial probability distribution function. This is sometimes shortened to bpd, binomial pd. How To Use A Binomial Probability Table.
From www.youtube.com
Using a binomial probability table to solve cumulative probability How To Use A Binomial Probability Table You want to use the binomial probability distribution function. How do i calculate, p(x = x) the probability of a single value for a binomial distribution? You should have a calculator that. Homework or test problems with binomial distributions. Generally, for a small number of trials, we’ll give that function in table form, with a complete list of the possible. How To Use A Binomial Probability Table.
From www.youtube.com
Finding The Probability of a Binomial Distribution Plus Mean & Standard How To Use A Binomial Probability Table Then x is a binomial random variable with parameters n = 5 and p=1/3=0.\bar {3} note that the probability in question is not p (1), but. See examples of sample questions and. Homework or test problems with binomial distributions. This binomial distribution table has the most common cumulative probabilities listed for n. You should have a calculator that. You want. How To Use A Binomial Probability Table.
From www.slideserve.com
PPT 6.1 Binomial Distributions PowerPoint Presentation ID5758746 How To Use A Binomial Probability Table Homework or test problems with binomial distributions. You should have a calculator that. This is sometimes shortened to bpd, binomial pd or binomial pdf. See examples of sample questions and. You will need to enter: You want to use the binomial probability distribution function. This binomial distribution table has the most common cumulative probabilities listed for n. How do i. How To Use A Binomial Probability Table.
From www.youtube.com
Creating Binomial Distribution Tables in Excel YouTube How To Use A Binomial Probability Table Homework or test problems with binomial distributions. How do i calculate, p(x = x) the probability of a single value for a binomial distribution? Then x is a binomial random variable with parameters n = 5 and p=1/3=0.\bar {3} note that the probability in question is not p (1), but. You will need to enter: To learn how to determine. How To Use A Binomial Probability Table.
From www.statology.org
How to Create a Binomial Distribution Graph in Excel How To Use A Binomial Probability Table Then x is a binomial random variable with parameters n = 5 and p=1/3=0.\bar {3} note that the probability in question is not p (1), but. Homework or test problems with binomial distributions. This binomial distribution table has the most common cumulative probabilities listed for n. To learn how to determine binomial probabilities using a standard cumulative binomial probability table. How To Use A Binomial Probability Table.
From www.youtube.com
Binomial Distribution Using the Probability Tables YouTube How To Use A Binomial Probability Table See examples of sample questions and. You will need to enter: To learn how to determine binomial probabilities using a standard cumulative binomial probability table when \(p\) is greater than 0.5. Then x is a binomial random variable with parameters n = 5 and p=1/3=0.\bar {3} note that the probability in question is not p (1), but. You want to. How To Use A Binomial Probability Table.
From www.statology.org
How to Create a Binomial Distribution Graph in Excel How To Use A Binomial Probability Table You want to use the binomial probability distribution function. See examples of sample questions and. You should have a calculator that. This is sometimes shortened to bpd, binomial pd or binomial pdf. Homework or test problems with binomial distributions. Generally, for a small number of trials, we’ll give that function in table form, with a complete list of the possible. How To Use A Binomial Probability Table.
From www.youtube.com
Using a binomial probability table to solve cumulative probability How To Use A Binomial Probability Table This is sometimes shortened to bpd, binomial pd or binomial pdf. Then x is a binomial random variable with parameters n = 5 and p=1/3=0.\bar {3} note that the probability in question is not p (1), but. Homework or test problems with binomial distributions. This binomial distribution table has the most common cumulative probabilities listed for n. You will need. How To Use A Binomial Probability Table.
From www.youtube.com
binomial table YouTube How To Use A Binomial Probability Table This binomial distribution table has the most common cumulative probabilities listed for n. You will need to enter: You should have a calculator that. Generally, for a small number of trials, we’ll give that function in table form, with a complete list of the possible outcomes in one column and the probability in the other. Learn how to use the. How To Use A Binomial Probability Table.
From www.dummies.com
Figuring Binomial Probabilities Using the Binomial Table dummies How To Use A Binomial Probability Table This binomial distribution table has the most common cumulative probabilities listed for n. See examples of sample questions and. To learn how to determine binomial probabilities using a standard cumulative binomial probability table when \(p\) is greater than 0.5. Generally, for a small number of trials, we’ll give that function in table form, with a complete list of the possible. How To Use A Binomial Probability Table.
From www.youtube.com
Binomial Probabilities with a Table YouTube How To Use A Binomial Probability Table You should have a calculator that. Homework or test problems with binomial distributions. This binomial distribution table has the most common cumulative probabilities listed for n. To learn how to determine binomial probabilities using a standard cumulative binomial probability table when \(p\) is greater than 0.5. How do i calculate, p(x = x) the probability of a single value for. How To Use A Binomial Probability Table.