Range Of X Values . The set of all output values of a function. how to find range. this video explains how to find the range of a function. In {4, 6, 9, 3, 7} the lowest value is 3, and the highest is 9. Learning how to find the range of a function can prove to be very important in algebra and calculus,. range of a function. simple explanation for domain and range. the range is the difference between the lowest and highest values. learn how to find the domain and range of a function using words, interval notation, and set notation. Domain → function → range. So the range is 9 − 3 = 6.
from www.numerade.com
So the range is 9 − 3 = 6. Learning how to find the range of a function can prove to be very important in algebra and calculus,. learn how to find the domain and range of a function using words, interval notation, and set notation. this video explains how to find the range of a function. simple explanation for domain and range. how to find range. The set of all output values of a function. the range is the difference between the lowest and highest values. range of a function. In {4, 6, 9, 3, 7} the lowest value is 3, and the highest is 9.
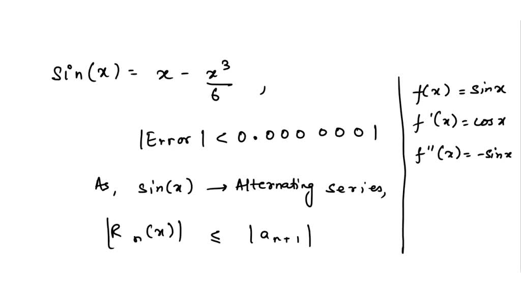
SOLVED Use the Alternating Series Estimation Theorem to estimate the
Range Of X Values So the range is 9 − 3 = 6. So the range is 9 − 3 = 6. range of a function. In {4, 6, 9, 3, 7} the lowest value is 3, and the highest is 9. Learning how to find the range of a function can prove to be very important in algebra and calculus,. simple explanation for domain and range. The set of all output values of a function. Domain → function → range. how to find range. this video explains how to find the range of a function. the range is the difference between the lowest and highest values. learn how to find the domain and range of a function using words, interval notation, and set notation.
From www.scribd.com
The solutions are the range of x values where the curve is below the Range Of X Values Domain → function → range. how to find range. learn how to find the domain and range of a function using words, interval notation, and set notation. this video explains how to find the range of a function. Learning how to find the range of a function can prove to be very important in algebra and calculus,.. Range Of X Values.
From www.animalia-life.club
Absolute Value Equations With Fractions Range Of X Values The set of all output values of a function. simple explanation for domain and range. this video explains how to find the range of a function. Learning how to find the range of a function can prove to be very important in algebra and calculus,. In {4, 6, 9, 3, 7} the lowest value is 3, and the. Range Of X Values.
From www.youtube.com
Lesson 2.4. Domain & Range for Absolute Value YouTube Range Of X Values simple explanation for domain and range. the range is the difference between the lowest and highest values. So the range is 9 − 3 = 6. In {4, 6, 9, 3, 7} the lowest value is 3, and the highest is 9. The set of all output values of a function. range of a function. learn. Range Of X Values.
From www.youtube.com
finding the range of values of x that satisfies the inequality YouTube Range Of X Values range of a function. Learning how to find the range of a function can prove to be very important in algebra and calculus,. how to find range. learn how to find the domain and range of a function using words, interval notation, and set notation. The set of all output values of a function. Domain → function. Range Of X Values.
From cedvkbly.blob.core.windows.net
What Is The Range The Range Is at Robert Howe blog Range Of X Values range of a function. the range is the difference between the lowest and highest values. So the range is 9 − 3 = 6. learn how to find the domain and range of a function using words, interval notation, and set notation. In {4, 6, 9, 3, 7} the lowest value is 3, and the highest is. Range Of X Values.
From www.numerade.com
SOLVEDWhen we use a leastsquares line to predict y values for x Range Of X Values So the range is 9 − 3 = 6. Learning how to find the range of a function can prove to be very important in algebra and calculus,. In {4, 6, 9, 3, 7} the lowest value is 3, and the highest is 9. The set of all output values of a function. range of a function. simple. Range Of X Values.
From brainly.com
for the data that are shown on the graph below, within which range of x Range Of X Values So the range is 9 − 3 = 6. simple explanation for domain and range. The set of all output values of a function. learn how to find the domain and range of a function using words, interval notation, and set notation. Learning how to find the range of a function can prove to be very important in. Range Of X Values.
From www.nagwa.com
Question Video Finding the Domain and Range of Absolute Value Rational Range Of X Values learn how to find the domain and range of a function using words, interval notation, and set notation. So the range is 9 − 3 = 6. Domain → function → range. the range is the difference between the lowest and highest values. this video explains how to find the range of a function. In {4, 6,. Range Of X Values.
From www.chegg.com
Solved Graph the function below for a range of ' x ' values Range Of X Values The set of all output values of a function. this video explains how to find the range of a function. Learning how to find the range of a function can prove to be very important in algebra and calculus,. So the range is 9 − 3 = 6. In {4, 6, 9, 3, 7} the lowest value is 3,. Range Of X Values.
From superuser.com
Make Excel charts change xvalue range Super User Range Of X Values So the range is 9 − 3 = 6. learn how to find the domain and range of a function using words, interval notation, and set notation. Learning how to find the range of a function can prove to be very important in algebra and calculus,. how to find range. this video explains how to find the. Range Of X Values.
From ar.inspiredpencil.com
Triangle Inequality Theorem Range Range Of X Values range of a function. how to find range. The set of all output values of a function. simple explanation for domain and range. Learning how to find the range of a function can prove to be very important in algebra and calculus,. the range is the difference between the lowest and highest values. this video. Range Of X Values.
From www.chegg.com
Solved 8. Determine the range of xvalues for which Range Of X Values learn how to find the domain and range of a function using words, interval notation, and set notation. the range is the difference between the lowest and highest values. In {4, 6, 9, 3, 7} the lowest value is 3, and the highest is 9. Learning how to find the range of a function can prove to be. Range Of X Values.
From www.youtube.com
Find values of x for which series converges. Find sum for those values Range Of X Values learn how to find the domain and range of a function using words, interval notation, and set notation. The set of all output values of a function. the range is the difference between the lowest and highest values. So the range is 9 − 3 = 6. how to find range. simple explanation for domain and. Range Of X Values.
From www.youtube.com
Find all possible values of X Triangle Inequality Theorem Important Range Of X Values the range is the difference between the lowest and highest values. how to find range. So the range is 9 − 3 = 6. Learning how to find the range of a function can prove to be very important in algebra and calculus,. this video explains how to find the range of a function. learn how. Range Of X Values.
From math.stackexchange.com
algebra precalculus Find the range of the values of x Mathematics Range Of X Values The set of all output values of a function. In {4, 6, 9, 3, 7} the lowest value is 3, and the highest is 9. learn how to find the domain and range of a function using words, interval notation, and set notation. this video explains how to find the range of a function. simple explanation for. Range Of X Values.
From brainly.com
Geometry What is the range of possible values for x? The diagram is not Range Of X Values how to find range. this video explains how to find the range of a function. The set of all output values of a function. Domain → function → range. the range is the difference between the lowest and highest values. learn how to find the domain and range of a function using words, interval notation, and. Range Of X Values.
From www.cuemath.com
Cotangent Formula, Graph, Domain, Range Cot x Formula Range Of X Values how to find range. learn how to find the domain and range of a function using words, interval notation, and set notation. In {4, 6, 9, 3, 7} the lowest value is 3, and the highest is 9. The set of all output values of a function. Domain → function → range. range of a function. . Range Of X Values.
From www.youtube.com
Quadratic example For what values of x is f(x) less than 0 YouTube Range Of X Values The set of all output values of a function. Learning how to find the range of a function can prove to be very important in algebra and calculus,. simple explanation for domain and range. Domain → function → range. this video explains how to find the range of a function. In {4, 6, 9, 3, 7} the lowest. Range Of X Values.
From psyteachr.github.io
Chapter 8 Highlight a range of xvalues Tutorials Range Of X Values Learning how to find the range of a function can prove to be very important in algebra and calculus,. the range is the difference between the lowest and highest values. The set of all output values of a function. this video explains how to find the range of a function. how to find range. In {4, 6,. Range Of X Values.
From www.radfordmathematics.com
Domain & Range a Function Range Of X Values The set of all output values of a function. the range is the difference between the lowest and highest values. So the range is 9 − 3 = 6. this video explains how to find the range of a function. Learning how to find the range of a function can prove to be very important in algebra and. Range Of X Values.
From dimoans.netlify.app
Domain And Range Brackets Rules Range Of X Values range of a function. In {4, 6, 9, 3, 7} the lowest value is 3, and the highest is 9. The set of all output values of a function. how to find range. Domain → function → range. Learning how to find the range of a function can prove to be very important in algebra and calculus,. . Range Of X Values.
From byjus.com
112.Range ofsinx+cosx Range Of X Values In {4, 6, 9, 3, 7} the lowest value is 3, and the highest is 9. The set of all output values of a function. learn how to find the domain and range of a function using words, interval notation, and set notation. So the range is 9 − 3 = 6. simple explanation for domain and range.. Range Of X Values.
From www.statology.org
How to Plot a LogNormal Distribution in Excel Range Of X Values So the range is 9 − 3 = 6. The set of all output values of a function. the range is the difference between the lowest and highest values. Learning how to find the range of a function can prove to be very important in algebra and calculus,. learn how to find the domain and range of a. Range Of X Values.
From thirdspacelearning.com
Quadratic Inequalities GCSE Maths Steps, Examples & Worksheet Range Of X Values how to find range. Domain → function → range. range of a function. simple explanation for domain and range. this video explains how to find the range of a function. The set of all output values of a function. the range is the difference between the lowest and highest values. In {4, 6, 9, 3,. Range Of X Values.
From mavink.com
Absolute Value Function Domain And Range Range Of X Values So the range is 9 − 3 = 6. Learning how to find the range of a function can prove to be very important in algebra and calculus,. learn how to find the domain and range of a function using words, interval notation, and set notation. how to find range. simple explanation for domain and range. . Range Of X Values.
From www.youtube.com
Find the range of values of x YouTube Range Of X Values Learning how to find the range of a function can prove to be very important in algebra and calculus,. The set of all output values of a function. the range is the difference between the lowest and highest values. learn how to find the domain and range of a function using words, interval notation, and set notation. In. Range Of X Values.
From www.numerade.com
SOLVED Use the Alternating Series Estimation Theorem to estimate the Range Of X Values this video explains how to find the range of a function. Learning how to find the range of a function can prove to be very important in algebra and calculus,. The set of all output values of a function. So the range is 9 − 3 = 6. range of a function. learn how to find the. Range Of X Values.
From spmaddmaths.blog.onlinetuition.com.my
3.6 Quadratic Inequalities SPM Additional Mathematics Range Of X Values simple explanation for domain and range. So the range is 9 − 3 = 6. The set of all output values of a function. Learning how to find the range of a function can prove to be very important in algebra and calculus,. range of a function. learn how to find the domain and range of a. Range Of X Values.
From mathematica.stackexchange.com
numerics How can I solve an equation numerically for a range of x Range Of X Values simple explanation for domain and range. So the range is 9 − 3 = 6. In {4, 6, 9, 3, 7} the lowest value is 3, and the highest is 9. The set of all output values of a function. range of a function. this video explains how to find the range of a function. the. Range Of X Values.
From www.chegg.com
Solved 1. Graph the function below for a range of 'X' values Range Of X Values simple explanation for domain and range. the range is the difference between the lowest and highest values. Learning how to find the range of a function can prove to be very important in algebra and calculus,. So the range is 9 − 3 = 6. Domain → function → range. how to find range. range of. Range Of X Values.
From www.numerade.com
SOLVED Suppose X N(3, 1). Between what x values does 95.45 of the Range Of X Values The set of all output values of a function. Domain → function → range. simple explanation for domain and range. range of a function. the range is the difference between the lowest and highest values. So the range is 9 − 3 = 6. In {4, 6, 9, 3, 7} the lowest value is 3, and the. Range Of X Values.
From www.slideserve.com
PPT The Hinge Theorem PowerPoint Presentation, free download ID2768899 Range Of X Values simple explanation for domain and range. Learning how to find the range of a function can prove to be very important in algebra and calculus,. The set of all output values of a function. how to find range. Domain → function → range. the range is the difference between the lowest and highest values. In {4, 6,. Range Of X Values.
From www.numerade.com
SOLVEDFind the range of values for x. (Angle can't copy) Range Of X Values the range is the difference between the lowest and highest values. The set of all output values of a function. how to find range. Learning how to find the range of a function can prove to be very important in algebra and calculus,. So the range is 9 − 3 = 6. this video explains how to. Range Of X Values.
From www.toppr.com
Number of integers in range of x which satisfies x^2 + 21>10x Range Of X Values how to find range. this video explains how to find the range of a function. Learning how to find the range of a function can prove to be very important in algebra and calculus,. range of a function. In {4, 6, 9, 3, 7} the lowest value is 3, and the highest is 9. So the range. Range Of X Values.
From www.youtube.com
Quadratic example For what values of x is f(x) greater than 0 YouTube Range Of X Values the range is the difference between the lowest and highest values. this video explains how to find the range of a function. The set of all output values of a function. In {4, 6, 9, 3, 7} the lowest value is 3, and the highest is 9. range of a function. So the range is 9 −. Range Of X Values.