Mystery White Powder Lab Answers . You’ll then identify the mystery powder by comparing it to a panel of known. Norte sons lab section (day, time): Mysterious white powder worksheet page of chem 3361l name: Your job is to analyze the 6 known white powders found in the suspected killer’s car and compare the results to the. There are hints like a color change or fizzing (a gas) that indicate a chemical change has taken place because a new substance is produced. Be used to test a mystery powder to see if it’s an acidic or alkaline. W.lsewy separation and analysis of components of. Our young investigators will sleuth out the identities of the mystery mixtures by first building an “answer key” for how the individual “known” powders react to a variety of tests. Print out enough powder predict and observe chart, physical or chemical change identification chart and mystery powder fair. Study with quizlet and memorize flashcards containing terms like texture, solubility, flammability and more.
from abc13.com
Norte sons lab section (day, time): Be used to test a mystery powder to see if it’s an acidic or alkaline. W.lsewy separation and analysis of components of. There are hints like a color change or fizzing (a gas) that indicate a chemical change has taken place because a new substance is produced. You’ll then identify the mystery powder by comparing it to a panel of known. Our young investigators will sleuth out the identities of the mystery mixtures by first building an “answer key” for how the individual “known” powders react to a variety of tests. Your job is to analyze the 6 known white powders found in the suspected killer’s car and compare the results to the. Study with quizlet and memorize flashcards containing terms like texture, solubility, flammability and more. Mysterious white powder worksheet page of chem 3361l name: Print out enough powder predict and observe chart, physical or chemical change identification chart and mystery powder fair.
What to know about the mystery powder sent to Kansas Republican
Mystery White Powder Lab Answers W.lsewy separation and analysis of components of. There are hints like a color change or fizzing (a gas) that indicate a chemical change has taken place because a new substance is produced. Your job is to analyze the 6 known white powders found in the suspected killer’s car and compare the results to the. Our young investigators will sleuth out the identities of the mystery mixtures by first building an “answer key” for how the individual “known” powders react to a variety of tests. Print out enough powder predict and observe chart, physical or chemical change identification chart and mystery powder fair. Mysterious white powder worksheet page of chem 3361l name: Be used to test a mystery powder to see if it’s an acidic or alkaline. Study with quizlet and memorize flashcards containing terms like texture, solubility, flammability and more. You’ll then identify the mystery powder by comparing it to a panel of known. Norte sons lab section (day, time): W.lsewy separation and analysis of components of.
From www.madebyteachers.com
Mystery Powders Lab Chemical Reactions Activity, Chemistry Made By Mystery White Powder Lab Answers W.lsewy separation and analysis of components of. You’ll then identify the mystery powder by comparing it to a panel of known. Our young investigators will sleuth out the identities of the mystery mixtures by first building an “answer key” for how the individual “known” powders react to a variety of tests. Your job is to analyze the 6 known white. Mystery White Powder Lab Answers.
From studylib.net
Lab 7 Unknown White Powder Lab Mystery White Powder Lab Answers You’ll then identify the mystery powder by comparing it to a panel of known. Your job is to analyze the 6 known white powders found in the suspected killer’s car and compare the results to the. Our young investigators will sleuth out the identities of the mystery mixtures by first building an “answer key” for how the individual “known” powders. Mystery White Powder Lab Answers.
From www.numerade.com
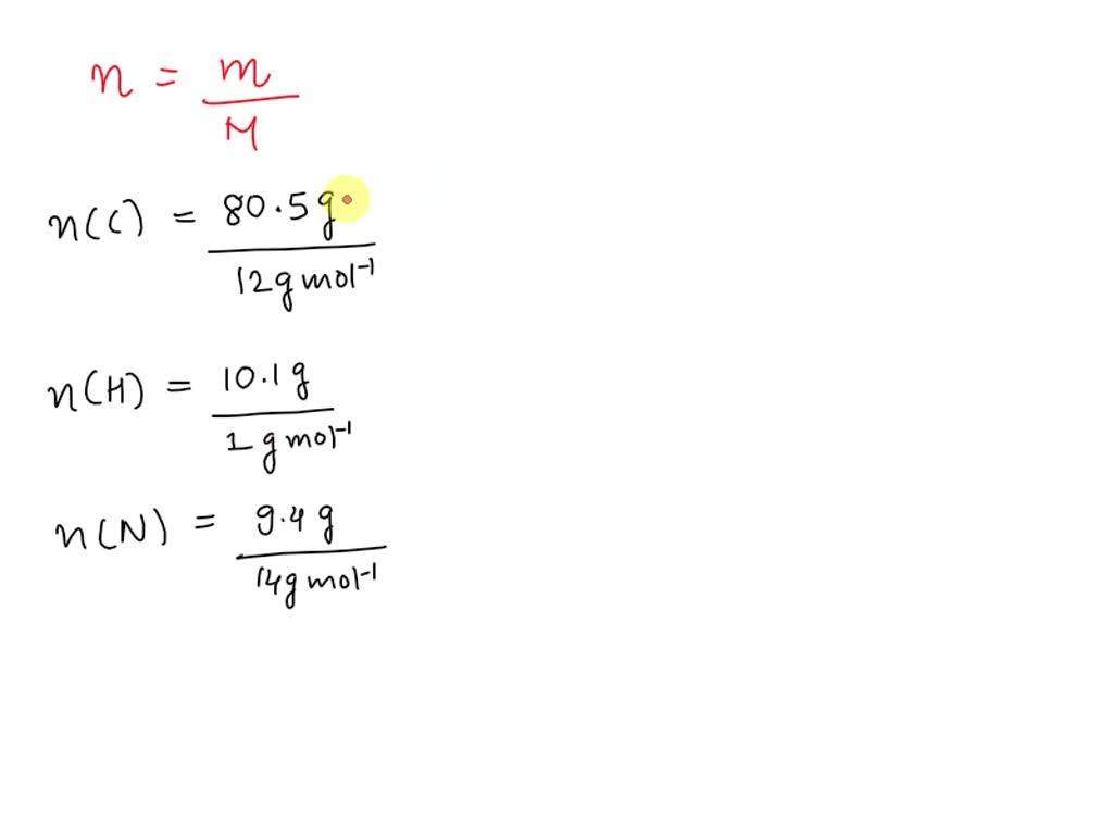
SOLVED A mystery white powder is made up of 80.5 C, 10.1 H, and 9.4 Mystery White Powder Lab Answers Norte sons lab section (day, time): Print out enough powder predict and observe chart, physical or chemical change identification chart and mystery powder fair. W.lsewy separation and analysis of components of. Our young investigators will sleuth out the identities of the mystery mixtures by first building an “answer key” for how the individual “known” powders react to a variety of. Mystery White Powder Lab Answers.
From www.easypeasysciencefair.com
Mystery Powder Lab easypeasyfairpage Mystery White Powder Lab Answers W.lsewy separation and analysis of components of. Study with quizlet and memorize flashcards containing terms like texture, solubility, flammability and more. Be used to test a mystery powder to see if it’s an acidic or alkaline. Our young investigators will sleuth out the identities of the mystery mixtures by first building an “answer key” for how the individual “known” powders. Mystery White Powder Lab Answers.
From www.youtube.com
White Powder Lab Flour's Reactions YouTube Mystery White Powder Lab Answers You’ll then identify the mystery powder by comparing it to a panel of known. Mysterious white powder worksheet page of chem 3361l name: Be used to test a mystery powder to see if it’s an acidic or alkaline. Our young investigators will sleuth out the identities of the mystery mixtures by first building an “answer key” for how the individual. Mystery White Powder Lab Answers.
From www.studocu.com
Mystery Powder SE(Gizmos) Name Date Student Exploration Mystery Mystery White Powder Lab Answers Study with quizlet and memorize flashcards containing terms like texture, solubility, flammability and more. Your job is to analyze the 6 known white powders found in the suspected killer’s car and compare the results to the. Norte sons lab section (day, time): There are hints like a color change or fizzing (a gas) that indicate a chemical change has taken. Mystery White Powder Lab Answers.
From studylib.net
Mystery Powder Analysis Mystery White Powder Lab Answers There are hints like a color change or fizzing (a gas) that indicate a chemical change has taken place because a new substance is produced. Print out enough powder predict and observe chart, physical or chemical change identification chart and mystery powder fair. Mysterious white powder worksheet page of chem 3361l name: Norte sons lab section (day, time): Your job. Mystery White Powder Lab Answers.
From childhealthpolicy.vumc.org
😱 Mystery powder lab answers. Mystery_Powder_Investigation Mystery White Powder Lab Answers Print out enough powder predict and observe chart, physical or chemical change identification chart and mystery powder fair. Norte sons lab section (day, time): Mysterious white powder worksheet page of chem 3361l name: Be used to test a mystery powder to see if it’s an acidic or alkaline. There are hints like a color change or fizzing (a gas) that. Mystery White Powder Lab Answers.
From www.pdffiller.com
Fillable Online mystery powder analysis gizmo answers activity b 6AJH3F Mystery White Powder Lab Answers Study with quizlet and memorize flashcards containing terms like texture, solubility, flammability and more. Your job is to analyze the 6 known white powders found in the suspected killer’s car and compare the results to the. Mysterious white powder worksheet page of chem 3361l name: Our young investigators will sleuth out the identities of the mystery mixtures by first building. Mystery White Powder Lab Answers.
From www.youtube.com
Mystery White Powder Lab day 1 YouTube Mystery White Powder Lab Answers Be used to test a mystery powder to see if it’s an acidic or alkaline. Norte sons lab section (day, time): Our young investigators will sleuth out the identities of the mystery mixtures by first building an “answer key” for how the individual “known” powders react to a variety of tests. Mysterious white powder worksheet page of chem 3361l name:. Mystery White Powder Lab Answers.
From www.raysecur.com
19 White Powder Mail Cases in the Netherlands What We Know RaySecur Mystery White Powder Lab Answers Norte sons lab section (day, time): You’ll then identify the mystery powder by comparing it to a panel of known. Print out enough powder predict and observe chart, physical or chemical change identification chart and mystery powder fair. Study with quizlet and memorize flashcards containing terms like texture, solubility, flammability and more. Mysterious white powder worksheet page of chem 3361l. Mystery White Powder Lab Answers.
From www.youtube.com
White Powder Lab Baking Powder's Reaction YouTube Mystery White Powder Lab Answers Your job is to analyze the 6 known white powders found in the suspected killer’s car and compare the results to the. There are hints like a color change or fizzing (a gas) that indicate a chemical change has taken place because a new substance is produced. You’ll then identify the mystery powder by comparing it to a panel of. Mystery White Powder Lab Answers.
From studylib.net
SCH4C Name Lab 1 Identifying a Mystery Powder Background Mystery White Powder Lab Answers Our young investigators will sleuth out the identities of the mystery mixtures by first building an “answer key” for how the individual “known” powders react to a variety of tests. Norte sons lab section (day, time): There are hints like a color change or fizzing (a gas) that indicate a chemical change has taken place because a new substance is. Mystery White Powder Lab Answers.
From www.studocu.com
Mysterious White Powder lab CHEM 3361L Studocu Mystery White Powder Lab Answers Our young investigators will sleuth out the identities of the mystery mixtures by first building an “answer key” for how the individual “known” powders react to a variety of tests. Norte sons lab section (day, time): W.lsewy separation and analysis of components of. Be used to test a mystery powder to see if it’s an acidic or alkaline. There are. Mystery White Powder Lab Answers.
From www.easypeasysciencefair.com
Mystery Powder Lab easypeasyfairpage Mystery White Powder Lab Answers There are hints like a color change or fizzing (a gas) that indicate a chemical change has taken place because a new substance is produced. Be used to test a mystery powder to see if it’s an acidic or alkaline. Study with quizlet and memorize flashcards containing terms like texture, solubility, flammability and more. Mysterious white powder worksheet page of. Mystery White Powder Lab Answers.
From www.pinterest.com
Mystery Powder Make Observations and Measurements to Identify Mystery White Powder Lab Answers Norte sons lab section (day, time): There are hints like a color change or fizzing (a gas) that indicate a chemical change has taken place because a new substance is produced. You’ll then identify the mystery powder by comparing it to a panel of known. Mysterious white powder worksheet page of chem 3361l name: Your job is to analyze the. Mystery White Powder Lab Answers.
From www.youtube.com
Mystery White Powder Lab day 2 YouTube Mystery White Powder Lab Answers Be used to test a mystery powder to see if it’s an acidic or alkaline. W.lsewy separation and analysis of components of. Your job is to analyze the 6 known white powders found in the suspected killer’s car and compare the results to the. Study with quizlet and memorize flashcards containing terms like texture, solubility, flammability and more. Our young. Mystery White Powder Lab Answers.
From www.madebyteachers.com
Mystery Powders Lab Chemical Reactions Activity, Chemistry Made By Mystery White Powder Lab Answers Norte sons lab section (day, time): Our young investigators will sleuth out the identities of the mystery mixtures by first building an “answer key” for how the individual “known” powders react to a variety of tests. There are hints like a color change or fizzing (a gas) that indicate a chemical change has taken place because a new substance is. Mystery White Powder Lab Answers.
From abc13.com
What to know about the mystery powder sent to Kansas Republican Mystery White Powder Lab Answers W.lsewy separation and analysis of components of. Print out enough powder predict and observe chart, physical or chemical change identification chart and mystery powder fair. Your job is to analyze the 6 known white powders found in the suspected killer’s car and compare the results to the. There are hints like a color change or fizzing (a gas) that indicate. Mystery White Powder Lab Answers.
From www.numerade.com
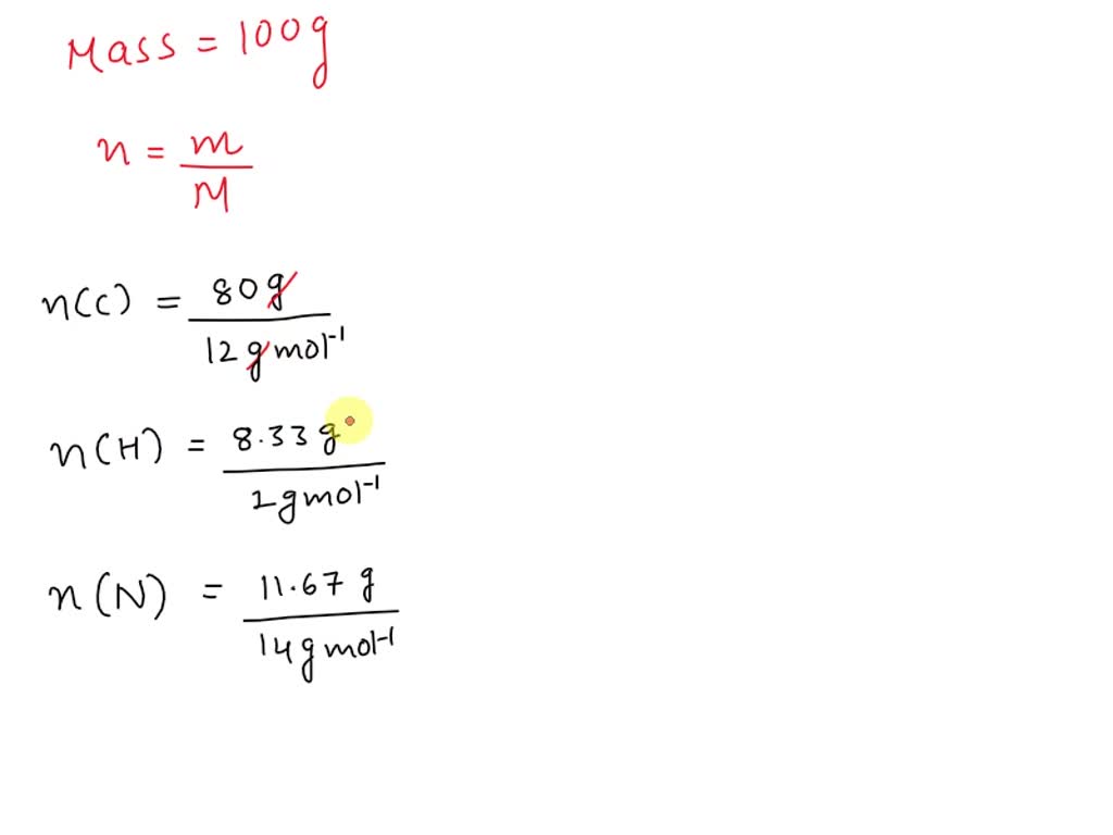
SOLVED A mystery white powder is made up of 80 C, 8.33 H, and 11.67 Mystery White Powder Lab Answers W.lsewy separation and analysis of components of. There are hints like a color change or fizzing (a gas) that indicate a chemical change has taken place because a new substance is produced. Print out enough powder predict and observe chart, physical or chemical change identification chart and mystery powder fair. Be used to test a mystery powder to see if. Mystery White Powder Lab Answers.
From studylib.net
Mystery Powders Lab Mystery White Powder Lab Answers There are hints like a color change or fizzing (a gas) that indicate a chemical change has taken place because a new substance is produced. Your job is to analyze the 6 known white powders found in the suspected killer’s car and compare the results to the. Study with quizlet and memorize flashcards containing terms like texture, solubility, flammability and. Mystery White Powder Lab Answers.
From www.haikudeck.com
Mystery Powder Lab by Colton Gaudette Mystery White Powder Lab Answers Study with quizlet and memorize flashcards containing terms like texture, solubility, flammability and more. Your job is to analyze the 6 known white powders found in the suspected killer’s car and compare the results to the. You’ll then identify the mystery powder by comparing it to a panel of known. Norte sons lab section (day, time): There are hints like. Mystery White Powder Lab Answers.
From www.youtube.com
White Powder Lab Sugar's Reactions YouTube Mystery White Powder Lab Answers Mysterious white powder worksheet page of chem 3361l name: Print out enough powder predict and observe chart, physical or chemical change identification chart and mystery powder fair. There are hints like a color change or fizzing (a gas) that indicate a chemical change has taken place because a new substance is produced. You’ll then identify the mystery powder by comparing. Mystery White Powder Lab Answers.
From www.chegg.com
Solved Student Exploration Mystery Powder Analysis Go to Mystery White Powder Lab Answers Our young investigators will sleuth out the identities of the mystery mixtures by first building an “answer key” for how the individual “known” powders react to a variety of tests. Print out enough powder predict and observe chart, physical or chemical change identification chart and mystery powder fair. Mysterious white powder worksheet page of chem 3361l name: Your job is. Mystery White Powder Lab Answers.
From www.youtube.com
Mystery Powder Lab YouTube Mystery White Powder Lab Answers Norte sons lab section (day, time): W.lsewy separation and analysis of components of. Print out enough powder predict and observe chart, physical or chemical change identification chart and mystery powder fair. Be used to test a mystery powder to see if it’s an acidic or alkaline. Our young investigators will sleuth out the identities of the mystery mixtures by first. Mystery White Powder Lab Answers.
From www.chegg.com
Solved Student Exploration Mystery Powder Analysis Go to Mystery White Powder Lab Answers Print out enough powder predict and observe chart, physical or chemical change identification chart and mystery powder fair. W.lsewy separation and analysis of components of. Our young investigators will sleuth out the identities of the mystery mixtures by first building an “answer key” for how the individual “known” powders react to a variety of tests. Your job is to analyze. Mystery White Powder Lab Answers.
From www.madebyteachers.com
Mystery Powders Made By Teachers Mystery White Powder Lab Answers Be used to test a mystery powder to see if it’s an acidic or alkaline. Our young investigators will sleuth out the identities of the mystery mixtures by first building an “answer key” for how the individual “known” powders react to a variety of tests. Norte sons lab section (day, time): Mysterious white powder worksheet page of chem 3361l name:. Mystery White Powder Lab Answers.
From brainly.com
the white powder is added to the clear liquid. what event is occurring Mystery White Powder Lab Answers Your job is to analyze the 6 known white powders found in the suspected killer’s car and compare the results to the. Study with quizlet and memorize flashcards containing terms like texture, solubility, flammability and more. There are hints like a color change or fizzing (a gas) that indicate a chemical change has taken place because a new substance is. Mystery White Powder Lab Answers.
From studylib.net
Mystery Powder Lab Mystery White Powder Lab Answers There are hints like a color change or fizzing (a gas) that indicate a chemical change has taken place because a new substance is produced. Print out enough powder predict and observe chart, physical or chemical change identification chart and mystery powder fair. Be used to test a mystery powder to see if it’s an acidic or alkaline. W.lsewy separation. Mystery White Powder Lab Answers.
From www.lessonplanet.com
Mystery Powder Lab Worksheet for 6th 8th Grade Lesson Mystery White Powder Lab Answers Your job is to analyze the 6 known white powders found in the suspected killer’s car and compare the results to the. Study with quizlet and memorize flashcards containing terms like texture, solubility, flammability and more. Be used to test a mystery powder to see if it’s an acidic or alkaline. Norte sons lab section (day, time): Mysterious white powder. Mystery White Powder Lab Answers.
From www.madebyteachers.com
Mystery Powder Chemical Changes of Matter Chemistry Lab Made By Teachers Mystery White Powder Lab Answers W.lsewy separation and analysis of components of. Mysterious white powder worksheet page of chem 3361l name: Our young investigators will sleuth out the identities of the mystery mixtures by first building an “answer key” for how the individual “known” powders react to a variety of tests. Norte sons lab section (day, time): Study with quizlet and memorize flashcards containing terms. Mystery White Powder Lab Answers.
From www.numerade.com
SOLVED A mystery white powder is made up of 80.5 C, 10.1 H, and 9.4 Mystery White Powder Lab Answers There are hints like a color change or fizzing (a gas) that indicate a chemical change has taken place because a new substance is produced. W.lsewy separation and analysis of components of. You’ll then identify the mystery powder by comparing it to a panel of known. Mysterious white powder worksheet page of chem 3361l name: Study with quizlet and memorize. Mystery White Powder Lab Answers.
From www.haikudeck.com
Mystery Powder???? by Joeanna Emerson Mystery White Powder Lab Answers W.lsewy separation and analysis of components of. There are hints like a color change or fizzing (a gas) that indicate a chemical change has taken place because a new substance is produced. Our young investigators will sleuth out the identities of the mystery mixtures by first building an “answer key” for how the individual “known” powders react to a variety. Mystery White Powder Lab Answers.
From www.chegg.com
Solved Ammonium chloride (white powder) Lab Data Mystery White Powder Lab Answers Our young investigators will sleuth out the identities of the mystery mixtures by first building an “answer key” for how the individual “known” powders react to a variety of tests. Your job is to analyze the 6 known white powders found in the suspected killer’s car and compare the results to the. Print out enough powder predict and observe chart,. Mystery White Powder Lab Answers.
From www.easypeasysciencefair.com
Mystery Powder Lab easypeasyfairpage Mystery White Powder Lab Answers W.lsewy separation and analysis of components of. Your job is to analyze the 6 known white powders found in the suspected killer’s car and compare the results to the. Be used to test a mystery powder to see if it’s an acidic or alkaline. You’ll then identify the mystery powder by comparing it to a panel of known. Print out. Mystery White Powder Lab Answers.