The Freezing Point Of Bromine Is A Answer Property . Bromine is highly reactive with many metals. We say that bromine is a liquid at room temperature, because it is. For example, it reacts with sodium to form a. Bromine is highly reactive and a strong oxidising agent. It is used in many areas such as agricultural chemicals, dyestuffs,. When considered as the temperature of the reverse change from liquid to solid, it is referred to as the freezing point or crystallization point. Study with quizlet and memorize flashcards containing terms like 1) the simplest type of pure substance is an, 2) a mixture which has. It will react vigorously with reducing agents and many organic materials, including solvents.
from www.slideshare.net
It will react vigorously with reducing agents and many organic materials, including solvents. Bromine is highly reactive with many metals. For example, it reacts with sodium to form a. Bromine is highly reactive and a strong oxidising agent. We say that bromine is a liquid at room temperature, because it is. Study with quizlet and memorize flashcards containing terms like 1) the simplest type of pure substance is an, 2) a mixture which has. It is used in many areas such as agricultural chemicals, dyestuffs,. When considered as the temperature of the reverse change from liquid to solid, it is referred to as the freezing point or crystallization point.
Bromine berry
The Freezing Point Of Bromine Is A Answer Property For example, it reacts with sodium to form a. It will react vigorously with reducing agents and many organic materials, including solvents. Bromine is highly reactive and a strong oxidising agent. It is used in many areas such as agricultural chemicals, dyestuffs,. Bromine is highly reactive with many metals. Study with quizlet and memorize flashcards containing terms like 1) the simplest type of pure substance is an, 2) a mixture which has. We say that bromine is a liquid at room temperature, because it is. When considered as the temperature of the reverse change from liquid to solid, it is referred to as the freezing point or crystallization point. For example, it reacts with sodium to form a.
From www.numerade.com
SOLVED The freezing point 0f a solution is lowered by increasing the The Freezing Point Of Bromine Is A Answer Property Study with quizlet and memorize flashcards containing terms like 1) the simplest type of pure substance is an, 2) a mixture which has. It will react vigorously with reducing agents and many organic materials, including solvents. For example, it reacts with sodium to form a. Bromine is highly reactive and a strong oxidising agent. When considered as the temperature of. The Freezing Point Of Bromine Is A Answer Property.
From brainly.in
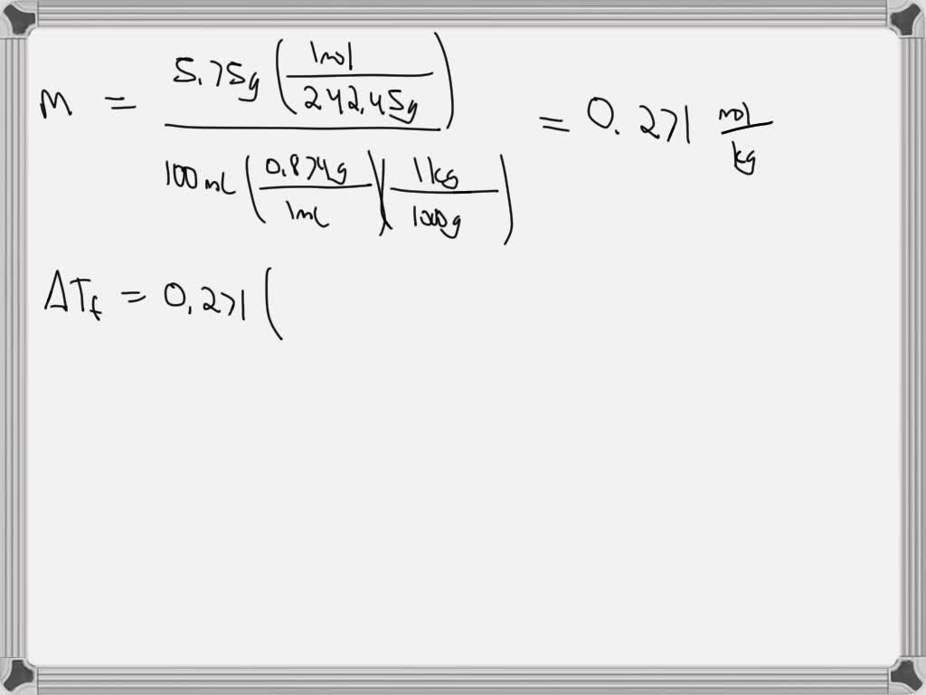
Calculate the freezing point of a solution prepared by dissolving 6.2g The Freezing Point Of Bromine Is A Answer Property Bromine is highly reactive and a strong oxidising agent. We say that bromine is a liquid at room temperature, because it is. It will react vigorously with reducing agents and many organic materials, including solvents. Study with quizlet and memorize flashcards containing terms like 1) the simplest type of pure substance is an, 2) a mixture which has. When considered. The Freezing Point Of Bromine Is A Answer Property.
From www.numerade.com
SOLVED(a) Use data in Appendix C to estimate the boiling point of The Freezing Point Of Bromine Is A Answer Property When considered as the temperature of the reverse change from liquid to solid, it is referred to as the freezing point or crystallization point. We say that bromine is a liquid at room temperature, because it is. It is used in many areas such as agricultural chemicals, dyestuffs,. It will react vigorously with reducing agents and many organic materials, including. The Freezing Point Of Bromine Is A Answer Property.
From brainly.in
Ethylene glycol solution having molality 0.5 is used as coolant in a The Freezing Point Of Bromine Is A Answer Property When considered as the temperature of the reverse change from liquid to solid, it is referred to as the freezing point or crystallization point. It will react vigorously with reducing agents and many organic materials, including solvents. We say that bromine is a liquid at room temperature, because it is. Bromine is highly reactive with many metals. It is used. The Freezing Point Of Bromine Is A Answer Property.
From www.chegg.com
Solved The freezing point of a 0.1 m solution of iodine in The Freezing Point Of Bromine Is A Answer Property Study with quizlet and memorize flashcards containing terms like 1) the simplest type of pure substance is an, 2) a mixture which has. When considered as the temperature of the reverse change from liquid to solid, it is referred to as the freezing point or crystallization point. Bromine is highly reactive and a strong oxidising agent. Bromine is highly reactive. The Freezing Point Of Bromine Is A Answer Property.
From www.coursehero.com
[Solved] Show the calculation of the freezing point of a solution made The Freezing Point Of Bromine Is A Answer Property When considered as the temperature of the reverse change from liquid to solid, it is referred to as the freezing point or crystallization point. It will react vigorously with reducing agents and many organic materials, including solvents. For example, it reacts with sodium to form a. It is used in many areas such as agricultural chemicals, dyestuffs,. We say that. The Freezing Point Of Bromine Is A Answer Property.
From www.coursehero.com
[Solved] . What is the freezing point of a solution formed by The Freezing Point Of Bromine Is A Answer Property Bromine is highly reactive and a strong oxidising agent. It is used in many areas such as agricultural chemicals, dyestuffs,. When considered as the temperature of the reverse change from liquid to solid, it is referred to as the freezing point or crystallization point. Study with quizlet and memorize flashcards containing terms like 1) the simplest type of pure substance. The Freezing Point Of Bromine Is A Answer Property.
From ar.inspiredpencil.com
Solid Bromine The Freezing Point Of Bromine Is A Answer Property For example, it reacts with sodium to form a. It will react vigorously with reducing agents and many organic materials, including solvents. When considered as the temperature of the reverse change from liquid to solid, it is referred to as the freezing point or crystallization point. Bromine is highly reactive and a strong oxidising agent. We say that bromine is. The Freezing Point Of Bromine Is A Answer Property.
From www.numerade.com
SOLVED The molal freezing point constant for water is ar 1.86C/m. At The Freezing Point Of Bromine Is A Answer Property Bromine is highly reactive and a strong oxidising agent. When considered as the temperature of the reverse change from liquid to solid, it is referred to as the freezing point or crystallization point. It is used in many areas such as agricultural chemicals, dyestuffs,. We say that bromine is a liquid at room temperature, because it is. Study with quizlet. The Freezing Point Of Bromine Is A Answer Property.
From www.chegg.com
Solved The normal boiling point of bromine is 58.8∘C. Given The Freezing Point Of Bromine Is A Answer Property Bromine is highly reactive and a strong oxidising agent. We say that bromine is a liquid at room temperature, because it is. For example, it reacts with sodium to form a. Study with quizlet and memorize flashcards containing terms like 1) the simplest type of pure substance is an, 2) a mixture which has. It will react vigorously with reducing. The Freezing Point Of Bromine Is A Answer Property.
From www.numerade.com
SOLVED The image below shows the phase diagram of bromine, which The Freezing Point Of Bromine Is A Answer Property We say that bromine is a liquid at room temperature, because it is. It is used in many areas such as agricultural chemicals, dyestuffs,. For example, it reacts with sodium to form a. Bromine is highly reactive and a strong oxidising agent. It will react vigorously with reducing agents and many organic materials, including solvents. Study with quizlet and memorize. The Freezing Point Of Bromine Is A Answer Property.
From www.numerade.com
SOLVEDWhat is the freezing point of a 0.12 molal solution of a non The Freezing Point Of Bromine Is A Answer Property For example, it reacts with sodium to form a. It is used in many areas such as agricultural chemicals, dyestuffs,. Bromine is highly reactive with many metals. Study with quizlet and memorize flashcards containing terms like 1) the simplest type of pure substance is an, 2) a mixture which has. When considered as the temperature of the reverse change from. The Freezing Point Of Bromine Is A Answer Property.
From www.numerade.com
SOLVED 10. (2 points) For [.0O g of unknown substance, use the graph The Freezing Point Of Bromine Is A Answer Property We say that bromine is a liquid at room temperature, because it is. It will react vigorously with reducing agents and many organic materials, including solvents. Bromine is highly reactive with many metals. Bromine is highly reactive and a strong oxidising agent. It is used in many areas such as agricultural chemicals, dyestuffs,. When considered as the temperature of the. The Freezing Point Of Bromine Is A Answer Property.
From www.numerade.com
SOLVED Assuming ideal solution behavior, what is the freezing point of The Freezing Point Of Bromine Is A Answer Property We say that bromine is a liquid at room temperature, because it is. Bromine is highly reactive and a strong oxidising agent. For example, it reacts with sodium to form a. It is used in many areas such as agricultural chemicals, dyestuffs,. It will react vigorously with reducing agents and many organic materials, including solvents. Bromine is highly reactive with. The Freezing Point Of Bromine Is A Answer Property.
From www.numerade.com
SOLVED What is the freezing point depression when 62.2 g of toluene The Freezing Point Of Bromine Is A Answer Property Bromine is highly reactive with many metals. When considered as the temperature of the reverse change from liquid to solid, it is referred to as the freezing point or crystallization point. It will react vigorously with reducing agents and many organic materials, including solvents. Study with quizlet and memorize flashcards containing terms like 1) the simplest type of pure substance. The Freezing Point Of Bromine Is A Answer Property.
From www.vrogue.co
The Diagram Below Shows The Change Of Phases Of A Sub vrogue.co The Freezing Point Of Bromine Is A Answer Property It will react vigorously with reducing agents and many organic materials, including solvents. We say that bromine is a liquid at room temperature, because it is. For example, it reacts with sodium to form a. Bromine is highly reactive with many metals. It is used in many areas such as agricultural chemicals, dyestuffs,. Study with quizlet and memorize flashcards containing. The Freezing Point Of Bromine Is A Answer Property.
From www.numerade.com
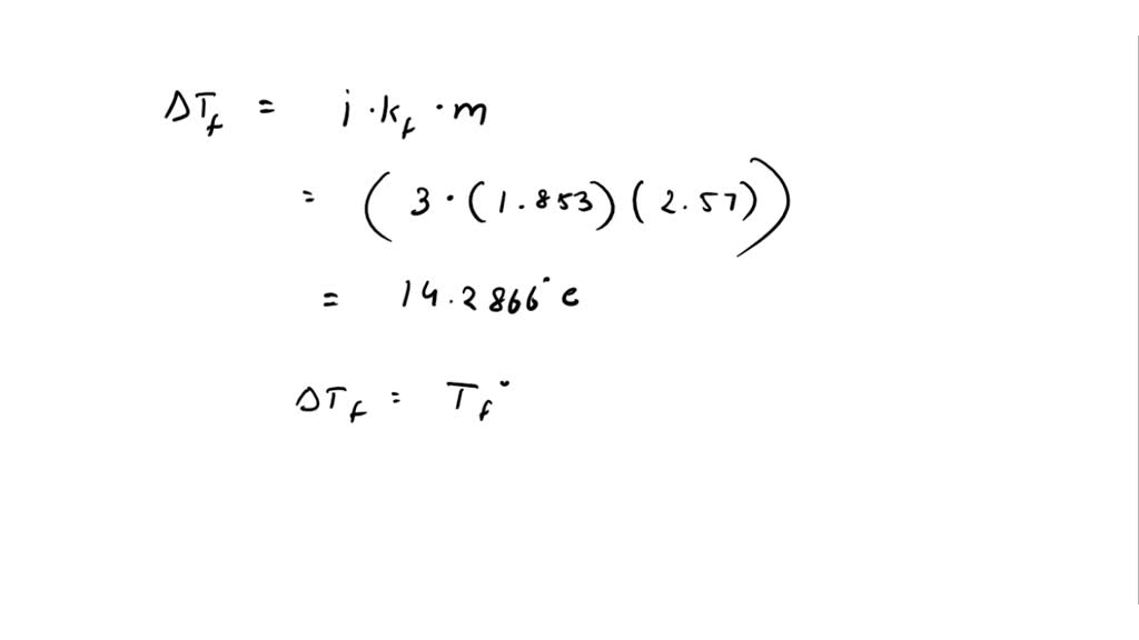
SOLVED The freezing point (°C) of a 2M solution of CaCl2 in water (Kf The Freezing Point Of Bromine Is A Answer Property When considered as the temperature of the reverse change from liquid to solid, it is referred to as the freezing point or crystallization point. For example, it reacts with sodium to form a. Study with quizlet and memorize flashcards containing terms like 1) the simplest type of pure substance is an, 2) a mixture which has. We say that bromine. The Freezing Point Of Bromine Is A Answer Property.
From www.numerade.com
SOLVED 4. Freezingpoint depression The freezingpoint depression of The Freezing Point Of Bromine Is A Answer Property Bromine is highly reactive and a strong oxidising agent. For example, it reacts with sodium to form a. It will react vigorously with reducing agents and many organic materials, including solvents. It is used in many areas such as agricultural chemicals, dyestuffs,. Bromine is highly reactive with many metals. When considered as the temperature of the reverse change from liquid. The Freezing Point Of Bromine Is A Answer Property.
From www.numerade.com
SOLVED \( \square \mid \) is \( \mathrm{MyPat} \) \( \leftarrow \quad The Freezing Point Of Bromine Is A Answer Property Bromine is highly reactive and a strong oxidising agent. Bromine is highly reactive with many metals. For example, it reacts with sodium to form a. It is used in many areas such as agricultural chemicals, dyestuffs,. We say that bromine is a liquid at room temperature, because it is. Study with quizlet and memorize flashcards containing terms like 1) the. The Freezing Point Of Bromine Is A Answer Property.
From www.numerade.com
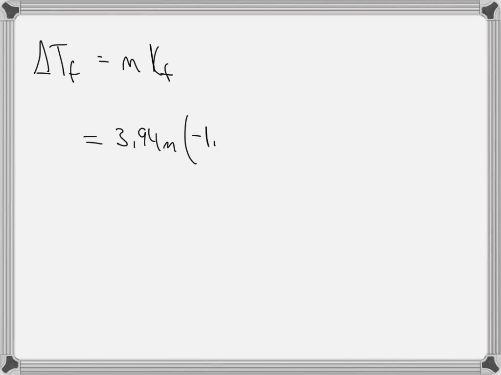
Calculate the freezing point of a 3.94 m aqueous ethylene glycol The Freezing Point Of Bromine Is A Answer Property When considered as the temperature of the reverse change from liquid to solid, it is referred to as the freezing point or crystallization point. Bromine is highly reactive and a strong oxidising agent. Study with quizlet and memorize flashcards containing terms like 1) the simplest type of pure substance is an, 2) a mixture which has. It is used in. The Freezing Point Of Bromine Is A Answer Property.
From www.numerade.com
SOLVED The normal boiling point of bromine is 58.8°C, and its The Freezing Point Of Bromine Is A Answer Property For example, it reacts with sodium to form a. Bromine is highly reactive and a strong oxidising agent. Bromine is highly reactive with many metals. When considered as the temperature of the reverse change from liquid to solid, it is referred to as the freezing point or crystallization point. We say that bromine is a liquid at room temperature, because. The Freezing Point Of Bromine Is A Answer Property.
From www.numerade.com
SOLVEDThe enthalpy of fusion of bromine is 10.57 kJ / mol ·The entropy The Freezing Point Of Bromine Is A Answer Property Bromine is highly reactive with many metals. Study with quizlet and memorize flashcards containing terms like 1) the simplest type of pure substance is an, 2) a mixture which has. For example, it reacts with sodium to form a. Bromine is highly reactive and a strong oxidising agent. We say that bromine is a liquid at room temperature, because it. The Freezing Point Of Bromine Is A Answer Property.
From www.numerade.com
SOLVED Calculate the freezing point of solution of 1.73 g of caffeine The Freezing Point Of Bromine Is A Answer Property Study with quizlet and memorize flashcards containing terms like 1) the simplest type of pure substance is an, 2) a mixture which has. Bromine is highly reactive with many metals. It will react vigorously with reducing agents and many organic materials, including solvents. For example, it reacts with sodium to form a. Bromine is highly reactive and a strong oxidising. The Freezing Point Of Bromine Is A Answer Property.
From www.toppr.com
The freezing point of 0.08m NaHSO4 is 0.345^oC . Calculate the The Freezing Point Of Bromine Is A Answer Property It will react vigorously with reducing agents and many organic materials, including solvents. For example, it reacts with sodium to form a. Bromine is highly reactive with many metals. Bromine is highly reactive and a strong oxidising agent. It is used in many areas such as agricultural chemicals, dyestuffs,. We say that bromine is a liquid at room temperature, because. The Freezing Point Of Bromine Is A Answer Property.
From www.numerade.com
SOLVED The freezing point of glycerol is 17.8 °C, and its boiling The Freezing Point Of Bromine Is A Answer Property Bromine is highly reactive and a strong oxidising agent. Study with quizlet and memorize flashcards containing terms like 1) the simplest type of pure substance is an, 2) a mixture which has. Bromine is highly reactive with many metals. For example, it reacts with sodium to form a. We say that bromine is a liquid at room temperature, because it. The Freezing Point Of Bromine Is A Answer Property.
From www.slideshare.net
Bromine berry The Freezing Point Of Bromine Is A Answer Property It is used in many areas such as agricultural chemicals, dyestuffs,. Bromine is highly reactive and a strong oxidising agent. When considered as the temperature of the reverse change from liquid to solid, it is referred to as the freezing point or crystallization point. We say that bromine is a liquid at room temperature, because it is. Study with quizlet. The Freezing Point Of Bromine Is A Answer Property.
From hxewobmic.blob.core.windows.net
How To Find The Freezing Point Of Bromine at Casey Jones blog The Freezing Point Of Bromine Is A Answer Property It will react vigorously with reducing agents and many organic materials, including solvents. We say that bromine is a liquid at room temperature, because it is. For example, it reacts with sodium to form a. Bromine is highly reactive and a strong oxidising agent. Study with quizlet and memorize flashcards containing terms like 1) the simplest type of pure substance. The Freezing Point Of Bromine Is A Answer Property.
From www.numerade.com
SOLVED 1. The freezing point depression constant of chloroform (CHCl The Freezing Point Of Bromine Is A Answer Property It is used in many areas such as agricultural chemicals, dyestuffs,. When considered as the temperature of the reverse change from liquid to solid, it is referred to as the freezing point or crystallization point. We say that bromine is a liquid at room temperature, because it is. It will react vigorously with reducing agents and many organic materials, including. The Freezing Point Of Bromine Is A Answer Property.
From www.numerade.com
SOLVEDWhat are (a) the boiling point and (b) the freezing point of a The Freezing Point Of Bromine Is A Answer Property When considered as the temperature of the reverse change from liquid to solid, it is referred to as the freezing point or crystallization point. Bromine is highly reactive and a strong oxidising agent. We say that bromine is a liquid at room temperature, because it is. It will react vigorously with reducing agents and many organic materials, including solvents. It. The Freezing Point Of Bromine Is A Answer Property.
From www.toppr.com
What will be the boiling point of bromine when 174.5mg of octa atomic The Freezing Point Of Bromine Is A Answer Property We say that bromine is a liquid at room temperature, because it is. For example, it reacts with sodium to form a. When considered as the temperature of the reverse change from liquid to solid, it is referred to as the freezing point or crystallization point. Study with quizlet and memorize flashcards containing terms like 1) the simplest type of. The Freezing Point Of Bromine Is A Answer Property.
From www.numerade.com
SOLVED The normal boiling point of bromine is 58.8 °C. Using the heat The Freezing Point Of Bromine Is A Answer Property It will react vigorously with reducing agents and many organic materials, including solvents. When considered as the temperature of the reverse change from liquid to solid, it is referred to as the freezing point or crystallization point. We say that bromine is a liquid at room temperature, because it is. Bromine is highly reactive with many metals. Study with quizlet. The Freezing Point Of Bromine Is A Answer Property.
From www.numerade.com
SOLVEDWhat is the freezing temperature of a solution of 115.0 g of The Freezing Point Of Bromine Is A Answer Property Study with quizlet and memorize flashcards containing terms like 1) the simplest type of pure substance is an, 2) a mixture which has. When considered as the temperature of the reverse change from liquid to solid, it is referred to as the freezing point or crystallization point. It will react vigorously with reducing agents and many organic materials, including solvents.. The Freezing Point Of Bromine Is A Answer Property.
From www.chegg.com
Solved The normal boiling point (at P=1 bar) of bromine The Freezing Point Of Bromine Is A Answer Property It is used in many areas such as agricultural chemicals, dyestuffs,. We say that bromine is a liquid at room temperature, because it is. It will react vigorously with reducing agents and many organic materials, including solvents. When considered as the temperature of the reverse change from liquid to solid, it is referred to as the freezing point or crystallization. The Freezing Point Of Bromine Is A Answer Property.
From www.numerade.com
SOLVED According to the cooling curve, what is the approximate The Freezing Point Of Bromine Is A Answer Property Study with quizlet and memorize flashcards containing terms like 1) the simplest type of pure substance is an, 2) a mixture which has. Bromine is highly reactive and a strong oxidising agent. When considered as the temperature of the reverse change from liquid to solid, it is referred to as the freezing point or crystallization point. It will react vigorously. The Freezing Point Of Bromine Is A Answer Property.
From www.chegg.com
Solved Question 5 The melting point of bromine is 7°C. What The Freezing Point Of Bromine Is A Answer Property It will react vigorously with reducing agents and many organic materials, including solvents. Bromine is highly reactive and a strong oxidising agent. Bromine is highly reactive with many metals. For example, it reacts with sodium to form a. When considered as the temperature of the reverse change from liquid to solid, it is referred to as the freezing point or. The Freezing Point Of Bromine Is A Answer Property.