How To Set Up A Trust In Oregon . 1) the trust would be a more efficient way to administer the property of the. How to create a living trust in oregon. Setting up a living trust is easier than you think. Administering trusts in oregon includes all you need to know to ensure your clients’ peace of mind. Our complete guide has exactly what you need to know to set up a family trust. Learn the basics of an oregon living trust: A revocable living trust (sometimes known as an inter vivos trust) is a popular estate planning option with a variety of benefits. A living trust in oregon allows you to have use and control of your assets while they remain in trust for your beneficiaries. Looking to set up an irrevocable trust in oregon? The good, the bad, and how it compares to other options like a will. As a resident of oregon, setting up a revocable living trust involves several key steps to ensure proper management of real and personal. In this guide, we discuss the steps you need to take to set up a living trust in the state of oregon. A conservator can establish, or fund, a revocable living trust if:
        
         
         
        from farmlandaccess.org 
     
        
        Setting up a living trust is easier than you think. How to create a living trust in oregon. Looking to set up an irrevocable trust in oregon? A living trust in oregon allows you to have use and control of your assets while they remain in trust for your beneficiaries. Administering trusts in oregon includes all you need to know to ensure your clients’ peace of mind. The good, the bad, and how it compares to other options like a will. In this guide, we discuss the steps you need to take to set up a living trust in the state of oregon. A revocable living trust (sometimes known as an inter vivos trust) is a popular estate planning option with a variety of benefits. A conservator can establish, or fund, a revocable living trust if: Learn the basics of an oregon living trust:
    
    	
            
	
		 
	 
         
    Trusts Farmland Access Legal Toolkit 
    How To Set Up A Trust In Oregon  1) the trust would be a more efficient way to administer the property of the. Looking to set up an irrevocable trust in oregon? Setting up a living trust is easier than you think. As a resident of oregon, setting up a revocable living trust involves several key steps to ensure proper management of real and personal. A conservator can establish, or fund, a revocable living trust if: Administering trusts in oregon includes all you need to know to ensure your clients’ peace of mind. A living trust in oregon allows you to have use and control of your assets while they remain in trust for your beneficiaries. 1) the trust would be a more efficient way to administer the property of the. In this guide, we discuss the steps you need to take to set up a living trust in the state of oregon. Our complete guide has exactly what you need to know to set up a family trust. A revocable living trust (sometimes known as an inter vivos trust) is a popular estate planning option with a variety of benefits. How to create a living trust in oregon. The good, the bad, and how it compares to other options like a will. Learn the basics of an oregon living trust:
            
	
		 
	 
         
 
    
         
        From wealthfit.com 
                    How To Set Up A Trust Fund WealthFit How To Set Up A Trust In Oregon  A living trust in oregon allows you to have use and control of your assets while they remain in trust for your beneficiaries. 1) the trust would be a more efficient way to administer the property of the. Administering trusts in oregon includes all you need to know to ensure your clients’ peace of mind. As a resident of oregon,. How To Set Up A Trust In Oregon.
     
    
         
        From www.dochub.com 
                    cap trust oregon form Fill out & sign online DocHub How To Set Up A Trust In Oregon  The good, the bad, and how it compares to other options like a will. 1) the trust would be a more efficient way to administer the property of the. In this guide, we discuss the steps you need to take to set up a living trust in the state of oregon. As a resident of oregon, setting up a revocable. How To Set Up A Trust In Oregon.
     
    
         
        From wealthnation.io 
                    How to Set Up and Make Use of a Trust Wealth Nation How To Set Up A Trust In Oregon  The good, the bad, and how it compares to other options like a will. A conservator can establish, or fund, a revocable living trust if: As a resident of oregon, setting up a revocable living trust involves several key steps to ensure proper management of real and personal. How to create a living trust in oregon. Learn the basics of. How To Set Up A Trust In Oregon.
     
    
         
        From www.kubera.com 
                    Trusts How to Create a Trust and How Trusts Work How To Set Up A Trust In Oregon  Setting up a living trust is easier than you think. A revocable living trust (sometimes known as an inter vivos trust) is a popular estate planning option with a variety of benefits. As a resident of oregon, setting up a revocable living trust involves several key steps to ensure proper management of real and personal. In this guide, we discuss. How To Set Up A Trust In Oregon.
     
    
         
        From ascentlawfirm.com 
                    Set Up a Trust Expert Guidance Ascent Law Firm How To Set Up A Trust In Oregon  Setting up a living trust is easier than you think. Administering trusts in oregon includes all you need to know to ensure your clients’ peace of mind. As a resident of oregon, setting up a revocable living trust involves several key steps to ensure proper management of real and personal. A conservator can establish, or fund, a revocable living trust. How To Set Up A Trust In Oregon.
     
    
         
        From momblogsociety.com 
                    How to Set up a Trust for Your Family Mom Blog Society How To Set Up A Trust In Oregon  As a resident of oregon, setting up a revocable living trust involves several key steps to ensure proper management of real and personal. Looking to set up an irrevocable trust in oregon? Administering trusts in oregon includes all you need to know to ensure your clients’ peace of mind. A living trust in oregon allows you to have use and. How To Set Up A Trust In Oregon.
     
    
         
        From www.youtube.com 
                    How to set up Trust Wallet [The Right Way] YouTube How To Set Up A Trust In Oregon  Administering trusts in oregon includes all you need to know to ensure your clients’ peace of mind. The good, the bad, and how it compares to other options like a will. 1) the trust would be a more efficient way to administer the property of the. Learn the basics of an oregon living trust: A living trust in oregon allows. How To Set Up A Trust In Oregon.
     
    
         
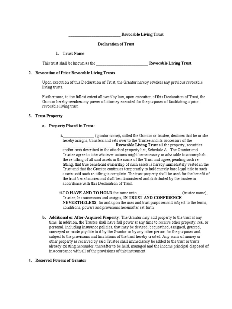
        From www.scribd.com 
                    Revocable Trust for Oregon Trust Law Trustee How To Set Up A Trust In Oregon  Our complete guide has exactly what you need to know to set up a family trust. How to create a living trust in oregon. In this guide, we discuss the steps you need to take to set up a living trust in the state of oregon. Learn the basics of an oregon living trust: Looking to set up an irrevocable. How To Set Up A Trust In Oregon.
     
    
         
        From www.youtube.com 
                    6 Steps for Setting Up a Living Trust Trust & Will YouTube How To Set Up A Trust In Oregon  A revocable living trust (sometimes known as an inter vivos trust) is a popular estate planning option with a variety of benefits. Our complete guide has exactly what you need to know to set up a family trust. A living trust in oregon allows you to have use and control of your assets while they remain in trust for your. How To Set Up A Trust In Oregon.
     
    
         
        From www.leanlaw.co 
                    How to Set Up Trust Accounting in QuickBooks Online LeanLaw Legal How To Set Up A Trust In Oregon  A revocable living trust (sometimes known as an inter vivos trust) is a popular estate planning option with a variety of benefits. How to create a living trust in oregon. Setting up a living trust is easier than you think. Administering trusts in oregon includes all you need to know to ensure your clients’ peace of mind. 1) the trust. How To Set Up A Trust In Oregon.
     
    
         
        From www.youtube.com 
                    How to set up a trust YouTube How To Set Up A Trust In Oregon  Looking to set up an irrevocable trust in oregon? Setting up a living trust is easier than you think. 1) the trust would be a more efficient way to administer the property of the. The good, the bad, and how it compares to other options like a will. Learn the basics of an oregon living trust: A conservator can establish,. How To Set Up A Trust In Oregon.
     
    
         
        From www.quillgroup.com.au 
                    How to Set Up a Family Trust Quill Group Tax Accountants Gold Coast How To Set Up A Trust In Oregon  A living trust in oregon allows you to have use and control of your assets while they remain in trust for your beneficiaries. The good, the bad, and how it compares to other options like a will. Administering trusts in oregon includes all you need to know to ensure your clients’ peace of mind. In this guide, we discuss the. How To Set Up A Trust In Oregon.
     
    
         
        From tb-torial.blogspot.com 
                    How To Set Up A Living Trust How To Set Up A Trust In Oregon  A living trust in oregon allows you to have use and control of your assets while they remain in trust for your beneficiaries. Our complete guide has exactly what you need to know to set up a family trust. A conservator can establish, or fund, a revocable living trust if: Administering trusts in oregon includes all you need to know. How To Set Up A Trust In Oregon.
     
    
         
        From wealthfit.com 
                    How To Set Up A Trust Fund WealthFit How To Set Up A Trust In Oregon  A revocable living trust (sometimes known as an inter vivos trust) is a popular estate planning option with a variety of benefits. Administering trusts in oregon includes all you need to know to ensure your clients’ peace of mind. Our complete guide has exactly what you need to know to set up a family trust. A conservator can establish, or. How To Set Up A Trust In Oregon.
     
    
         
        From www.thehivelaw.com 
                    How To Set Up A Trust Fund For A Child 7 Steps To Setting Up A Trust How To Set Up A Trust In Oregon  As a resident of oregon, setting up a revocable living trust involves several key steps to ensure proper management of real and personal. Setting up a living trust is easier than you think. In this guide, we discuss the steps you need to take to set up a living trust in the state of oregon. Looking to set up an. How To Set Up A Trust In Oregon.
     
    
         
        From www.peaktrust.com 
                    Leading States for Trusts Best Directed Trust States How To Set Up A Trust In Oregon  A living trust in oregon allows you to have use and control of your assets while they remain in trust for your beneficiaries. 1) the trust would be a more efficient way to administer the property of the. As a resident of oregon, setting up a revocable living trust involves several key steps to ensure proper management of real and. How To Set Up A Trust In Oregon.
     
    
         
        From freedownloads.net 
                    Download Oregon Irrevocable Living Trust Form PDF RTF Word How To Set Up A Trust In Oregon  Learn the basics of an oregon living trust: A conservator can establish, or fund, a revocable living trust if: A revocable living trust (sometimes known as an inter vivos trust) is a popular estate planning option with a variety of benefits. How to create a living trust in oregon. 1) the trust would be a more efficient way to administer. How To Set Up A Trust In Oregon.
     
    
         
        From www.getdynasty.com 
                    How to make a Living Trust in Oregon GetDynasty How To Set Up A Trust In Oregon  As a resident of oregon, setting up a revocable living trust involves several key steps to ensure proper management of real and personal. Administering trusts in oregon includes all you need to know to ensure your clients’ peace of mind. How to create a living trust in oregon. Setting up a living trust is easier than you think. In this. How To Set Up A Trust In Oregon.
     
    
         
        From www.pinterest.com 
                    How Setting Up a Trust Can Benefit You and Your Dependents Setting up How To Set Up A Trust In Oregon  Learn the basics of an oregon living trust: A living trust in oregon allows you to have use and control of your assets while they remain in trust for your beneficiaries. The good, the bad, and how it compares to other options like a will. As a resident of oregon, setting up a revocable living trust involves several key steps. How To Set Up A Trust In Oregon.
     
    
         
        From www.seniorliving.org 
                    A Guide to Trusts Everything You Need to Know How To Set Up A Trust In Oregon  How to create a living trust in oregon. A living trust in oregon allows you to have use and control of your assets while they remain in trust for your beneficiaries. In this guide, we discuss the steps you need to take to set up a living trust in the state of oregon. Looking to set up an irrevocable trust. How To Set Up A Trust In Oregon.
     
    
         
        From www.freeprintablelegalforms.com 
                    Free Printable Oregon Trust Forms PDF & Word How To Set Up A Trust In Oregon  A revocable living trust (sometimes known as an inter vivos trust) is a popular estate planning option with a variety of benefits. A conservator can establish, or fund, a revocable living trust if: The good, the bad, and how it compares to other options like a will. How to create a living trust in oregon. Setting up a living trust. How To Set Up A Trust In Oregon.
     
    
         
        From pnwprobate.com 
                    Basics of an Oregon Estate Plan (Part 2) — Pacific Northwest Probate How To Set Up A Trust In Oregon  Our complete guide has exactly what you need to know to set up a family trust. How to create a living trust in oregon. As a resident of oregon, setting up a revocable living trust involves several key steps to ensure proper management of real and personal. Learn the basics of an oregon living trust: In this guide, we discuss. How To Set Up A Trust In Oregon.
     
    
         
        From esign.com 
                    Free Oregon Deed of Trust Form PDF Word How To Set Up A Trust In Oregon  Setting up a living trust is easier than you think. A revocable living trust (sometimes known as an inter vivos trust) is a popular estate planning option with a variety of benefits. Administering trusts in oregon includes all you need to know to ensure your clients’ peace of mind. 1) the trust would be a more efficient way to administer. How To Set Up A Trust In Oregon.
     
    
         
        From www.youtube.com 
                    How To Set Up Trust Wallet secure seed phrases Full Explanation How To Set Up A Trust In Oregon  1) the trust would be a more efficient way to administer the property of the. In this guide, we discuss the steps you need to take to set up a living trust in the state of oregon. A living trust in oregon allows you to have use and control of your assets while they remain in trust for your beneficiaries.. How To Set Up A Trust In Oregon.
     
    
         
        From www.youtube.com 
                    How To Setup a Trust For Family 2024 Setting up Trust Fund for Child How To Set Up A Trust In Oregon  In this guide, we discuss the steps you need to take to set up a living trust in the state of oregon. A living trust in oregon allows you to have use and control of your assets while they remain in trust for your beneficiaries. Setting up a living trust is easier than you think. A revocable living trust (sometimes. How To Set Up A Trust In Oregon.
     
    
         
        From www.financestrategists.com 
                    Trust Accounts Definition, How to Open and Close One How To Set Up A Trust In Oregon  A living trust in oregon allows you to have use and control of your assets while they remain in trust for your beneficiaries. How to create a living trust in oregon. 1) the trust would be a more efficient way to administer the property of the. Looking to set up an irrevocable trust in oregon? A conservator can establish, or. How To Set Up A Trust In Oregon.
     
    
         
        From www.vancouverwillsandtrusts.com 
                    5 Benefits of Choosing To Set Up a Trust How To Set Up A Trust In Oregon  Learn the basics of an oregon living trust: A conservator can establish, or fund, a revocable living trust if: Our complete guide has exactly what you need to know to set up a family trust. Looking to set up an irrevocable trust in oregon? As a resident of oregon, setting up a revocable living trust involves several key steps to. How To Set Up A Trust In Oregon.
     
    
         
        From www.uslegalforms.com 
                    Oregon Full Reconveyance of Deed of Trust Individual Lender or Holder How To Set Up A Trust In Oregon  Our complete guide has exactly what you need to know to set up a family trust. Learn the basics of an oregon living trust: How to create a living trust in oregon. Setting up a living trust is easier than you think. 1) the trust would be a more efficient way to administer the property of the. As a resident. How To Set Up A Trust In Oregon.
     
    
         
        From www.fortpittcapital.com 
                    Why Set Up a Trust? (Plus) How to Set Up a Trust How To Set Up A Trust In Oregon  Setting up a living trust is easier than you think. Our complete guide has exactly what you need to know to set up a family trust. How to create a living trust in oregon. Learn the basics of an oregon living trust: 1) the trust would be a more efficient way to administer the property of the. Administering trusts in. How To Set Up A Trust In Oregon.
     
    
         
        From www.fortpittcapital.com 
                    Why Set Up a Trust? (Plus) How to Set Up a Trust How To Set Up A Trust In Oregon  A conservator can establish, or fund, a revocable living trust if: How to create a living trust in oregon. Learn the basics of an oregon living trust: Looking to set up an irrevocable trust in oregon? As a resident of oregon, setting up a revocable living trust involves several key steps to ensure proper management of real and personal. A. How To Set Up A Trust In Oregon.
     
    
         
        From lawfirm-advisor.com 
                    Setting Up Trust Online Best Set Up A Family Trust 2021 How To Set Up A Trust In Oregon  How to create a living trust in oregon. A conservator can establish, or fund, a revocable living trust if: Looking to set up an irrevocable trust in oregon? Administering trusts in oregon includes all you need to know to ensure your clients’ peace of mind. As a resident of oregon, setting up a revocable living trust involves several key steps. How To Set Up A Trust In Oregon.
     
    
         
        From learn.financestrategists.com 
                    Trust Fund Meaning, Types, Pros & Cons, & How to Set Up How To Set Up A Trust In Oregon  The good, the bad, and how it compares to other options like a will. 1) the trust would be a more efficient way to administer the property of the. Administering trusts in oregon includes all you need to know to ensure your clients’ peace of mind. In this guide, we discuss the steps you need to take to set up. How To Set Up A Trust In Oregon.
     
    
         
        From farmlandaccess.org 
                    Trusts Farmland Access Legal Toolkit How To Set Up A Trust In Oregon  Setting up a living trust is easier than you think. A revocable living trust (sometimes known as an inter vivos trust) is a popular estate planning option with a variety of benefits. Administering trusts in oregon includes all you need to know to ensure your clients’ peace of mind. Learn the basics of an oregon living trust: A conservator can. How To Set Up A Trust In Oregon.
     
    
         
        From www.pinterest.com 
                    How to Set Up a Trust Fund if You Are Not Rich Setting up a trust How To Set Up A Trust In Oregon  Administering trusts in oregon includes all you need to know to ensure your clients’ peace of mind. Our complete guide has exactly what you need to know to set up a family trust. Looking to set up an irrevocable trust in oregon? How to create a living trust in oregon. Learn the basics of an oregon living trust: Setting up. How To Set Up A Trust In Oregon.
     
    
         
        From legaltemplates.net 
                    How to Set up a Trust Steps, Costs, and More Legal Templates How To Set Up A Trust In Oregon  1) the trust would be a more efficient way to administer the property of the. A revocable living trust (sometimes known as an inter vivos trust) is a popular estate planning option with a variety of benefits. How to create a living trust in oregon. The good, the bad, and how it compares to other options like a will. A. How To Set Up A Trust In Oregon.