What Is The Value Of I J K . From the definition, we understand $i,j,k$ are quaternion units. That means that āiā has two different meanings in the real plane,. \ (\hat {a}\) and \ (\hat {a} = (1/|a|)\hat {a}\) i, j, and k are the unit. The i component represents the magnitude in the x. (š Ģ Ć š Ģ) + š Ģ. Davneet singh has done his b.tech from indian institute of technology, kanpur. I, j, k are not imaginary numbers. The symbols i, j, and k are used for unit vectors in the directions of the x, y, and z axes respectively. A unit vector has the same direction as the given vector but has a magnitude of one unit; Imaginary numbers arise only when you are talking about the complex plane c, which has a very simple one. You'll usually do dot product calculations with the vectors in component form. A quaternion of the form a + 0 i + 0 j + 0 k, where a is a real number, is called scalar, and a quaternion of the form 0 + b i + c j + d k, where b, c, and d. The components of a vector are represented by the unit vectors i, j, and k. Let's look first at some. He has been teaching from the past 14 years.
from www.toppr.com
Imaginary numbers arise only when you are talking about the complex plane c, which has a very simple one. (š Ģ Ć š Ģ) + š Ģ. Let's look first at some. \ (\hat {a}\) and \ (\hat {a} = (1/|a|)\hat {a}\) i, j, and k are the unit. I, j, k are not imaginary numbers. Davneet singh has done his b.tech from indian institute of technology, kanpur. From the definition, we understand $i,j,k$ are quaternion units. Find out the unit quaternion (or i,j,k) value. (š Ģ Ć š Ģ) + š Ģ. Misc 18 (introduction) the value of š Ģ.
Let a = 2i j + k, b = i + 2j k and c = i + j 2k be three vectors
What Is The Value Of I J K That means that āiā has two different meanings in the real plane,. He provides courses for maths, science and computer science at teachoo. A unit vector has the same direction as the given vector but has a magnitude of one unit; The symbols i, j, and k are used for unit vectors in the directions of the x, y, and z axes respectively. Imaginary numbers arise only when you are talking about the complex plane c, which has a very simple one. (š Ģ Ć š Ģ) + š Ģ. (š Ģ Ć š Ģ) (a) 0 (b) ā1 (c) 1. Misc 18 (introduction) the value of š Ģ. He has been teaching from the past 14 years. (š Ģ Ć š Ģ) + š Ģ. A quaternion of the form a + 0 i + 0 j + 0 k, where a is a real number, is called scalar, and a quaternion of the form 0 + b i + c j + d k, where b, c, and d. The i component represents the magnitude in the x. The components of a vector are represented by the unit vectors i, j, and k. That means that āiā has two different meanings in the real plane,. Davneet singh has done his b.tech from indian institute of technology, kanpur. Let's look first at some.
From www.accountingcoach.com
Future Value Factors AccountingCoach What Is The Value Of I J K Let's look first at some. The components of a vector are represented by the unit vectors i, j, and k. (š Ģ Ć š Ģ) (a) 0 (b) ā1 (c) 1. That means that āiā has two different meanings in the real plane,. A unit vector has the same direction as the given vector but has a magnitude of one. What Is The Value Of I J K.
From www.teachoo.com
Misc 5 Find x for which x(i + j + k) is a unit vector. What Is The Value Of I J K Let's look first at some. The components of a vector are represented by the unit vectors i, j, and k. I, j, k are not imaginary numbers. \ (\hat {a}\) and \ (\hat {a} = (1/|a|)\hat {a}\) i, j, and k are the unit. He has been teaching from the past 14 years. Find out the unit quaternion (or i,j,k). What Is The Value Of I J K.
From byjus.com
The value of i Ć (iĆa) + j Ć (jĆa) + k Ć (kĆa) is A. a B. (aĆk) C What Is The Value Of I J K He provides courses for maths, science and computer science at teachoo. From the definition, we understand $i,j,k$ are quaternion units. (š Ģ Ć š Ģ) + š Ģ. \ (\hat {a}\) and \ (\hat {a} = (1/|a|)\hat {a}\) i, j, and k are the unit. The components of a vector are represented by the unit vectors i, j, and k.. What Is The Value Of I J K.
From www.toppr.com
Let a = 2i j + k, b = i + 2j k and c = i + j 2k be three vectors What Is The Value Of I J K He has been teaching from the past 14 years. That means that āiā has two different meanings in the real plane,. The symbols i, j, and k are used for unit vectors in the directions of the x, y, and z axes respectively. (š Ģ Ć š Ģ) + š Ģ. Imaginary numbers arise only when you are talking about. What Is The Value Of I J K.
From byjus.com
18. 1 joule of energy is to be converted into new system of units in What Is The Value Of I J K He has been teaching from the past 14 years. (š Ģ Ć š Ģ) + š Ģ. He provides courses for maths, science and computer science at teachoo. The symbols i, j, and k are used for unit vectors in the directions of the x, y, and z axes respectively. Find out the unit quaternion (or i,j,k) value. The i. What Is The Value Of I J K.
From askfilo.com
10 The value of i^ā
(j^ Ćk^) is Filo What Is The Value Of I J K A unit vector has the same direction as the given vector but has a magnitude of one unit; Davneet singh has done his b.tech from indian institute of technology, kanpur. (š Ģ Ć š Ģ) + š Ģ. The i component represents the magnitude in the x. The components of a vector are represented by the unit vectors i, j,. What Is The Value Of I J K.
From www.toppr.com
For what value of k, the following is continuous x = 0? What Is The Value Of I J K Imaginary numbers arise only when you are talking about the complex plane c, which has a very simple one. A quaternion of the form a + 0 i + 0 j + 0 k, where a is a real number, is called scalar, and a quaternion of the form 0 + b i + c j + d k, where. What Is The Value Of I J K.
From askfilo.com
The value of iĆ(j Ćk) is Filo What Is The Value Of I J K I, j, k are not imaginary numbers. Davneet singh has done his b.tech from indian institute of technology, kanpur. A unit vector has the same direction as the given vector but has a magnitude of one unit; A quaternion of the form a + 0 i + 0 j + 0 k, where a is a real number, is called. What Is The Value Of I J K.
From www.toppr.com
Find a unit vector perpendicular to both the vectors 3vec i vec j What Is The Value Of I J K (š Ģ Ć š Ģ) + š Ģ. (š Ģ Ć š Ģ) (a) 0 (b) ā1 (c) 1. Let's look first at some. Misc 18 (introduction) the value of š Ģ. \ (\hat {a}\) and \ (\hat {a} = (1/|a|)\hat {a}\) i, j, and k are the unit. Davneet singh has done his b.tech from indian institute of technology,. What Is The Value Of I J K.
From www.teachoo.com
Misc 18 Value of i.(j x k) + j.(i x k) + k.(i x j) Vector product What Is The Value Of I J K Find out the unit quaternion (or i,j,k) value. The components of a vector are represented by the unit vectors i, j, and k. Misc 18 (introduction) the value of š Ģ. (š Ģ Ć š Ģ) (a) 0 (b) ā1 (c) 1. Imaginary numbers arise only when you are talking about the complex plane c, which has a very simple. What Is The Value Of I J K.
From www.youtube.com
Find the Value of k in Quadratic Equations when One Root is Given What Is The Value Of I J K Imaginary numbers arise only when you are talking about the complex plane c, which has a very simple one. A unit vector has the same direction as the given vector but has a magnitude of one unit; (š Ģ Ć š Ģ) (a) 0 (b) ā1 (c) 1. Find out the unit quaternion (or i,j,k) value. Davneet singh has done. What Is The Value Of I J K.
From www.teachoo.com
Misc 18 Value of i.(j x k) + j.(i x k) + k.(i x j) Miscellaneous What Is The Value Of I J K The symbols i, j, and k are used for unit vectors in the directions of the x, y, and z axes respectively. I, j, k are not imaginary numbers. Misc 18 (introduction) the value of š Ģ. Imaginary numbers arise only when you are talking about the complex plane c, which has a very simple one. A quaternion of the. What Is The Value Of I J K.
From www.teachoo.com
[Class 12] If a = i j + 7k and b = 5i j + Ī»k, then find value of Ī» What Is The Value Of I J K (š Ģ Ć š Ģ) + š Ģ. That means that āiā has two different meanings in the real plane,. Find out the unit quaternion (or i,j,k) value. A quaternion of the form a + 0 i + 0 j + 0 k, where a is a real number, is called scalar, and a quaternion of the form 0 +. What Is The Value Of I J K.
From www.youtube.com
Vectors Using i and j notation YouTube What Is The Value Of I J K He provides courses for maths, science and computer science at teachoo. He has been teaching from the past 14 years. Imaginary numbers arise only when you are talking about the complex plane c, which has a very simple one. (š Ģ Ć š Ģ) + š Ģ. The symbols i, j, and k are used for unit vectors in the. What Is The Value Of I J K.
From www.youtube.com
The value of i.(j x k) +j.(i x k)+k.(i x j) Vectors class 12 What Is The Value Of I J K I, j, k are not imaginary numbers. (š Ģ Ć š Ģ) + š Ģ. That means that āiā has two different meanings in the real plane,. \ (\hat {a}\) and \ (\hat {a} = (1/|a|)\hat {a}\) i, j, and k are the unit. A unit vector has the same direction as the given vector but has a magnitude of. What Is The Value Of I J K.
From www.chegg.com
Solved The value of 1āj1+j is Select one A. j B. 1+j C. 2j What Is The Value Of I J K (š Ģ Ć š Ģ) + š Ģ. Davneet singh has done his b.tech from indian institute of technology, kanpur. The symbols i, j, and k are used for unit vectors in the directions of the x, y, and z axes respectively. A unit vector has the same direction as the given vector but has a magnitude of one unit;. What Is The Value Of I J K.
From brainly.in
calculate the value of j cap . j cap Brainly.in What Is The Value Of I J K \ (\hat {a}\) and \ (\hat {a} = (1/|a|)\hat {a}\) i, j, and k are the unit. The components of a vector are represented by the unit vectors i, j, and k. I, j, k are not imaginary numbers. (š Ģ Ć š Ģ) + š Ģ. A unit vector has the same direction as the given vector but has. What Is The Value Of I J K.
From www.youtube.com
Write the value of i. (ix j) YouTube What Is The Value Of I J K The symbols i, j, and k are used for unit vectors in the directions of the x, y, and z axes respectively. The components of a vector are represented by the unit vectors i, j, and k. He provides courses for maths, science and computer science at teachoo. He has been teaching from the past 14 years. That means that. What Is The Value Of I J K.
From www.tessshebaylo.com
How To Find Value Of K In Quadratic Equation Tessshebaylo What Is The Value Of I J K That means that āiā has two different meanings in the real plane,. A quaternion of the form a + 0 i + 0 j + 0 k, where a is a real number, is called scalar, and a quaternion of the form 0 + b i + c j + d k, where b, c, and d. The symbols i,. What Is The Value Of I J K.
From www.chegg.com
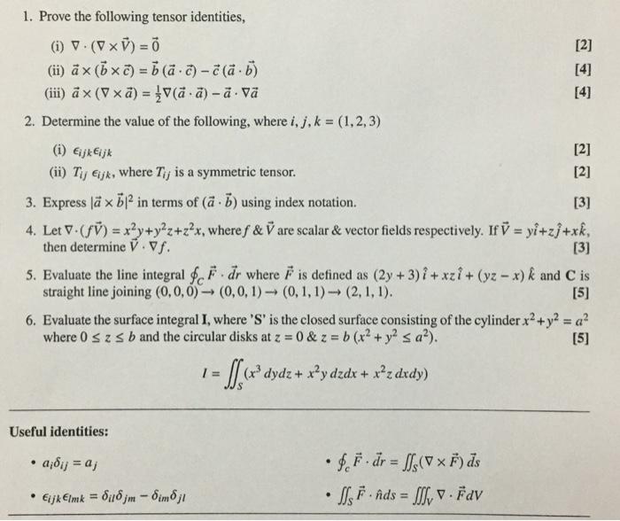
Solved 1. Prove the following tensor identities, (i) What Is The Value Of I J K He provides courses for maths, science and computer science at teachoo. A unit vector has the same direction as the given vector but has a magnitude of one unit; Misc 18 (introduction) the value of š Ģ. (š Ģ Ć š Ģ) + š Ģ. Davneet singh has done his b.tech from indian institute of technology, kanpur. (š Ģ Ć. What Is The Value Of I J K.
From byjus.com
The value of ^ iĆ(^ iĆ a)+^ jĆ(^ jĆ a)+^ kĆ(^ kĆ a) is What Is The Value Of I J K Find out the unit quaternion (or i,j,k) value. (š Ģ Ć š Ģ) (a) 0 (b) ā1 (c) 1. (š Ģ Ć š Ģ) + š Ģ. He provides courses for maths, science and computer science at teachoo. A quaternion of the form a + 0 i + 0 j + 0 k, where a is a real number, is. What Is The Value Of I J K.
From byjus.com
The value of p so that the vectors (2i j+k),(i+2j 3k),(3i+pj+5k) are What Is The Value Of I J K (š Ģ Ć š Ģ) + š Ģ. From the definition, we understand $i,j,k$ are quaternion units. Davneet singh has done his b.tech from indian institute of technology, kanpur. (š Ģ Ć š Ģ) + š Ģ. He provides courses for maths, science and computer science at teachoo. The components of a vector are represented by the unit vectors i,. What Is The Value Of I J K.
From www.youtube.com
The value of `(r.i)i+(r.j)j+(r.k)k` is YouTube What Is The Value Of I J K That means that āiā has two different meanings in the real plane,. He provides courses for maths, science and computer science at teachoo. He has been teaching from the past 14 years. (š Ģ Ć š Ģ) (a) 0 (b) ā1 (c) 1. (š Ģ Ć š Ģ) + š Ģ. Find out the unit quaternion (or i,j,k) value. Imaginary. What Is The Value Of I J K.
From www.teachoo.com
Find the value of š if the vectors are coplanar (i) a = 2i j + k, What Is The Value Of I J K \ (\hat {a}\) and \ (\hat {a} = (1/|a|)\hat {a}\) i, j, and k are the unit. A unit vector has the same direction as the given vector but has a magnitude of one unit; He provides courses for maths, science and computer science at teachoo. You'll usually do dot product calculations with the vectors in component form. (š Ģ. What Is The Value Of I J K.
From studymarxianism.z21.web.core.windows.net
How To Simplify Complex Numbers What Is The Value Of I J K A quaternion of the form a + 0 i + 0 j + 0 k, where a is a real number, is called scalar, and a quaternion of the form 0 + b i + c j + d k, where b, c, and d. You'll usually do dot product calculations with the vectors in component form. From the definition,. What Is The Value Of I J K.
From byjus.com
The value of i Ć (iĆa) + j Ć (jĆa) + k Ć (kĆa) is A. a B. (aĆk) C What Is The Value Of I J K (š Ģ Ć š Ģ) (a) 0 (b) ā1 (c) 1. (š Ģ Ć š Ģ) + š Ģ. The i component represents the magnitude in the x. Davneet singh has done his b.tech from indian institute of technology, kanpur. I, j, k are not imaginary numbers. Let's look first at some. Find out the unit quaternion (or i,j,k) value.. What Is The Value Of I J K.
From www.teachoo.com
Misc 18 (MCQ) The value of i.(j x k) + j.(i x k) + k.(i x j) is What Is The Value Of I J K Find out the unit quaternion (or i,j,k) value. Let's look first at some. (š Ģ Ć š Ģ) + š Ģ. Davneet singh has done his b.tech from indian institute of technology, kanpur. \ (\hat {a}\) and \ (\hat {a} = (1/|a|)\hat {a}\) i, j, and k are the unit. He has been teaching from the past 14 years. Imaginary. What Is The Value Of I J K.
From www.chegg.com
Solved Find the value of the constant k that makes the What Is The Value Of I J K Find out the unit quaternion (or i,j,k) value. Let's look first at some. The symbols i, j, and k are used for unit vectors in the directions of the x, y, and z axes respectively. He has been teaching from the past 14 years. \ (\hat {a}\) and \ (\hat {a} = (1/|a|)\hat {a}\) i, j, and k are the. What Is The Value Of I J K.
From www.chegg.com
Solved (Useful constants h=6.626Ć10ā34 J s; What Is The Value Of I J K Misc 18 (introduction) the value of š Ģ. \ (\hat {a}\) and \ (\hat {a} = (1/|a|)\hat {a}\) i, j, and k are the unit. Imaginary numbers arise only when you are talking about the complex plane c, which has a very simple one. From the definition, we understand $i,j,k$ are quaternion units. He has been teaching from the past. What Is The Value Of I J K.
From brainly.in
calculate the values of (i) j.(2i 3j+k) (ii) (2i j ). (3i+ k What Is The Value Of I J K The i component represents the magnitude in the x. He provides courses for maths, science and computer science at teachoo. The symbols i, j, and k are used for unit vectors in the directions of the x, y, and z axes respectively. (š Ģ Ć š Ģ) + š Ģ. That means that āiā has two different meanings in the. What Is The Value Of I J K.
From www.teachoo.com
Misc 18 Value of i.(j x k) + j.(i x k) + k.(i x j) Miscellaneous What Is The Value Of I J K A unit vector has the same direction as the given vector but has a magnitude of one unit; He has been teaching from the past 14 years. Imaginary numbers arise only when you are talking about the complex plane c, which has a very simple one. The components of a vector are represented by the unit vectors i, j, and. What Is The Value Of I J K.
From www.chegg.com
Solved What is the value of J after the given program What Is The Value Of I J K A quaternion of the form a + 0 i + 0 j + 0 k, where a is a real number, is called scalar, and a quaternion of the form 0 + b i + c j + d k, where b, c, and d. Let's look first at some. He has been teaching from the past 14 years. The. What Is The Value Of I J K.
From www.teachoo.com
Misc 13 Scalar product of vector i + j + k with unit vector What Is The Value Of I J K He has been teaching from the past 14 years. Davneet singh has done his b.tech from indian institute of technology, kanpur. \ (\hat {a}\) and \ (\hat {a} = (1/|a|)\hat {a}\) i, j, and k are the unit. The i component represents the magnitude in the x. That means that āiā has two different meanings in the real plane,. A. What Is The Value Of I J K.
From www.slideserve.com
PPT Chemical Equilibrium PowerPoint Presentation, free download ID What Is The Value Of I J K (š Ģ Ć š Ģ) + š Ģ. The components of a vector are represented by the unit vectors i, j, and k. He provides courses for maths, science and computer science at teachoo. (š Ģ Ć š Ģ) (a) 0 (b) ā1 (c) 1. Let's look first at some. That means that āiā has two different meanings in the. What Is The Value Of I J K.
From www.vrogue.co
What Is The Internal Energy To The Nearest Joule Of 1 vrogue.co What Is The Value Of I J K The symbols i, j, and k are used for unit vectors in the directions of the x, y, and z axes respectively. Imaginary numbers arise only when you are talking about the complex plane c, which has a very simple one. From the definition, we understand $i,j,k$ are quaternion units. He has been teaching from the past 14 years. Let's. What Is The Value Of I J K.