Ksp Barium Hydroxide . Although all compounds have a characteristic solubility in water at a given temperature, some families of compounds are. Whereas solubility is usually expressed in terms of. Ionic compound formula k sp. Water solubility table (chart) ›. The table below gives calculated values of k sp for common ionic substances at 25°c (77°f). 133 rows chapter 26 appendix b: Sp k is a useful parameter for calculating the aqueous solubility of sparingly soluble compounds under various conditions. Crc handbook of chemistry and. It may be determined by direct. Solubility product constants near 25 °c. The equilibrium constant for a dissolution reaction, called the solubility product (ksp), is a measure of the solubility of a compound. Ksp solubility product constants of many popular salts at solubilityofthings. 176 rows solubility product constant (ksp) (or the solubility product) is the product of the molar concentrations of the constituent ions, each.
from www.youtube.com
Ionic compound formula k sp. Ksp solubility product constants of many popular salts at solubilityofthings. It may be determined by direct. Solubility product constants near 25 °c. The table below gives calculated values of k sp for common ionic substances at 25°c (77°f). The equilibrium constant for a dissolution reaction, called the solubility product (ksp), is a measure of the solubility of a compound. Whereas solubility is usually expressed in terms of. 133 rows chapter 26 appendix b: Crc handbook of chemistry and. Although all compounds have a characteristic solubility in water at a given temperature, some families of compounds are.
How to find the molecular mass of Ba(OH)2 (Barium Hydroxide) YouTube
Ksp Barium Hydroxide Solubility product constants near 25 °c. The table below gives calculated values of k sp for common ionic substances at 25°c (77°f). Whereas solubility is usually expressed in terms of. Crc handbook of chemistry and. Ionic compound formula k sp. It may be determined by direct. Sp k is a useful parameter for calculating the aqueous solubility of sparingly soluble compounds under various conditions. 176 rows solubility product constant (ksp) (or the solubility product) is the product of the molar concentrations of the constituent ions, each. 133 rows chapter 26 appendix b: Water solubility table (chart) ›. The equilibrium constant for a dissolution reaction, called the solubility product (ksp), is a measure of the solubility of a compound. Ksp solubility product constants of many popular salts at solubilityofthings. Solubility product constants near 25 °c. Although all compounds have a characteristic solubility in water at a given temperature, some families of compounds are.
From www.numerade.com
SOLVED The Ksp for BaSO4 is 1x10^10 at 25 °C. Calculate the Ksp Barium Hydroxide The equilibrium constant for a dissolution reaction, called the solubility product (ksp), is a measure of the solubility of a compound. Solubility product constants near 25 °c. 133 rows chapter 26 appendix b: Sp k is a useful parameter for calculating the aqueous solubility of sparingly soluble compounds under various conditions. Whereas solubility is usually expressed in terms of. Crc. Ksp Barium Hydroxide.
From dir.indiamart.com
Barium Hydroxide barium(II) hydroxide Latest Price, Manufacturers Ksp Barium Hydroxide Ionic compound formula k sp. Solubility product constants near 25 °c. Sp k is a useful parameter for calculating the aqueous solubility of sparingly soluble compounds under various conditions. Whereas solubility is usually expressed in terms of. The table below gives calculated values of k sp for common ionic substances at 25°c (77°f). Water solubility table (chart) ›. It may. Ksp Barium Hydroxide.
From www.chegg.com
Solved Solubility of calcium hydroxide in water Temperature Ksp Barium Hydroxide It may be determined by direct. Water solubility table (chart) ›. 176 rows solubility product constant (ksp) (or the solubility product) is the product of the molar concentrations of the constituent ions, each. Solubility product constants near 25 °c. Sp k is a useful parameter for calculating the aqueous solubility of sparingly soluble compounds under various conditions. The equilibrium constant. Ksp Barium Hydroxide.
From procure-net.com
Barium Hydroxide Octahydrate High Purity, Solubility, and Stability Ksp Barium Hydroxide 176 rows solubility product constant (ksp) (or the solubility product) is the product of the molar concentrations of the constituent ions, each. It may be determined by direct. Although all compounds have a characteristic solubility in water at a given temperature, some families of compounds are. Sp k is a useful parameter for calculating the aqueous solubility of sparingly soluble. Ksp Barium Hydroxide.
From www.snapdeal.com
BARIUM HYDROXIDE (octahydrate) (CAS NO.12230716) 500 GM Buy Online Ksp Barium Hydroxide 133 rows chapter 26 appendix b: Ksp solubility product constants of many popular salts at solubilityofthings. Water solubility table (chart) ›. Sp k is a useful parameter for calculating the aqueous solubility of sparingly soluble compounds under various conditions. The equilibrium constant for a dissolution reaction, called the solubility product (ksp), is a measure of the solubility of a compound.. Ksp Barium Hydroxide.
From www.youtube.com
How to find the molecular mass of Ba(OH)2 (Barium Hydroxide) YouTube Ksp Barium Hydroxide Whereas solubility is usually expressed in terms of. 133 rows chapter 26 appendix b: 176 rows solubility product constant (ksp) (or the solubility product) is the product of the molar concentrations of the constituent ions, each. The table below gives calculated values of k sp for common ionic substances at 25°c (77°f). Ksp solubility product constants of many popular salts. Ksp Barium Hydroxide.
From www.numerade.com
SOLVEDExercise 3 Namc Complete the following table ofthe "insoluble Ksp Barium Hydroxide Ionic compound formula k sp. Solubility product constants near 25 °c. Whereas solubility is usually expressed in terms of. Sp k is a useful parameter for calculating the aqueous solubility of sparingly soluble compounds under various conditions. Water solubility table (chart) ›. Although all compounds have a characteristic solubility in water at a given temperature, some families of compounds are.. Ksp Barium Hydroxide.
From slideplayer.com
Applications of Aqueous Equilibria ppt download Ksp Barium Hydroxide Solubility product constants near 25 °c. The equilibrium constant for a dissolution reaction, called the solubility product (ksp), is a measure of the solubility of a compound. 176 rows solubility product constant (ksp) (or the solubility product) is the product of the molar concentrations of the constituent ions, each. Although all compounds have a characteristic solubility in water at a. Ksp Barium Hydroxide.
From www.numerade.com
SOLVED The Ksp value for barium sulfate is 1.5 x 109. Calculate the Ksp Barium Hydroxide Crc handbook of chemistry and. Ksp solubility product constants of many popular salts at solubilityofthings. Whereas solubility is usually expressed in terms of. It may be determined by direct. Water solubility table (chart) ›. 176 rows solubility product constant (ksp) (or the solubility product) is the product of the molar concentrations of the constituent ions, each. Ionic compound formula k. Ksp Barium Hydroxide.
From www.flinnsci.com
Barium Hydroxide, Reagent, 100 g Flinn Scientific Ksp Barium Hydroxide 176 rows solubility product constant (ksp) (or the solubility product) is the product of the molar concentrations of the constituent ions, each. The equilibrium constant for a dissolution reaction, called the solubility product (ksp), is a measure of the solubility of a compound. Whereas solubility is usually expressed in terms of. Although all compounds have a characteristic solubility in water. Ksp Barium Hydroxide.
From www.indiamart.com
Barium Hydroxide at Rs 210/kg Barium Hydroxide in Madurai ID Ksp Barium Hydroxide 176 rows solubility product constant (ksp) (or the solubility product) is the product of the molar concentrations of the constituent ions, each. Crc handbook of chemistry and. Ionic compound formula k sp. Water solubility table (chart) ›. It may be determined by direct. Sp k is a useful parameter for calculating the aqueous solubility of sparingly soluble compounds under various. Ksp Barium Hydroxide.
From www.bartleby.com
Answered The molar solubility of Barium… bartleby Ksp Barium Hydroxide 133 rows chapter 26 appendix b: It may be determined by direct. Whereas solubility is usually expressed in terms of. Crc handbook of chemistry and. The equilibrium constant for a dissolution reaction, called the solubility product (ksp), is a measure of the solubility of a compound. Although all compounds have a characteristic solubility in water at a given temperature, some. Ksp Barium Hydroxide.
From www.indiamart.com
Barium Hydroxide 98 at Rs 76/kg barium(II) hydroxide in Delhi ID Ksp Barium Hydroxide It may be determined by direct. Sp k is a useful parameter for calculating the aqueous solubility of sparingly soluble compounds under various conditions. Crc handbook of chemistry and. Water solubility table (chart) ›. Ksp solubility product constants of many popular salts at solubilityofthings. 176 rows solubility product constant (ksp) (or the solubility product) is the product of the molar. Ksp Barium Hydroxide.
From www.chegg.com
Solved 8) The solubility product constant, Ksp, for barium Ksp Barium Hydroxide Whereas solubility is usually expressed in terms of. Ksp solubility product constants of many popular salts at solubilityofthings. The table below gives calculated values of k sp for common ionic substances at 25°c (77°f). Crc handbook of chemistry and. It may be determined by direct. Sp k is a useful parameter for calculating the aqueous solubility of sparingly soluble compounds. Ksp Barium Hydroxide.
From www.flinnsci.com
Barium Hydroxide, Lab Grade, 500 g Flinn Scientific Ksp Barium Hydroxide Ksp solubility product constants of many popular salts at solubilityofthings. It may be determined by direct. 176 rows solubility product constant (ksp) (or the solubility product) is the product of the molar concentrations of the constituent ions, each. Whereas solubility is usually expressed in terms of. Crc handbook of chemistry and. Water solubility table (chart) ›. The equilibrium constant for. Ksp Barium Hydroxide.
From www.indiamart.com
Barium Hydroxide LR, Rs 324 /gram ACS Chemicals ID 18269580033 Ksp Barium Hydroxide Crc handbook of chemistry and. 133 rows chapter 26 appendix b: The table below gives calculated values of k sp for common ionic substances at 25°c (77°f). Sp k is a useful parameter for calculating the aqueous solubility of sparingly soluble compounds under various conditions. It may be determined by direct. Water solubility table (chart) ›. 176 rows solubility product. Ksp Barium Hydroxide.
From vishnupriya.in
Barium Hydroxide Anhydrous Manufacturer and Supplier Vishnu Priya Ksp Barium Hydroxide Solubility product constants near 25 °c. The table below gives calculated values of k sp for common ionic substances at 25°c (77°f). Sp k is a useful parameter for calculating the aqueous solubility of sparingly soluble compounds under various conditions. 133 rows chapter 26 appendix b: The equilibrium constant for a dissolution reaction, called the solubility product (ksp), is a. Ksp Barium Hydroxide.
From www.ottokemi.com
Barium hydroxide, anhydrous, 9498 17194002 Manufacturers Ksp Barium Hydroxide 133 rows chapter 26 appendix b: Ksp solubility product constants of many popular salts at solubilityofthings. Crc handbook of chemistry and. 176 rows solubility product constant (ksp) (or the solubility product) is the product of the molar concentrations of the constituent ions, each. Although all compounds have a characteristic solubility in water at a given temperature, some families of compounds. Ksp Barium Hydroxide.
From www.chegg.com
Solved The ksp for Barium Carbonate (BaCo_3) is 5.1x10^9, Ksp Barium Hydroxide 176 rows solubility product constant (ksp) (or the solubility product) is the product of the molar concentrations of the constituent ions, each. It may be determined by direct. The table below gives calculated values of k sp for common ionic substances at 25°c (77°f). Crc handbook of chemistry and. Water solubility table (chart) ›. Sp k is a useful parameter. Ksp Barium Hydroxide.
From www.carolina.com
Barium Hydroxide Solution, 0.1 M Aqueous, Laboratory Grade, 500 mL Ksp Barium Hydroxide Sp k is a useful parameter for calculating the aqueous solubility of sparingly soluble compounds under various conditions. Although all compounds have a characteristic solubility in water at a given temperature, some families of compounds are. Water solubility table (chart) ›. 133 rows chapter 26 appendix b: The table below gives calculated values of k sp for common ionic substances. Ksp Barium Hydroxide.
From www.numerade.com
SOLVED e. If 30.0 mL of 0.400 M Barium nitrate is mixed with 45.0 mL Ksp Barium Hydroxide Sp k is a useful parameter for calculating the aqueous solubility of sparingly soluble compounds under various conditions. The equilibrium constant for a dissolution reaction, called the solubility product (ksp), is a measure of the solubility of a compound. Water solubility table (chart) ›. It may be determined by direct. The table below gives calculated values of k sp for. Ksp Barium Hydroxide.
From www.numerade.com
SOLVEDPractice Exercises Write the Ksp expressions for the compounds Ksp Barium Hydroxide Crc handbook of chemistry and. Ksp solubility product constants of many popular salts at solubilityofthings. Although all compounds have a characteristic solubility in water at a given temperature, some families of compounds are. Whereas solubility is usually expressed in terms of. The table below gives calculated values of k sp for common ionic substances at 25°c (77°f). Solubility product constants. Ksp Barium Hydroxide.
From www.mosinterchem.com.cn
Barium Hydroxide Octahydrate CAS 12230716 Chemicals supplier from China Ksp Barium Hydroxide Although all compounds have a characteristic solubility in water at a given temperature, some families of compounds are. 176 rows solubility product constant (ksp) (or the solubility product) is the product of the molar concentrations of the constituent ions, each. The equilibrium constant for a dissolution reaction, called the solubility product (ksp), is a measure of the solubility of a. Ksp Barium Hydroxide.
From www.numerade.com
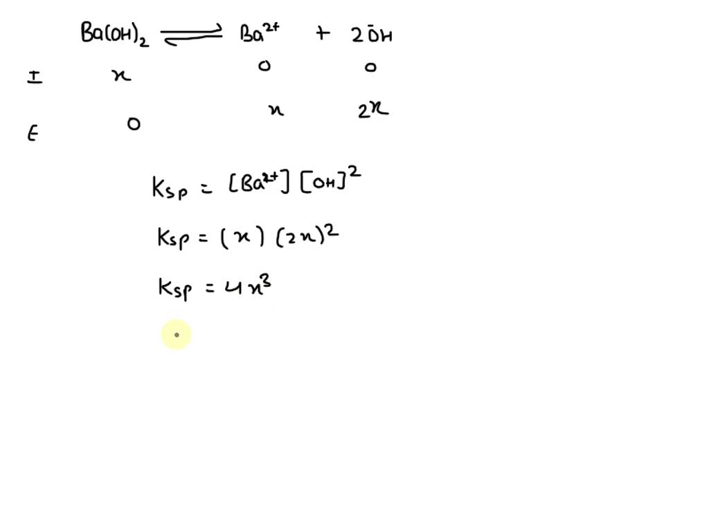
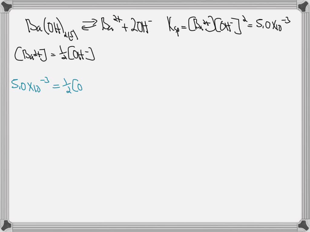
SOLVED The Ksp of Ba(OH)2 is 5.0 x 103. What is the pH of a saturated Ksp Barium Hydroxide Ionic compound formula k sp. Whereas solubility is usually expressed in terms of. 133 rows chapter 26 appendix b: Crc handbook of chemistry and. Sp k is a useful parameter for calculating the aqueous solubility of sparingly soluble compounds under various conditions. 176 rows solubility product constant (ksp) (or the solubility product) is the product of the molar concentrations of. Ksp Barium Hydroxide.
From www.indiamart.com
Barium Hydroxide at Rs 47/kg Hyderabad ID 8749999562 Ksp Barium Hydroxide Ksp solubility product constants of many popular salts at solubilityofthings. 176 rows solubility product constant (ksp) (or the solubility product) is the product of the molar concentrations of the constituent ions, each. The table below gives calculated values of k sp for common ionic substances at 25°c (77°f). Water solubility table (chart) ›. It may be determined by direct. Ionic. Ksp Barium Hydroxide.
From dir.indiamart.com
Barium Hydroxide barium(II) hydroxide Latest Price, Manufacturers Ksp Barium Hydroxide Whereas solubility is usually expressed in terms of. 176 rows solubility product constant (ksp) (or the solubility product) is the product of the molar concentrations of the constituent ions, each. It may be determined by direct. Sp k is a useful parameter for calculating the aqueous solubility of sparingly soluble compounds under various conditions. Although all compounds have a characteristic. Ksp Barium Hydroxide.
From www.numerade.com
SOLVED The solubility of barium hydroxide, Ba(OH)2 in water is 6.9 g/L Ksp Barium Hydroxide Whereas solubility is usually expressed in terms of. Solubility product constants near 25 °c. The equilibrium constant for a dissolution reaction, called the solubility product (ksp), is a measure of the solubility of a compound. Sp k is a useful parameter for calculating the aqueous solubility of sparingly soluble compounds under various conditions. Crc handbook of chemistry and. It may. Ksp Barium Hydroxide.
From www.chegg.com
Solved Barium hydroxide, Ba(OH)_2 is reported to have Ksp of Ksp Barium Hydroxide Solubility product constants near 25 °c. Ksp solubility product constants of many popular salts at solubilityofthings. Crc handbook of chemistry and. Whereas solubility is usually expressed in terms of. Water solubility table (chart) ›. It may be determined by direct. The table below gives calculated values of k sp for common ionic substances at 25°c (77°f). 176 rows solubility product. Ksp Barium Hydroxide.
From www.numerade.com
SOLVED What volume of a saturated solution of barium hydroxide (Ksp Ksp Barium Hydroxide Crc handbook of chemistry and. Although all compounds have a characteristic solubility in water at a given temperature, some families of compounds are. Solubility product constants near 25 °c. Sp k is a useful parameter for calculating the aqueous solubility of sparingly soluble compounds under various conditions. Ksp solubility product constants of many popular salts at solubilityofthings. The equilibrium constant. Ksp Barium Hydroxide.
From www.numerade.com
SOLVED Calculate the molar solubility of barium hydroxide, Ba(OH)2 Ksp Barium Hydroxide Water solubility table (chart) ›. Sp k is a useful parameter for calculating the aqueous solubility of sparingly soluble compounds under various conditions. Although all compounds have a characteristic solubility in water at a given temperature, some families of compounds are. Ksp solubility product constants of many popular salts at solubilityofthings. The table below gives calculated values of k sp. Ksp Barium Hydroxide.
From www.carolina.com
Barium Hydroxide, 8Hydrate, Reagent Grade, 500 g Carolina Biological Ksp Barium Hydroxide Ionic compound formula k sp. Water solubility table (chart) ›. Crc handbook of chemistry and. Solubility product constants near 25 °c. 176 rows solubility product constant (ksp) (or the solubility product) is the product of the molar concentrations of the constituent ions, each. The table below gives calculated values of k sp for common ionic substances at 25°c (77°f). 133. Ksp Barium Hydroxide.
From www.indiamart.com
Barium Hydroxide Powder, Loose at Rs 108/kg in Valsad ID 27292454062 Ksp Barium Hydroxide Water solubility table (chart) ›. The equilibrium constant for a dissolution reaction, called the solubility product (ksp), is a measure of the solubility of a compound. 133 rows chapter 26 appendix b: Although all compounds have a characteristic solubility in water at a given temperature, some families of compounds are. Sp k is a useful parameter for calculating the aqueous. Ksp Barium Hydroxide.
From www.snapdeal.com
BARIUM HYDROXIDE (octahydrate) 500GM Buy Online at Best Price in India Ksp Barium Hydroxide Whereas solubility is usually expressed in terms of. 133 rows chapter 26 appendix b: Water solubility table (chart) ›. Ksp solubility product constants of many popular salts at solubilityofthings. The table below gives calculated values of k sp for common ionic substances at 25°c (77°f). Crc handbook of chemistry and. Solubility product constants near 25 °c. It may be determined. Ksp Barium Hydroxide.
From www.numerade.com
SOLVED The solubility product for barium hydroxide, and its Ksp Barium Hydroxide Crc handbook of chemistry and. Although all compounds have a characteristic solubility in water at a given temperature, some families of compounds are. Ionic compound formula k sp. 133 rows chapter 26 appendix b: Sp k is a useful parameter for calculating the aqueous solubility of sparingly soluble compounds under various conditions. Water solubility table (chart) ›. The table below. Ksp Barium Hydroxide.
From www.chegg.com
Barium hydroxide powder is stirred in water. Then the Ksp Barium Hydroxide Although all compounds have a characteristic solubility in water at a given temperature, some families of compounds are. 176 rows solubility product constant (ksp) (or the solubility product) is the product of the molar concentrations of the constituent ions, each. Sp k is a useful parameter for calculating the aqueous solubility of sparingly soluble compounds under various conditions. Whereas solubility. Ksp Barium Hydroxide.