Llc Registration In Alabama . The filing fee for starting an llc in alabama is $200. To start an llc in alabama, you need to choose a business name, designate a registered agent, file your certificate of formation, and (most likely) get. The certificate of formation must. We'll walk you through each step and highlight important considerations. Starting an llc in alabama might seem daunting to a new business owner, but the process can be completed in eight simple steps: You can file the certificate online through the sos's online services or by mail. How to get an alabama llc in 8 steps. To register an llc in alabama, you must file the certificate of formation with the alabama secretary of state. Within two and a half months after forming your llc, you must submit an initial business privilege tax return to the alabama department of revenue. You create an alabama llc by filing a certificate of formation with the sos. Organizing your domestic limited liability company or registering your foreign limited liability company.
from llcbible.com
Starting an llc in alabama might seem daunting to a new business owner, but the process can be completed in eight simple steps: We'll walk you through each step and highlight important considerations. You can file the certificate online through the sos's online services or by mail. Organizing your domestic limited liability company or registering your foreign limited liability company. The filing fee for starting an llc in alabama is $200. To start an llc in alabama, you need to choose a business name, designate a registered agent, file your certificate of formation, and (most likely) get. Within two and a half months after forming your llc, you must submit an initial business privilege tax return to the alabama department of revenue. The certificate of formation must. To register an llc in alabama, you must file the certificate of formation with the alabama secretary of state. You create an alabama llc by filing a certificate of formation with the sos.
alabama registered agent llc LLC Bible
Llc Registration In Alabama You can file the certificate online through the sos's online services or by mail. To start an llc in alabama, you need to choose a business name, designate a registered agent, file your certificate of formation, and (most likely) get. We'll walk you through each step and highlight important considerations. How to get an alabama llc in 8 steps. Starting an llc in alabama might seem daunting to a new business owner, but the process can be completed in eight simple steps: You can file the certificate online through the sos's online services or by mail. To register an llc in alabama, you must file the certificate of formation with the alabama secretary of state. Organizing your domestic limited liability company or registering your foreign limited liability company. Within two and a half months after forming your llc, you must submit an initial business privilege tax return to the alabama department of revenue. The certificate of formation must. You create an alabama llc by filing a certificate of formation with the sos. The filing fee for starting an llc in alabama is $200.
From www.uslegalforms.com
Alabama Articles of Organization for Domestic Limited Liability Company Llc Registration In Alabama How to get an alabama llc in 8 steps. Starting an llc in alabama might seem daunting to a new business owner, but the process can be completed in eight simple steps: To register an llc in alabama, you must file the certificate of formation with the alabama secretary of state. The filing fee for starting an llc in alabama. Llc Registration In Alabama.
From www.templateroller.com
Alabama Foreign Limited Liability Company (LLC) Application for Llc Registration In Alabama To register an llc in alabama, you must file the certificate of formation with the alabama secretary of state. To start an llc in alabama, you need to choose a business name, designate a registered agent, file your certificate of formation, and (most likely) get. Organizing your domestic limited liability company or registering your foreign limited liability company. The certificate. Llc Registration In Alabama.
From howtostartanllc.com
LLC in Alabama How to Start an LLC in Alabama TRUiC Llc Registration In Alabama How to get an alabama llc in 8 steps. The certificate of formation must. Organizing your domestic limited liability company or registering your foreign limited liability company. To register an llc in alabama, you must file the certificate of formation with the alabama secretary of state. Starting an llc in alabama might seem daunting to a new business owner, but. Llc Registration In Alabama.
From teggioly.com
Unlocking the Power of LLC Registration Your Guide to Success TEGGIOLY Llc Registration In Alabama To start an llc in alabama, you need to choose a business name, designate a registered agent, file your certificate of formation, and (most likely) get. You create an alabama llc by filing a certificate of formation with the sos. Starting an llc in alabama might seem daunting to a new business owner, but the process can be completed in. Llc Registration In Alabama.
From llcguys.com
Alabama LLC (7 Step Guide) How to Form an LLC in Alabama Llc Registration In Alabama The certificate of formation must. To register an llc in alabama, you must file the certificate of formation with the alabama secretary of state. How to get an alabama llc in 8 steps. You create an alabama llc by filing a certificate of formation with the sos. Organizing your domestic limited liability company or registering your foreign limited liability company.. Llc Registration In Alabama.
From llcbible.com
state of alabama llc LLC Bible Llc Registration In Alabama Organizing your domestic limited liability company or registering your foreign limited liability company. To register an llc in alabama, you must file the certificate of formation with the alabama secretary of state. The filing fee for starting an llc in alabama is $200. You can file the certificate online through the sos's online services or by mail. You create an. Llc Registration In Alabama.
From www.templateroller.com
Alabama Foreign Limited Liability Company (LLC) Amendment to Llc Registration In Alabama Organizing your domestic limited liability company or registering your foreign limited liability company. To register an llc in alabama, you must file the certificate of formation with the alabama secretary of state. The filing fee for starting an llc in alabama is $200. Starting an llc in alabama might seem daunting to a new business owner, but the process can. Llc Registration In Alabama.
From www.templateroller.com
Alabama Domestic Limited Liability Company (LLC) Certificate of Llc Registration In Alabama We'll walk you through each step and highlight important considerations. The certificate of formation must. Organizing your domestic limited liability company or registering your foreign limited liability company. You create an alabama llc by filing a certificate of formation with the sos. Starting an llc in alabama might seem daunting to a new business owner, but the process can be. Llc Registration In Alabama.
From startmyllc.io
How to Start an LLC in Alabama (AL LLC 2022) StartMyLLC Llc Registration In Alabama To start an llc in alabama, you need to choose a business name, designate a registered agent, file your certificate of formation, and (most likely) get. You can file the certificate online through the sos's online services or by mail. The certificate of formation must. You create an alabama llc by filing a certificate of formation with the sos. Within. Llc Registration In Alabama.
From businessfro.com
How To Create An LLC In Alabama [2023] BUSINESSFRO Llc Registration In Alabama Within two and a half months after forming your llc, you must submit an initial business privilege tax return to the alabama department of revenue. Organizing your domestic limited liability company or registering your foreign limited liability company. You create an alabama llc by filing a certificate of formation with the sos. The filing fee for starting an llc in. Llc Registration In Alabama.
From freedownloads.net
Download Alabama Foreign LLC Application for Registration Form PDF Llc Registration In Alabama Organizing your domestic limited liability company or registering your foreign limited liability company. The certificate of formation must. To start an llc in alabama, you need to choose a business name, designate a registered agent, file your certificate of formation, and (most likely) get. Within two and a half months after forming your llc, you must submit an initial business. Llc Registration In Alabama.
From www.pinterest.com
Form LLC in Alabama Alabama, Llc, Form Llc Registration In Alabama The filing fee for starting an llc in alabama is $200. Within two and a half months after forming your llc, you must submit an initial business privilege tax return to the alabama department of revenue. To start an llc in alabama, you need to choose a business name, designate a registered agent, file your certificate of formation, and (most. Llc Registration In Alabama.
From management.org
How to Register a Business in Alabama Guide 2024 Llc Registration In Alabama To start an llc in alabama, you need to choose a business name, designate a registered agent, file your certificate of formation, and (most likely) get. To register an llc in alabama, you must file the certificate of formation with the alabama secretary of state. You can file the certificate online through the sos's online services or by mail. How. Llc Registration In Alabama.
From www.uslegalforms.com
Alabama Articles of Organization for Domestic Limited Liability Company Llc Registration In Alabama The filing fee for starting an llc in alabama is $200. Starting an llc in alabama might seem daunting to a new business owner, but the process can be completed in eight simple steps: To register an llc in alabama, you must file the certificate of formation with the alabama secretary of state. The certificate of formation must. You create. Llc Registration In Alabama.
From www.youtube.com
Alabama Business License What you need to get started License Llc Registration In Alabama The filing fee for starting an llc in alabama is $200. The certificate of formation must. Organizing your domestic limited liability company or registering your foreign limited liability company. Starting an llc in alabama might seem daunting to a new business owner, but the process can be completed in eight simple steps: How to get an alabama llc in 8. Llc Registration In Alabama.
From www.templateroller.com
Alabama Foreign Limited Liability Company (LLC) Amendment to Llc Registration In Alabama Within two and a half months after forming your llc, you must submit an initial business privilege tax return to the alabama department of revenue. You create an alabama llc by filing a certificate of formation with the sos. The certificate of formation must. To start an llc in alabama, you need to choose a business name, designate a registered. Llc Registration In Alabama.
From www.northwestregisteredagent.com
Incorporate in Alabama Do Business The Right Way Llc Registration In Alabama To register an llc in alabama, you must file the certificate of formation with the alabama secretary of state. We'll walk you through each step and highlight important considerations. The certificate of formation must. The filing fee for starting an llc in alabama is $200. Starting an llc in alabama might seem daunting to a new business owner, but the. Llc Registration In Alabama.
From www.templateroller.com
Alabama Foreign Limited Liability Company (LLC) Application for Llc Registration In Alabama Organizing your domestic limited liability company or registering your foreign limited liability company. You create an alabama llc by filing a certificate of formation with the sos. We'll walk you through each step and highlight important considerations. You can file the certificate online through the sos's online services or by mail. Starting an llc in alabama might seem daunting to. Llc Registration In Alabama.
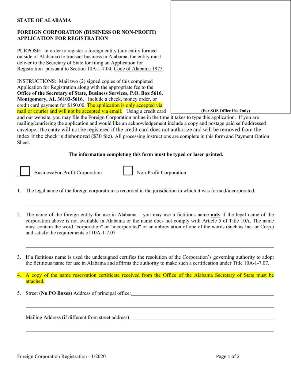
From www.templateroller.com
Alabama Foreign Corporation (Business or Nonprofit) Application for Llc Registration In Alabama How to get an alabama llc in 8 steps. To start an llc in alabama, you need to choose a business name, designate a registered agent, file your certificate of formation, and (most likely) get. The filing fee for starting an llc in alabama is $200. We'll walk you through each step and highlight important considerations. You create an alabama. Llc Registration In Alabama.
From www.templateroller.com
Alabama Foreign Limited Liability Company (LLC) Application for Llc Registration In Alabama You create an alabama llc by filing a certificate of formation with the sos. Organizing your domestic limited liability company or registering your foreign limited liability company. How to get an alabama llc in 8 steps. The filing fee for starting an llc in alabama is $200. The certificate of formation must. To start an llc in alabama, you need. Llc Registration In Alabama.
From www.templateroller.com
Alabama Domestic Limited Liability Company (LLC) Certificate of Llc Registration In Alabama The certificate of formation must. You can file the certificate online through the sos's online services or by mail. The filing fee for starting an llc in alabama is $200. How to get an alabama llc in 8 steps. Starting an llc in alabama might seem daunting to a new business owner, but the process can be completed in eight. Llc Registration In Alabama.
From www.signnow.com
Articles of Organization Llc Prebuilt template airSlate SignNow Llc Registration In Alabama How to get an alabama llc in 8 steps. The certificate of formation must. Starting an llc in alabama might seem daunting to a new business owner, but the process can be completed in eight simple steps: To register an llc in alabama, you must file the certificate of formation with the alabama secretary of state. To start an llc. Llc Registration In Alabama.
From vivibosslink.com
Navigating LLC Registration and Compliance for Small Llc Registration In Alabama To start an llc in alabama, you need to choose a business name, designate a registered agent, file your certificate of formation, and (most likely) get. The filing fee for starting an llc in alabama is $200. You can file the certificate online through the sos's online services or by mail. The certificate of formation must. Starting an llc in. Llc Registration In Alabama.
From www.northwestregisteredagent.com
Cost to Start an Alabama LLC Northwest Registered Agent Llc Registration In Alabama You can file the certificate online through the sos's online services or by mail. Organizing your domestic limited liability company or registering your foreign limited liability company. The filing fee for starting an llc in alabama is $200. We'll walk you through each step and highlight important considerations. Within two and a half months after forming your llc, you must. Llc Registration In Alabama.
From incparadise.net
Alabama LLC and Corporation Registration and Formation IncParadise Llc Registration In Alabama You can file the certificate online through the sos's online services or by mail. Starting an llc in alabama might seem daunting to a new business owner, but the process can be completed in eight simple steps: We'll walk you through each step and highlight important considerations. To start an llc in alabama, you need to choose a business name,. Llc Registration In Alabama.
From www.youtube.com
How to Start an LLC in Alabama AL Certificate of Formation YouTube Llc Registration In Alabama Within two and a half months after forming your llc, you must submit an initial business privilege tax return to the alabama department of revenue. To start an llc in alabama, you need to choose a business name, designate a registered agent, file your certificate of formation, and (most likely) get. The certificate of formation must. You create an alabama. Llc Registration In Alabama.
From llcbible.com
How to File an Alabama Nonprofit Organization Certificate of Llc Registration In Alabama How to get an alabama llc in 8 steps. You can file the certificate online through the sos's online services or by mail. You create an alabama llc by filing a certificate of formation with the sos. We'll walk you through each step and highlight important considerations. Starting an llc in alabama might seem daunting to a new business owner,. Llc Registration In Alabama.
From www.templateroller.com
Alabama Foreign Corporation (Business or Nonprofit) Application for Llc Registration In Alabama To start an llc in alabama, you need to choose a business name, designate a registered agent, file your certificate of formation, and (most likely) get. Within two and a half months after forming your llc, you must submit an initial business privilege tax return to the alabama department of revenue. How to get an alabama llc in 8 steps.. Llc Registration In Alabama.
From stepbystepbusiness.com
Alabama LLC Operating Agreement Template Step By Step Business Llc Registration In Alabama Starting an llc in alabama might seem daunting to a new business owner, but the process can be completed in eight simple steps: To register an llc in alabama, you must file the certificate of formation with the alabama secretary of state. Organizing your domestic limited liability company or registering your foreign limited liability company. The certificate of formation must.. Llc Registration In Alabama.
From pdfsimpli.com
alabama foreign application for registration llc PDFSimpli Llc Registration In Alabama We'll walk you through each step and highlight important considerations. The certificate of formation must. Starting an llc in alabama might seem daunting to a new business owner, but the process can be completed in eight simple steps: To start an llc in alabama, you need to choose a business name, designate a registered agent, file your certificate of formation,. Llc Registration In Alabama.
From vdocuments.mx
Certificate of Registration 3R Manufacturing LLC · Certificate of Llc Registration In Alabama Within two and a half months after forming your llc, you must submit an initial business privilege tax return to the alabama department of revenue. We'll walk you through each step and highlight important considerations. To register an llc in alabama, you must file the certificate of formation with the alabama secretary of state. The certificate of formation must. You. Llc Registration In Alabama.
From llcbible.com
alabama registered agent llc LLC Bible Llc Registration In Alabama You create an alabama llc by filing a certificate of formation with the sos. We'll walk you through each step and highlight important considerations. To start an llc in alabama, you need to choose a business name, designate a registered agent, file your certificate of formation, and (most likely) get. How to get an alabama llc in 8 steps. Starting. Llc Registration In Alabama.
From www.templateroller.com
Alabama Foreign Limited Liability Company (LLC) Amendment to Llc Registration In Alabama We'll walk you through each step and highlight important considerations. You can file the certificate online through the sos's online services or by mail. Within two and a half months after forming your llc, you must submit an initial business privilege tax return to the alabama department of revenue. You create an alabama llc by filing a certificate of formation. Llc Registration In Alabama.
From llcbible.com
How to File an Alabama Nonprofit Organization Certificate of Llc Registration In Alabama You create an alabama llc by filing a certificate of formation with the sos. To register an llc in alabama, you must file the certificate of formation with the alabama secretary of state. To start an llc in alabama, you need to choose a business name, designate a registered agent, file your certificate of formation, and (most likely) get. You. Llc Registration In Alabama.
From llcguys.com
Alabama LLC (7 Step Guide) How to Form an LLC in Alabama Llc Registration In Alabama To register an llc in alabama, you must file the certificate of formation with the alabama secretary of state. Organizing your domestic limited liability company or registering your foreign limited liability company. To start an llc in alabama, you need to choose a business name, designate a registered agent, file your certificate of formation, and (most likely) get. Within two. Llc Registration In Alabama.