How To Apply For Housing Assistance In Maine . Maine households can check their heap eligibility and begin the application process by visiting mainehousing’s heap web page at:. You can apply on this page by scrolling up to where it says application. opdown menu and select your county. The state of maine department of health and human services (dhhs), office of behavioral health (obh), through shalom house. Mainehousing provides low fixed rate mortgages and other assistance to help make homeownership affordable for more. Mainehousing provides a variety of programs and services and resources related to housing access and affordability in.
from www.ellsworthmaine.gov
Mainehousing provides low fixed rate mortgages and other assistance to help make homeownership affordable for more. Maine households can check their heap eligibility and begin the application process by visiting mainehousing’s heap web page at:. The state of maine department of health and human services (dhhs), office of behavioral health (obh), through shalom house. Mainehousing provides a variety of programs and services and resources related to housing access and affordability in. You can apply on this page by scrolling up to where it says application. opdown menu and select your county.
Maine Homeowner Assistance Fund City of Ellsworth, Maine
How To Apply For Housing Assistance In Maine You can apply on this page by scrolling up to where it says application. opdown menu and select your county. Mainehousing provides low fixed rate mortgages and other assistance to help make homeownership affordable for more. The state of maine department of health and human services (dhhs), office of behavioral health (obh), through shalom house. Maine households can check their heap eligibility and begin the application process by visiting mainehousing’s heap web page at:. Mainehousing provides a variety of programs and services and resources related to housing access and affordability in. You can apply on this page by scrolling up to where it says application. opdown menu and select your county.
From www.unlock.com
A Guide to Down Payment Assistance Programs for FirstTime Homebuyers How To Apply For Housing Assistance In Maine Mainehousing provides a variety of programs and services and resources related to housing access and affordability in. You can apply on this page by scrolling up to where it says application. opdown menu and select your county. Maine households can check their heap eligibility and begin the application process by visiting mainehousing’s heap web page at:. Mainehousing provides low fixed. How To Apply For Housing Assistance In Maine.
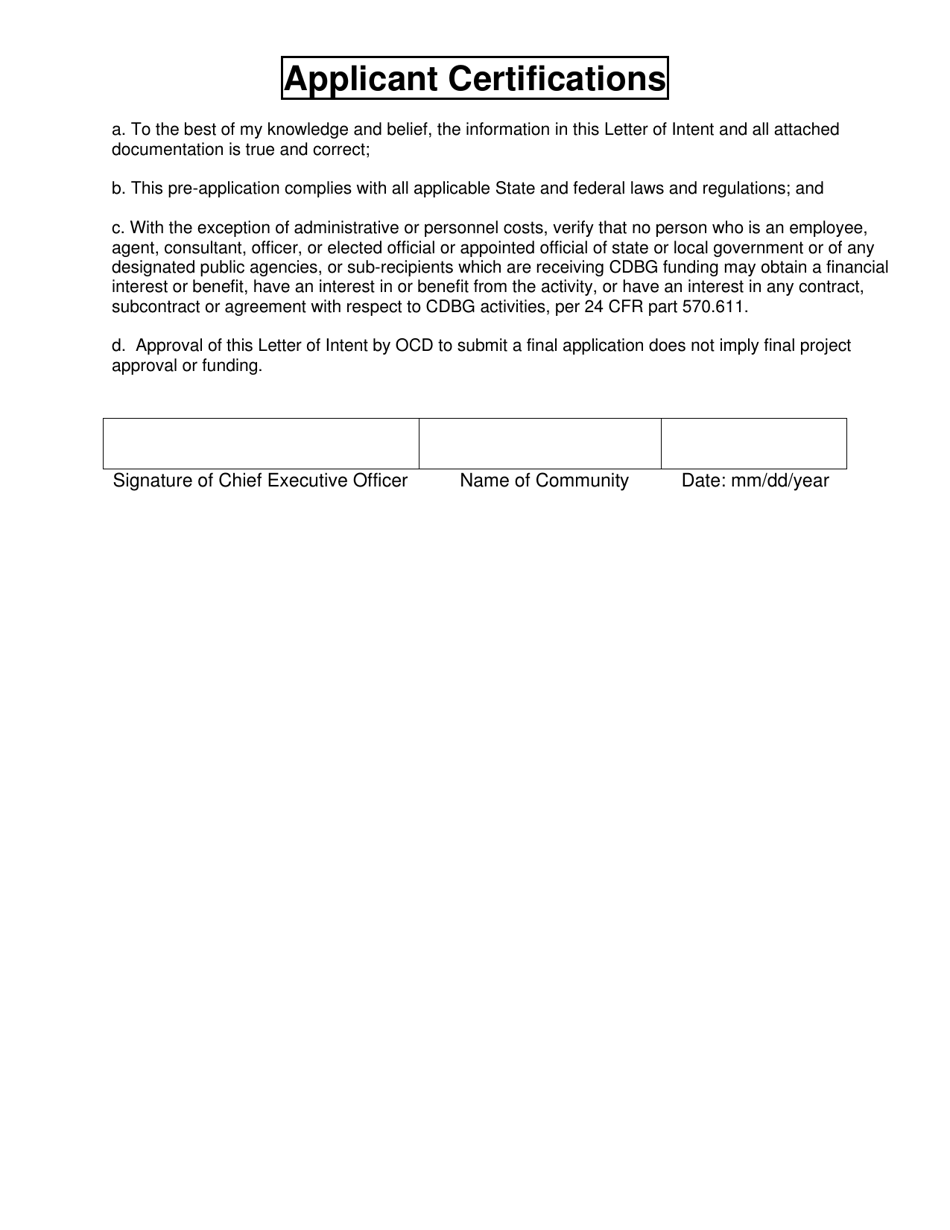
From joivgorla.blob.core.windows.net
Where To Apply For Housing Assistance at Cynthia Fallis blog How To Apply For Housing Assistance In Maine Mainehousing provides low fixed rate mortgages and other assistance to help make homeownership affordable for more. Mainehousing provides a variety of programs and services and resources related to housing access and affordability in. You can apply on this page by scrolling up to where it says application. opdown menu and select your county. The state of maine department of health. How To Apply For Housing Assistance In Maine.
From arrests-me.org
Maine Housing Assistance Community Resources ME How To Apply For Housing Assistance In Maine You can apply on this page by scrolling up to where it says application. opdown menu and select your county. Mainehousing provides low fixed rate mortgages and other assistance to help make homeownership affordable for more. The state of maine department of health and human services (dhhs), office of behavioral health (obh), through shalom house. Maine households can check their. How To Apply For Housing Assistance In Maine.
From www.templateroller.com
2023 Maine Letter of Intent to Apply Housing Assistance Grant Program How To Apply For Housing Assistance In Maine The state of maine department of health and human services (dhhs), office of behavioral health (obh), through shalom house. Mainehousing provides a variety of programs and services and resources related to housing access and affordability in. Mainehousing provides low fixed rate mortgages and other assistance to help make homeownership affordable for more. Maine households can check their heap eligibility and. How To Apply For Housing Assistance In Maine.
From www.formsbank.com
Form 7 Application For Housing Assistance printable pdf download How To Apply For Housing Assistance In Maine Maine households can check their heap eligibility and begin the application process by visiting mainehousing’s heap web page at:. Mainehousing provides low fixed rate mortgages and other assistance to help make homeownership affordable for more. Mainehousing provides a variety of programs and services and resources related to housing access and affordability in. You can apply on this page by scrolling. How To Apply For Housing Assistance In Maine.
From midcoastmainecommunityaction.org
Housing Assistance and Counseling Midcoast Maine Community Action How To Apply For Housing Assistance In Maine You can apply on this page by scrolling up to where it says application. opdown menu and select your county. Maine households can check their heap eligibility and begin the application process by visiting mainehousing’s heap web page at:. The state of maine department of health and human services (dhhs), office of behavioral health (obh), through shalom house. Mainehousing provides. How To Apply For Housing Assistance In Maine.
From www.formsbank.com
Application For Public Housing Assistance printable pdf download How To Apply For Housing Assistance In Maine Maine households can check their heap eligibility and begin the application process by visiting mainehousing’s heap web page at:. You can apply on this page by scrolling up to where it says application. opdown menu and select your county. The state of maine department of health and human services (dhhs), office of behavioral health (obh), through shalom house. Mainehousing provides. How To Apply For Housing Assistance In Maine.
From legaltemplates.net
Free Maine Rental Application Form PDF & Word Download How To Apply For Housing Assistance In Maine You can apply on this page by scrolling up to where it says application. opdown menu and select your county. Mainehousing provides low fixed rate mortgages and other assistance to help make homeownership affordable for more. Maine households can check their heap eligibility and begin the application process by visiting mainehousing’s heap web page at:. The state of maine department. How To Apply For Housing Assistance In Maine.
From www.sampleforms.com
FREE 12+ Sample Housing Application Forms in PDF MS Word Excel How To Apply For Housing Assistance In Maine Maine households can check their heap eligibility and begin the application process by visiting mainehousing’s heap web page at:. The state of maine department of health and human services (dhhs), office of behavioral health (obh), through shalom house. You can apply on this page by scrolling up to where it says application. opdown menu and select your county. Mainehousing provides. How To Apply For Housing Assistance In Maine.
From www.asinglemother.org
Housing Assistance in Maine aSingleMother Grants for Single Mothers How To Apply For Housing Assistance In Maine Maine households can check their heap eligibility and begin the application process by visiting mainehousing’s heap web page at:. You can apply on this page by scrolling up to where it says application. opdown menu and select your county. Mainehousing provides low fixed rate mortgages and other assistance to help make homeownership affordable for more. The state of maine department. How To Apply For Housing Assistance In Maine.
From letsteady.blogspot.com
How To Apply For Housing Assistance Let Steady How To Apply For Housing Assistance In Maine Mainehousing provides low fixed rate mortgages and other assistance to help make homeownership affordable for more. Mainehousing provides a variety of programs and services and resources related to housing access and affordability in. You can apply on this page by scrolling up to where it says application. opdown menu and select your county. Maine households can check their heap eligibility. How To Apply For Housing Assistance In Maine.
From www.dailyprosper.com
Understanding How to Apply for Federal Housing Assistance How To Apply For Housing Assistance In Maine Maine households can check their heap eligibility and begin the application process by visiting mainehousing’s heap web page at:. Mainehousing provides a variety of programs and services and resources related to housing access and affordability in. The state of maine department of health and human services (dhhs), office of behavioral health (obh), through shalom house. Mainehousing provides low fixed rate. How To Apply For Housing Assistance In Maine.
From emergencyhousingassistance.org
How to Apply for Emergency Housing Assistance in Different Situations How To Apply For Housing Assistance In Maine Mainehousing provides low fixed rate mortgages and other assistance to help make homeownership affordable for more. Mainehousing provides a variety of programs and services and resources related to housing access and affordability in. You can apply on this page by scrolling up to where it says application. opdown menu and select your county. The state of maine department of health. How To Apply For Housing Assistance In Maine.
From hotelreservationsonline2.com
How To Get Emergency Housing Assistance Near Me in 2024 How To Apply For Housing Assistance In Maine You can apply on this page by scrolling up to where it says application. opdown menu and select your county. Mainehousing provides low fixed rate mortgages and other assistance to help make homeownership affordable for more. Maine households can check their heap eligibility and begin the application process by visiting mainehousing’s heap web page at:. The state of maine department. How To Apply For Housing Assistance In Maine.
From www.formsbank.com
Application For Housing Assistance Form printable pdf download How To Apply For Housing Assistance In Maine Maine households can check their heap eligibility and begin the application process by visiting mainehousing’s heap web page at:. The state of maine department of health and human services (dhhs), office of behavioral health (obh), through shalom house. Mainehousing provides a variety of programs and services and resources related to housing access and affordability in. You can apply on this. How To Apply For Housing Assistance In Maine.
From www.pdffiller.com
Fillable Online Preliminary Application Affordable Housing Fill Out How To Apply For Housing Assistance In Maine You can apply on this page by scrolling up to where it says application. opdown menu and select your county. Maine households can check their heap eligibility and begin the application process by visiting mainehousing’s heap web page at:. Mainehousing provides a variety of programs and services and resources related to housing access and affordability in. The state of maine. How To Apply For Housing Assistance In Maine.
From letsteady.blogspot.com
How To Apply For Housing Assistance How To Apply For Housing Assistance In Maine Maine households can check their heap eligibility and begin the application process by visiting mainehousing’s heap web page at:. Mainehousing provides a variety of programs and services and resources related to housing access and affordability in. The state of maine department of health and human services (dhhs), office of behavioral health (obh), through shalom house. Mainehousing provides low fixed rate. How To Apply For Housing Assistance In Maine.
From letsteady.blogspot.com
How To Apply For Housing Assistance Let Steady How To Apply For Housing Assistance In Maine The state of maine department of health and human services (dhhs), office of behavioral health (obh), through shalom house. Maine households can check their heap eligibility and begin the application process by visiting mainehousing’s heap web page at:. Mainehousing provides a variety of programs and services and resources related to housing access and affordability in. Mainehousing provides low fixed rate. How To Apply For Housing Assistance In Maine.
From www.sampleforms.com
FREE 12+ Sample Housing Application Forms in PDF MS Word Excel How To Apply For Housing Assistance In Maine Mainehousing provides a variety of programs and services and resources related to housing access and affordability in. You can apply on this page by scrolling up to where it says application. opdown menu and select your county. Maine households can check their heap eligibility and begin the application process by visiting mainehousing’s heap web page at:. Mainehousing provides low fixed. How To Apply For Housing Assistance In Maine.
From emergencyhousingassistance.org
How to Apply for Emergency Rental Assistance in Different States How To Apply For Housing Assistance In Maine The state of maine department of health and human services (dhhs), office of behavioral health (obh), through shalom house. Mainehousing provides a variety of programs and services and resources related to housing access and affordability in. You can apply on this page by scrolling up to where it says application. opdown menu and select your county. Mainehousing provides low fixed. How To Apply For Housing Assistance In Maine.
From nammatech.com
How to Apply for HACSB Housing Assistance Application? How To Apply For Housing Assistance In Maine You can apply on this page by scrolling up to where it says application. opdown menu and select your county. Mainehousing provides low fixed rate mortgages and other assistance to help make homeownership affordable for more. Maine households can check their heap eligibility and begin the application process by visiting mainehousing’s heap web page at:. Mainehousing provides a variety of. How To Apply For Housing Assistance In Maine.
From klanybfrn.blob.core.windows.net
How To Apply For Housing Projects at Sapp blog How To Apply For Housing Assistance In Maine Maine households can check their heap eligibility and begin the application process by visiting mainehousing’s heap web page at:. You can apply on this page by scrolling up to where it says application. opdown menu and select your county. Mainehousing provides a variety of programs and services and resources related to housing access and affordability in. The state of maine. How To Apply For Housing Assistance In Maine.
From www.templateroller.com
2021 Maine Housing Assistance Grant Program Letter of Intent to Apply How To Apply For Housing Assistance In Maine The state of maine department of health and human services (dhhs), office of behavioral health (obh), through shalom house. Mainehousing provides a variety of programs and services and resources related to housing access and affordability in. You can apply on this page by scrolling up to where it says application. opdown menu and select your county. Maine households can check. How To Apply For Housing Assistance In Maine.
From housingassistance.net
Housing Assistance in Maine Housing Assistance How To Apply For Housing Assistance In Maine The state of maine department of health and human services (dhhs), office of behavioral health (obh), through shalom house. Mainehousing provides a variety of programs and services and resources related to housing access and affordability in. Maine households can check their heap eligibility and begin the application process by visiting mainehousing’s heap web page at:. You can apply on this. How To Apply For Housing Assistance In Maine.
From www.housing-assistance.com
Housing Assistance How To Apply For Housing Assistance In Maine Mainehousing provides a variety of programs and services and resources related to housing access and affordability in. The state of maine department of health and human services (dhhs), office of behavioral health (obh), through shalom house. Maine households can check their heap eligibility and begin the application process by visiting mainehousing’s heap web page at:. Mainehousing provides low fixed rate. How To Apply For Housing Assistance In Maine.
From www.newscentermaine.com
MaineHousing introduces firstgeneration homebuyer program How To Apply For Housing Assistance In Maine You can apply on this page by scrolling up to where it says application. opdown menu and select your county. The state of maine department of health and human services (dhhs), office of behavioral health (obh), through shalom house. Maine households can check their heap eligibility and begin the application process by visiting mainehousing’s heap web page at:. Mainehousing provides. How To Apply For Housing Assistance In Maine.
From theconservativenut.com
how to sign up for housing assistance The Conservative Nut How To Apply For Housing Assistance In Maine Maine households can check their heap eligibility and begin the application process by visiting mainehousing’s heap web page at:. You can apply on this page by scrolling up to where it says application. opdown menu and select your county. Mainehousing provides low fixed rate mortgages and other assistance to help make homeownership affordable for more. Mainehousing provides a variety of. How To Apply For Housing Assistance In Maine.
From www.ellsworthmaine.gov
Maine Homeowner Assistance Fund City of Ellsworth, Maine How To Apply For Housing Assistance In Maine Mainehousing provides a variety of programs and services and resources related to housing access and affordability in. Maine households can check their heap eligibility and begin the application process by visiting mainehousing’s heap web page at:. The state of maine department of health and human services (dhhs), office of behavioral health (obh), through shalom house. You can apply on this. How To Apply For Housing Assistance In Maine.
From www.youtube.com
How Can Individuals Apply For Housing Assistance Through The Housing How To Apply For Housing Assistance In Maine Mainehousing provides a variety of programs and services and resources related to housing access and affordability in. Maine households can check their heap eligibility and begin the application process by visiting mainehousing’s heap web page at:. You can apply on this page by scrolling up to where it says application. opdown menu and select your county. The state of maine. How To Apply For Housing Assistance In Maine.
From loeheqeog.blob.core.windows.net
How To Apply For Housing Assistance In Shreveport La at Carlos Melendez How To Apply For Housing Assistance In Maine Maine households can check their heap eligibility and begin the application process by visiting mainehousing’s heap web page at:. The state of maine department of health and human services (dhhs), office of behavioral health (obh), through shalom house. You can apply on this page by scrolling up to where it says application. opdown menu and select your county. Mainehousing provides. How To Apply For Housing Assistance In Maine.
From www.uslowcosthousing.com
Rent Assistance in Maine, Augusta UsLowCostHousing How To Apply For Housing Assistance In Maine You can apply on this page by scrolling up to where it says application. opdown menu and select your county. Maine households can check their heap eligibility and begin the application process by visiting mainehousing’s heap web page at:. Mainehousing provides low fixed rate mortgages and other assistance to help make homeownership affordable for more. The state of maine department. How To Apply For Housing Assistance In Maine.
From freeforms.com
Free Maine Residential Rental Application Form PDF How To Apply For Housing Assistance In Maine Maine households can check their heap eligibility and begin the application process by visiting mainehousing’s heap web page at:. The state of maine department of health and human services (dhhs), office of behavioral health (obh), through shalom house. Mainehousing provides low fixed rate mortgages and other assistance to help make homeownership affordable for more. You can apply on this page. How To Apply For Housing Assistance In Maine.
From www.templateroller.com
2021 Maine Housing Assistance Grant Program Letter of Intent to Apply How To Apply For Housing Assistance In Maine Mainehousing provides a variety of programs and services and resources related to housing access and affordability in. You can apply on this page by scrolling up to where it says application. opdown menu and select your county. The state of maine department of health and human services (dhhs), office of behavioral health (obh), through shalom house. Mainehousing provides low fixed. How To Apply For Housing Assistance In Maine.
From housingassistance.net
How to Apply for Housing Assistance Programs Housing Assistance How To Apply For Housing Assistance In Maine You can apply on this page by scrolling up to where it says application. opdown menu and select your county. Mainehousing provides low fixed rate mortgages and other assistance to help make homeownership affordable for more. Mainehousing provides a variety of programs and services and resources related to housing access and affordability in. The state of maine department of health. How To Apply For Housing Assistance In Maine.
From www.senatorhunter.com
Hunter urges residents to apply for housing assistance How To Apply For Housing Assistance In Maine The state of maine department of health and human services (dhhs), office of behavioral health (obh), through shalom house. Maine households can check their heap eligibility and begin the application process by visiting mainehousing’s heap web page at:. Mainehousing provides a variety of programs and services and resources related to housing access and affordability in. Mainehousing provides low fixed rate. How To Apply For Housing Assistance In Maine.