Khf2=Kf+H2+F2 . Khf2 = k + h2 + f2 is a decomposition reaction where two moles of aqueous potassium bifluoride [khf 2] decomposes into two moles of solid. 1 khf 2 = 1 h 2 + 1 kf + 1 f 2 for each element, we check if the number of atoms is balanced on both sides of the equation. Balance the reaction of khf2 = f2 + h2 + kf using this chemical equation balancer! • balance the chemical equation. Balance each equation by inserting coefficients as needed. Khf_2 h_2 + f_2 + kf plan: Construct the equilibrium constant, k, expression for: Your solution’s ready to go! Parlez de ce logiciel de chimie gratuit à vos amis !
from znanija.org
1 khf 2 = 1 h 2 + 1 kf + 1 f 2 for each element, we check if the number of atoms is balanced on both sides of the equation. • balance the chemical equation. Khf_2 h_2 + f_2 + kf plan: Khf2 = k + h2 + f2 is a decomposition reaction where two moles of aqueous potassium bifluoride [khf 2] decomposes into two moles of solid. Balance each equation by inserting coefficients as needed. Construct the equilibrium constant, k, expression for: Your solution’s ready to go! Balance the reaction of khf2 = f2 + h2 + kf using this chemical equation balancer! Parlez de ce logiciel de chimie gratuit à vos amis !
Закончить схему реакций а) h2+f2> б) h2+na> в) fe+h2so4> привести
Khf2=Kf+H2+F2 1 khf 2 = 1 h 2 + 1 kf + 1 f 2 for each element, we check if the number of atoms is balanced on both sides of the equation. 1 khf 2 = 1 h 2 + 1 kf + 1 f 2 for each element, we check if the number of atoms is balanced on both sides of the equation. Balance the reaction of khf2 = f2 + h2 + kf using this chemical equation balancer! Khf2 = k + h2 + f2 is a decomposition reaction where two moles of aqueous potassium bifluoride [khf 2] decomposes into two moles of solid. Khf_2 h_2 + f_2 + kf plan: Balance each equation by inserting coefficients as needed. Your solution’s ready to go! • balance the chemical equation. Construct the equilibrium constant, k, expression for: Parlez de ce logiciel de chimie gratuit à vos amis !
From www.slideserve.com
PPT 第十七章 卤 素 The Halogens PowerPoint Presentation, free download ID Khf2=Kf+H2+F2 Balance the reaction of khf2 = f2 + h2 + kf using this chemical equation balancer! Construct the equilibrium constant, k, expression for: 1 khf 2 = 1 h 2 + 1 kf + 1 f 2 for each element, we check if the number of atoms is balanced on both sides of the equation. • balance the chemical equation.. Khf2=Kf+H2+F2.
From solvedlib.com
Consider the reaction H2(g) + F2(g)2HF(g) Use the sta… SolvedLib Khf2=Kf+H2+F2 1 khf 2 = 1 h 2 + 1 kf + 1 f 2 for each element, we check if the number of atoms is balanced on both sides of the equation. Balance the reaction of khf2 = f2 + h2 + kf using this chemical equation balancer! Khf_2 h_2 + f_2 + kf plan: Parlez de ce logiciel de. Khf2=Kf+H2+F2.
From www.chegg.com
Solved Balance each equation by inserting coefficients as Khf2=Kf+H2+F2 Khf_2 h_2 + f_2 + kf plan: Your solution’s ready to go! Balance each equation by inserting coefficients as needed. Construct the equilibrium constant, k, expression for: • balance the chemical equation. Balance the reaction of khf2 = f2 + h2 + kf using this chemical equation balancer! 1 khf 2 = 1 h 2 + 1 kf + 1. Khf2=Kf+H2+F2.
From www.toppr.com
Select correct answer(I) KF combines with HF to form KHF2 . The Khf2=Kf+H2+F2 Construct the equilibrium constant, k, expression for: 1 khf 2 = 1 h 2 + 1 kf + 1 f 2 for each element, we check if the number of atoms is balanced on both sides of the equation. Parlez de ce logiciel de chimie gratuit à vos amis ! Balance the reaction of khf2 = f2 + h2 +. Khf2=Kf+H2+F2.
From pubs.rsc.org
Divergent synthesis of δvalerolactones and furanones via palladium or Khf2=Kf+H2+F2 Khf2 = k + h2 + f2 is a decomposition reaction where two moles of aqueous potassium bifluoride [khf 2] decomposes into two moles of solid. 1 khf 2 = 1 h 2 + 1 kf + 1 f 2 for each element, we check if the number of atoms is balanced on both sides of the equation. Your solution’s. Khf2=Kf+H2+F2.
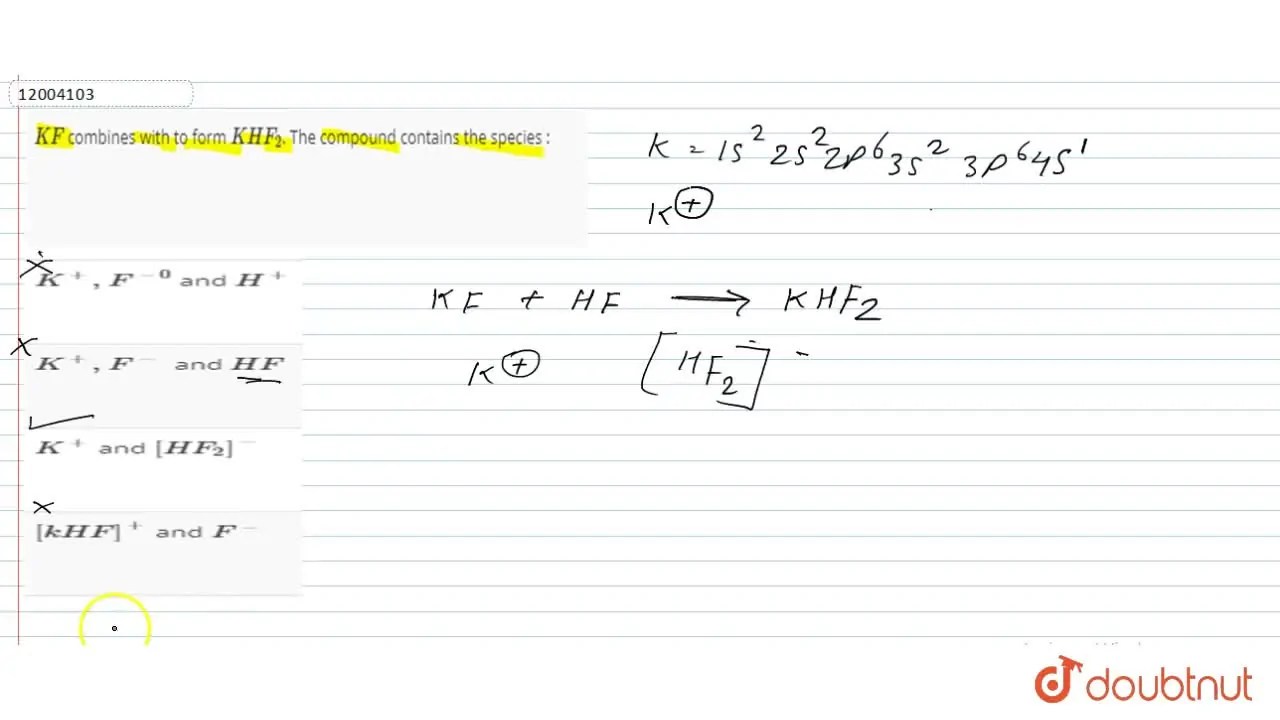
From www.doubtnut.com
KF combination with HF to form KHF(2). The compound contains the speci Khf2=Kf+H2+F2 Construct the equilibrium constant, k, expression for: • balance the chemical equation. Khf2 = k + h2 + f2 is a decomposition reaction where two moles of aqueous potassium bifluoride [khf 2] decomposes into two moles of solid. 1 khf 2 = 1 h 2 + 1 kf + 1 f 2 for each element, we check if the number. Khf2=Kf+H2+F2.
From www.chegg.com
Solved Balance each equation by inserting coefficients as Khf2=Kf+H2+F2 1 khf 2 = 1 h 2 + 1 kf + 1 f 2 for each element, we check if the number of atoms is balanced on both sides of the equation. Khf2 = k + h2 + f2 is a decomposition reaction where two moles of aqueous potassium bifluoride [khf 2] decomposes into two moles of solid. Balance the. Khf2=Kf+H2+F2.
From techiescientist.com
F2 Lewis Structure, Molecular Geometry, Hybridization, Polarity, and MO Khf2=Kf+H2+F2 Khf2 = k + h2 + f2 is a decomposition reaction where two moles of aqueous potassium bifluoride [khf 2] decomposes into two moles of solid. Parlez de ce logiciel de chimie gratuit à vos amis ! Balance the reaction of khf2 = f2 + h2 + kf using this chemical equation balancer! • balance the chemical equation. Construct the. Khf2=Kf+H2+F2.
From www.slideserve.com
PPT Page 34 PowerPoint Presentation, free download ID3172595 Khf2=Kf+H2+F2 Khf2 = k + h2 + f2 is a decomposition reaction where two moles of aqueous potassium bifluoride [khf 2] decomposes into two moles of solid. • balance the chemical equation. Balance each equation by inserting coefficients as needed. 1 khf 2 = 1 h 2 + 1 kf + 1 f 2 for each element, we check if the. Khf2=Kf+H2+F2.
From www.toppr.com
Select correct answer(I) KF combines with HF to form KHF2 . The Khf2=Kf+H2+F2 Khf_2 h_2 + f_2 + kf plan: Balance each equation by inserting coefficients as needed. • balance the chemical equation. Construct the equilibrium constant, k, expression for: 1 khf 2 = 1 h 2 + 1 kf + 1 f 2 for each element, we check if the number of atoms is balanced on both sides of the equation. Khf2. Khf2=Kf+H2+F2.
From www.chegg.com
Solved ment Score 299/2700 on 4 of 27 Balance each equation Khf2=Kf+H2+F2 Balance the reaction of khf2 = f2 + h2 + kf using this chemical equation balancer! Khf2 = k + h2 + f2 is a decomposition reaction where two moles of aqueous potassium bifluoride [khf 2] decomposes into two moles of solid. Balance each equation by inserting coefficients as needed. • balance the chemical equation. 1 khf 2 = 1. Khf2=Kf+H2+F2.
From askfilo.com
KF combines with HF to form KHF2 . The ions present are Filo Khf2=Kf+H2+F2 Construct the equilibrium constant, k, expression for: Your solution’s ready to go! Parlez de ce logiciel de chimie gratuit à vos amis ! • balance the chemical equation. Balance each equation by inserting coefficients as needed. Khf_2 h_2 + f_2 + kf plan: 1 khf 2 = 1 h 2 + 1 kf + 1 f 2 for each element,. Khf2=Kf+H2+F2.
From www.toppr.com
Select correct answer(I) KF combines with HF to form KHF2 . The Khf2=Kf+H2+F2 Khf2 = k + h2 + f2 is a decomposition reaction where two moles of aqueous potassium bifluoride [khf 2] decomposes into two moles of solid. Parlez de ce logiciel de chimie gratuit à vos amis ! Khf_2 h_2 + f_2 + kf plan: Balance each equation by inserting coefficients as needed. Balance the reaction of khf2 = f2 +. Khf2=Kf+H2+F2.
From slideplayer.com
Bond Energy and Reactions ppt download Khf2=Kf+H2+F2 Khf2 = k + h2 + f2 is a decomposition reaction where two moles of aqueous potassium bifluoride [khf 2] decomposes into two moles of solid. Balance the reaction of khf2 = f2 + h2 + kf using this chemical equation balancer! Khf_2 h_2 + f_2 + kf plan: 1 khf 2 = 1 h 2 + 1 kf +. Khf2=Kf+H2+F2.
From www.youtube.com
Balancing the Equation KHF2 = KF + H2 + F2 (and Type of Reaction) YouTube Khf2=Kf+H2+F2 Balance each equation by inserting coefficients as needed. Construct the equilibrium constant, k, expression for: 1 khf 2 = 1 h 2 + 1 kf + 1 f 2 for each element, we check if the number of atoms is balanced on both sides of the equation. Parlez de ce logiciel de chimie gratuit à vos amis ! Balance the. Khf2=Kf+H2+F2.
From znanija.com
11. Закінчити рівняння реакцій Li + O2 = BaO + H2O = H2 + F2 поможіть Khf2=Kf+H2+F2 Balance each equation by inserting coefficients as needed. Construct the equilibrium constant, k, expression for: Parlez de ce logiciel de chimie gratuit à vos amis ! Khf2 = k + h2 + f2 is a decomposition reaction where two moles of aqueous potassium bifluoride [khf 2] decomposes into two moles of solid. Your solution’s ready to go! • balance the. Khf2=Kf+H2+F2.
From payhip.com
The F2, H2, G2 System 2.0 For Finding Customers & Binary Partners Khf2=Kf+H2+F2 Parlez de ce logiciel de chimie gratuit à vos amis ! Khf_2 h_2 + f_2 + kf plan: Khf2 = k + h2 + f2 is a decomposition reaction where two moles of aqueous potassium bifluoride [khf 2] decomposes into two moles of solid. Your solution’s ready to go! Balance the reaction of khf2 = f2 + h2 + kf. Khf2=Kf+H2+F2.
From slideplayer.info
Fluor (F) Dan Pembuatan Halogen. ppt download Khf2=Kf+H2+F2 1 khf 2 = 1 h 2 + 1 kf + 1 f 2 for each element, we check if the number of atoms is balanced on both sides of the equation. Khf2 = k + h2 + f2 is a decomposition reaction where two moles of aqueous potassium bifluoride [khf 2] decomposes into two moles of solid. Parlez de. Khf2=Kf+H2+F2.
From www.chegg.com
Solved Question 2 of 17> Balance each equation by inserting Khf2=Kf+H2+F2 Khf_2 h_2 + f_2 + kf plan: Parlez de ce logiciel de chimie gratuit à vos amis ! Your solution’s ready to go! Construct the equilibrium constant, k, expression for: Khf2 = k + h2 + f2 is a decomposition reaction where two moles of aqueous potassium bifluoride [khf 2] decomposes into two moles of solid. Balance each equation by. Khf2=Kf+H2+F2.
From www.numerade.com
SOLVED Consider the following equilibrium 2HF(g)⇌H2(g)+F2(g) At Khf2=Kf+H2+F2 • balance the chemical equation. Your solution’s ready to go! Balance each equation by inserting coefficients as needed. Khf2 = k + h2 + f2 is a decomposition reaction where two moles of aqueous potassium bifluoride [khf 2] decomposes into two moles of solid. Balance the reaction of khf2 = f2 + h2 + kf using this chemical equation balancer!. Khf2=Kf+H2+F2.
From www.numerade.com
SOLVEDKF combines with HF to form KHF2. The compound contains the Khf2=Kf+H2+F2 Construct the equilibrium constant, k, expression for: Your solution’s ready to go! 1 khf 2 = 1 h 2 + 1 kf + 1 f 2 for each element, we check if the number of atoms is balanced on both sides of the equation. Khf2 = k + h2 + f2 is a decomposition reaction where two moles of aqueous. Khf2=Kf+H2+F2.
From toptailieu.vn
2K + 2HF → 2KF + H2 K ra KF K ra H2 HF ra KF HF ra H2 Khf2=Kf+H2+F2 • balance the chemical equation. Balance each equation by inserting coefficients as needed. Construct the equilibrium constant, k, expression for: Parlez de ce logiciel de chimie gratuit à vos amis ! Khf2 = k + h2 + f2 is a decomposition reaction where two moles of aqueous potassium bifluoride [khf 2] decomposes into two moles of solid. 1 khf 2. Khf2=Kf+H2+F2.
From www.toppr.com
KF combines with HF to form KHF2 . The compound contains the species Khf2=Kf+H2+F2 • balance the chemical equation. 1 khf 2 = 1 h 2 + 1 kf + 1 f 2 for each element, we check if the number of atoms is balanced on both sides of the equation. Khf2 = k + h2 + f2 is a decomposition reaction where two moles of aqueous potassium bifluoride [khf 2] decomposes into two. Khf2=Kf+H2+F2.
From www.chegg.com
Solved Balance each equation by inserting coefficients as Khf2=Kf+H2+F2 Construct the equilibrium constant, k, expression for: • balance the chemical equation. Your solution’s ready to go! Balance the reaction of khf2 = f2 + h2 + kf using this chemical equation balancer! Khf_2 h_2 + f_2 + kf plan: Khf2 = k + h2 + f2 is a decomposition reaction where two moles of aqueous potassium bifluoride [khf 2]. Khf2=Kf+H2+F2.
From www.myshared.ru
Презентация на тему "Обучающий тест «Виды химической связи». 1.Связь Khf2=Kf+H2+F2 1 khf 2 = 1 h 2 + 1 kf + 1 f 2 for each element, we check if the number of atoms is balanced on both sides of the equation. Khf_2 h_2 + f_2 + kf plan: Construct the equilibrium constant, k, expression for: Balance the reaction of khf2 = f2 + h2 + kf using this chemical. Khf2=Kf+H2+F2.
From www.doubtnut.com
KF combines with to form KHF2. The compound contains the species Khf2=Kf+H2+F2 Khf_2 h_2 + f_2 + kf plan: Parlez de ce logiciel de chimie gratuit à vos amis ! Construct the equilibrium constant, k, expression for: Your solution’s ready to go! • balance the chemical equation. 1 khf 2 = 1 h 2 + 1 kf + 1 f 2 for each element, we check if the number of atoms is. Khf2=Kf+H2+F2.
From www.toppr.com
Select correct answer(I) KF combines with HF to form KHF2 . The Khf2=Kf+H2+F2 Construct the equilibrium constant, k, expression for: Khf2 = k + h2 + f2 is a decomposition reaction where two moles of aqueous potassium bifluoride [khf 2] decomposes into two moles of solid. Balance the reaction of khf2 = f2 + h2 + kf using this chemical equation balancer! Balance each equation by inserting coefficients as needed. Khf_2 h_2 +. Khf2=Kf+H2+F2.
From znanija.org
Закончить схему реакций а) h2+f2> б) h2+na> в) fe+h2so4> привести Khf2=Kf+H2+F2 Your solution’s ready to go! Khf_2 h_2 + f_2 + kf plan: Balance the reaction of khf2 = f2 + h2 + kf using this chemical equation balancer! Parlez de ce logiciel de chimie gratuit à vos amis ! Balance each equation by inserting coefficients as needed. Khf2 = k + h2 + f2 is a decomposition reaction where two. Khf2=Kf+H2+F2.
From www.studocu.com
Redox Reactions Redox Illustration H2+F2 2HF Oxidation (electron loss Khf2=Kf+H2+F2 • balance the chemical equation. Khf_2 h_2 + f_2 + kf plan: Balance each equation by inserting coefficients as needed. Your solution’s ready to go! Construct the equilibrium constant, k, expression for: Parlez de ce logiciel de chimie gratuit à vos amis ! 1 khf 2 = 1 h 2 + 1 kf + 1 f 2 for each element,. Khf2=Kf+H2+F2.
From slideplayer.com
Integrated rate laws zero order t1/2 = [A]0 2k rate = k. ppt download Khf2=Kf+H2+F2 Balance each equation by inserting coefficients as needed. Balance the reaction of khf2 = f2 + h2 + kf using this chemical equation balancer! Parlez de ce logiciel de chimie gratuit à vos amis ! Khf2 = k + h2 + f2 is a decomposition reaction where two moles of aqueous potassium bifluoride [khf 2] decomposes into two moles of. Khf2=Kf+H2+F2.
From www.slideserve.com
PPT HALOGENOS GRUPO 17 PowerPoint Presentation, free download ID Khf2=Kf+H2+F2 • balance the chemical equation. Your solution’s ready to go! Khf_2 h_2 + f_2 + kf plan: 1 khf 2 = 1 h 2 + 1 kf + 1 f 2 for each element, we check if the number of atoms is balanced on both sides of the equation. Khf2 = k + h2 + f2 is a decomposition reaction. Khf2=Kf+H2+F2.
From www.toppr.com
Select correct answer(I) KF combines with HF to form KHF2 . The Khf2=Kf+H2+F2 Construct the equilibrium constant, k, expression for: Parlez de ce logiciel de chimie gratuit à vos amis ! Your solution’s ready to go! Balance each equation by inserting coefficients as needed. • balance the chemical equation. Khf_2 h_2 + f_2 + kf plan: 1 khf 2 = 1 h 2 + 1 kf + 1 f 2 for each element,. Khf2=Kf+H2+F2.
From www.toppr.com
Select correct answer(I) KF combines with HF to form KHF2 . The Khf2=Kf+H2+F2 Balance each equation by inserting coefficients as needed. Khf_2 h_2 + f_2 + kf plan: Construct the equilibrium constant, k, expression for: Balance the reaction of khf2 = f2 + h2 + kf using this chemical equation balancer! • balance the chemical equation. Khf2 = k + h2 + f2 is a decomposition reaction where two moles of aqueous potassium. Khf2=Kf+H2+F2.
From www.numerade.com
SOLVED From the following enthalpies of reaction H2 (g) + F2 (g) â Khf2=Kf+H2+F2 Khf_2 h_2 + f_2 + kf plan: Construct the equilibrium constant, k, expression for: Your solution’s ready to go! Khf2 = k + h2 + f2 is a decomposition reaction where two moles of aqueous potassium bifluoride [khf 2] decomposes into two moles of solid. 1 khf 2 = 1 h 2 + 1 kf + 1 f 2 for. Khf2=Kf+H2+F2.
From www.slideserve.com
PPT HALOGENOS GRUPO 17 PowerPoint Presentation, free download ID Khf2=Kf+H2+F2 Balance each equation by inserting coefficients as needed. 1 khf 2 = 1 h 2 + 1 kf + 1 f 2 for each element, we check if the number of atoms is balanced on both sides of the equation. Khf2 = k + h2 + f2 is a decomposition reaction where two moles of aqueous potassium bifluoride [khf 2]. Khf2=Kf+H2+F2.