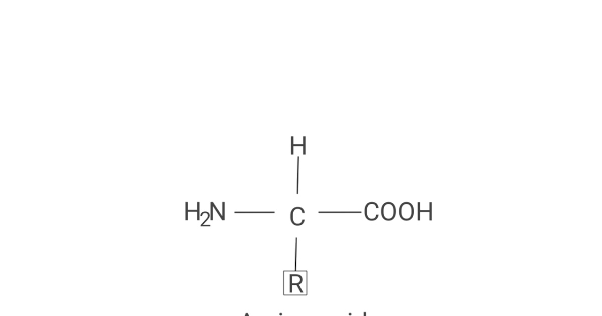
Proteins Are Linear Polymers Of . the ensemble of formations and folds in a single linear chain of amino acids — sometimes called a polypeptide — constitutes the tertiary structure of a. they are all, however, amino acid polymers arranged in a linear sequence (also referred to as a “peptide”). proteins (a polymer) are macromolecules composed of amino acid subunits (the monomers ). each cell in a living system may contain thousands of proteins, each with a unique function. all proteins, whether from the most ancient lines of bacteria or from the most complex forms of life, are constructed from the. These amino acids are covalently attached to one another.
from www.slideserve.com
all proteins, whether from the most ancient lines of bacteria or from the most complex forms of life, are constructed from the. they are all, however, amino acid polymers arranged in a linear sequence (also referred to as a “peptide”). each cell in a living system may contain thousands of proteins, each with a unique function. proteins (a polymer) are macromolecules composed of amino acid subunits (the monomers ). the ensemble of formations and folds in a single linear chain of amino acids — sometimes called a polypeptide — constitutes the tertiary structure of a. These amino acids are covalently attached to one another.
PPT Fundamentals of Protein Structure PowerPoint Presentation, free
Proteins Are Linear Polymers Of the ensemble of formations and folds in a single linear chain of amino acids — sometimes called a polypeptide — constitutes the tertiary structure of a. each cell in a living system may contain thousands of proteins, each with a unique function. the ensemble of formations and folds in a single linear chain of amino acids — sometimes called a polypeptide — constitutes the tertiary structure of a. they are all, however, amino acid polymers arranged in a linear sequence (also referred to as a “peptide”). These amino acids are covalently attached to one another. all proteins, whether from the most ancient lines of bacteria or from the most complex forms of life, are constructed from the. proteins (a polymer) are macromolecules composed of amino acid subunits (the monomers ).
From www.chegg.com
Solved Proteins are linear polymers formed by 20 different Proteins Are Linear Polymers Of all proteins, whether from the most ancient lines of bacteria or from the most complex forms of life, are constructed from the. they are all, however, amino acid polymers arranged in a linear sequence (also referred to as a “peptide”). each cell in a living system may contain thousands of proteins, each with a unique function. . Proteins Are Linear Polymers Of.
From stock.adobe.com
Stockvector The four basic polymer structures are linear, branched Proteins Are Linear Polymers Of they are all, however, amino acid polymers arranged in a linear sequence (also referred to as a “peptide”). These amino acids are covalently attached to one another. proteins (a polymer) are macromolecules composed of amino acid subunits (the monomers ). each cell in a living system may contain thousands of proteins, each with a unique function. . Proteins Are Linear Polymers Of.
From www.researchgate.net
(A) Overview of different biopolymers including synthetic... Download Proteins Are Linear Polymers Of all proteins, whether from the most ancient lines of bacteria or from the most complex forms of life, are constructed from the. These amino acids are covalently attached to one another. the ensemble of formations and folds in a single linear chain of amino acids — sometimes called a polypeptide — constitutes the tertiary structure of a. . Proteins Are Linear Polymers Of.
From guides.hostos.cuny.edu
Chapter 13 Organic Chemistry CHE 105/110 Introduction to Proteins Are Linear Polymers Of each cell in a living system may contain thousands of proteins, each with a unique function. the ensemble of formations and folds in a single linear chain of amino acids — sometimes called a polypeptide — constitutes the tertiary structure of a. they are all, however, amino acid polymers arranged in a linear sequence (also referred to. Proteins Are Linear Polymers Of.
From bio.libretexts.org
3.4 The Structure of Proteins Primary Structure Biology LibreTexts Proteins Are Linear Polymers Of they are all, however, amino acid polymers arranged in a linear sequence (also referred to as a “peptide”). the ensemble of formations and folds in a single linear chain of amino acids — sometimes called a polypeptide — constitutes the tertiary structure of a. all proteins, whether from the most ancient lines of bacteria or from the. Proteins Are Linear Polymers Of.
From www.mdpi.com
Polymers Free FullText ProteinPolyelectrolyte Complexes and Proteins Are Linear Polymers Of each cell in a living system may contain thousands of proteins, each with a unique function. These amino acids are covalently attached to one another. all proteins, whether from the most ancient lines of bacteria or from the most complex forms of life, are constructed from the. proteins (a polymer) are macromolecules composed of amino acid subunits. Proteins Are Linear Polymers Of.
From www.studocu.com
Topic 3 Protein Structure Protein Structure and Analysis Peptides and Proteins Are Linear Polymers Of each cell in a living system may contain thousands of proteins, each with a unique function. the ensemble of formations and folds in a single linear chain of amino acids — sometimes called a polypeptide — constitutes the tertiary structure of a. all proteins, whether from the most ancient lines of bacteria or from the most complex. Proteins Are Linear Polymers Of.
From www.researchgate.net
Scheme of two cases of polymer interaction with the protein polycation Proteins Are Linear Polymers Of proteins (a polymer) are macromolecules composed of amino acid subunits (the monomers ). all proteins, whether from the most ancient lines of bacteria or from the most complex forms of life, are constructed from the. These amino acids are covalently attached to one another. the ensemble of formations and folds in a single linear chain of amino. Proteins Are Linear Polymers Of.
From www.mdpi.com
Polymers Free FullText Polymeric Nanostructures Containing Proteins Are Linear Polymers Of all proteins, whether from the most ancient lines of bacteria or from the most complex forms of life, are constructed from the. each cell in a living system may contain thousands of proteins, each with a unique function. they are all, however, amino acid polymers arranged in a linear sequence (also referred to as a “peptide”). . Proteins Are Linear Polymers Of.
From www.mdpi.com
Polymers Free FullText Milk Protein Polymer and Its Application in Proteins Are Linear Polymers Of they are all, however, amino acid polymers arranged in a linear sequence (also referred to as a “peptide”). These amino acids are covalently attached to one another. the ensemble of formations and folds in a single linear chain of amino acids — sometimes called a polypeptide — constitutes the tertiary structure of a. all proteins, whether from. Proteins Are Linear Polymers Of.
From www.onlinemathlearning.com
Polymers IGCSE Chemistry (solutions, examples, worksheets, videos) Proteins Are Linear Polymers Of These amino acids are covalently attached to one another. the ensemble of formations and folds in a single linear chain of amino acids — sometimes called a polypeptide — constitutes the tertiary structure of a. they are all, however, amino acid polymers arranged in a linear sequence (also referred to as a “peptide”). each cell in a. Proteins Are Linear Polymers Of.
From www.mdpi.com
Polymers Free FullText CoarseGrained Models for ProteinCell Proteins Are Linear Polymers Of all proteins, whether from the most ancient lines of bacteria or from the most complex forms of life, are constructed from the. proteins (a polymer) are macromolecules composed of amino acid subunits (the monomers ). These amino acids are covalently attached to one another. they are all, however, amino acid polymers arranged in a linear sequence (also. Proteins Are Linear Polymers Of.
From www.slideserve.com
PPT Resource, Materials and Environment PowerPoint Presentation ID Proteins Are Linear Polymers Of they are all, however, amino acid polymers arranged in a linear sequence (also referred to as a “peptide”). proteins (a polymer) are macromolecules composed of amino acid subunits (the monomers ). each cell in a living system may contain thousands of proteins, each with a unique function. all proteins, whether from the most ancient lines of. Proteins Are Linear Polymers Of.
From studychronicled.z21.web.core.windows.net
Proteins Are Polymers Of Amino Acids Proteins Are Linear Polymers Of These amino acids are covalently attached to one another. each cell in a living system may contain thousands of proteins, each with a unique function. they are all, however, amino acid polymers arranged in a linear sequence (also referred to as a “peptide”). proteins (a polymer) are macromolecules composed of amino acid subunits (the monomers ). . Proteins Are Linear Polymers Of.
From dxohoishp.blob.core.windows.net
Coupling Link Meaning at Gussie Moore blog Proteins Are Linear Polymers Of the ensemble of formations and folds in a single linear chain of amino acids — sometimes called a polypeptide — constitutes the tertiary structure of a. These amino acids are covalently attached to one another. proteins (a polymer) are macromolecules composed of amino acid subunits (the monomers ). each cell in a living system may contain thousands. Proteins Are Linear Polymers Of.
From www.vecteezy.com
Biochemistry diagram present structure of polysaccharide such as starch Proteins Are Linear Polymers Of each cell in a living system may contain thousands of proteins, each with a unique function. proteins (a polymer) are macromolecules composed of amino acid subunits (the monomers ). the ensemble of formations and folds in a single linear chain of amino acids — sometimes called a polypeptide — constitutes the tertiary structure of a. all. Proteins Are Linear Polymers Of.
From achs-prod.acs.org
ProteinPolymer Conjugates Synthesized Using WaterSoluble Azlactone Proteins Are Linear Polymers Of all proteins, whether from the most ancient lines of bacteria or from the most complex forms of life, are constructed from the. the ensemble of formations and folds in a single linear chain of amino acids — sometimes called a polypeptide — constitutes the tertiary structure of a. proteins (a polymer) are macromolecules composed of amino acid. Proteins Are Linear Polymers Of.
From www.mdpi.com
Polymers Free FullText SelfHealing Behavior of Polymer/Protein Proteins Are Linear Polymers Of These amino acids are covalently attached to one another. each cell in a living system may contain thousands of proteins, each with a unique function. the ensemble of formations and folds in a single linear chain of amino acids — sometimes called a polypeptide — constitutes the tertiary structure of a. proteins (a polymer) are macromolecules composed. Proteins Are Linear Polymers Of.
From www.peoi.org
PEOI Introductory Chemistry Proteins Are Linear Polymers Of each cell in a living system may contain thousands of proteins, each with a unique function. the ensemble of formations and folds in a single linear chain of amino acids — sometimes called a polypeptide — constitutes the tertiary structure of a. These amino acids are covalently attached to one another. all proteins, whether from the most. Proteins Are Linear Polymers Of.
From www.sliderbase.com
Polymers Presentation Chemistry Proteins Are Linear Polymers Of they are all, however, amino acid polymers arranged in a linear sequence (also referred to as a “peptide”). the ensemble of formations and folds in a single linear chain of amino acids — sometimes called a polypeptide — constitutes the tertiary structure of a. proteins (a polymer) are macromolecules composed of amino acid subunits (the monomers ).. Proteins Are Linear Polymers Of.
From www.livescience.com
What Is a Polymer? Live Science Proteins Are Linear Polymers Of all proteins, whether from the most ancient lines of bacteria or from the most complex forms of life, are constructed from the. they are all, however, amino acid polymers arranged in a linear sequence (also referred to as a “peptide”). each cell in a living system may contain thousands of proteins, each with a unique function. . Proteins Are Linear Polymers Of.
From polymersinchemistry.blogspot.com
Natural polymers (proteins) Proteins Are Linear Polymers Of they are all, however, amino acid polymers arranged in a linear sequence (also referred to as a “peptide”). proteins (a polymer) are macromolecules composed of amino acid subunits (the monomers ). the ensemble of formations and folds in a single linear chain of amino acids — sometimes called a polypeptide — constitutes the tertiary structure of a.. Proteins Are Linear Polymers Of.
From www.vecteezy.com
Types of Protein Structure. Proteins are biological polymers composed Proteins Are Linear Polymers Of all proteins, whether from the most ancient lines of bacteria or from the most complex forms of life, are constructed from the. These amino acids are covalently attached to one another. proteins (a polymer) are macromolecules composed of amino acid subunits (the monomers ). each cell in a living system may contain thousands of proteins, each with. Proteins Are Linear Polymers Of.
From www.savemyexams.co.uk
Proteins (11.3.4) CIE IGCSE Chemistry Revision Notes 2023 Save My Exams Proteins Are Linear Polymers Of proteins (a polymer) are macromolecules composed of amino acid subunits (the monomers ). all proteins, whether from the most ancient lines of bacteria or from the most complex forms of life, are constructed from the. the ensemble of formations and folds in a single linear chain of amino acids — sometimes called a polypeptide — constitutes the. Proteins Are Linear Polymers Of.
From www.alamy.com
Biological polymers hires stock photography and images Alamy Proteins Are Linear Polymers Of the ensemble of formations and folds in a single linear chain of amino acids — sometimes called a polypeptide — constitutes the tertiary structure of a. proteins (a polymer) are macromolecules composed of amino acid subunits (the monomers ). These amino acids are covalently attached to one another. all proteins, whether from the most ancient lines of. Proteins Are Linear Polymers Of.
From ar.inspiredpencil.com
Proteins Polymers Proteins Are Linear Polymers Of proteins (a polymer) are macromolecules composed of amino acid subunits (the monomers ). the ensemble of formations and folds in a single linear chain of amino acids — sometimes called a polypeptide — constitutes the tertiary structure of a. each cell in a living system may contain thousands of proteins, each with a unique function. they. Proteins Are Linear Polymers Of.
From www.slideserve.com
PPT Fundamentals of Protein Structure PowerPoint Presentation, free Proteins Are Linear Polymers Of the ensemble of formations and folds in a single linear chain of amino acids — sometimes called a polypeptide — constitutes the tertiary structure of a. proteins (a polymer) are macromolecules composed of amino acid subunits (the monomers ). each cell in a living system may contain thousands of proteins, each with a unique function. These amino. Proteins Are Linear Polymers Of.
From www.slideserve.com
PPT Macromolecules PowerPoint Presentation, free download ID6250687 Proteins Are Linear Polymers Of proteins (a polymer) are macromolecules composed of amino acid subunits (the monomers ). These amino acids are covalently attached to one another. each cell in a living system may contain thousands of proteins, each with a unique function. the ensemble of formations and folds in a single linear chain of amino acids — sometimes called a polypeptide. Proteins Are Linear Polymers Of.
From webmis.highland.cc.il.us
Polymeric Solids Proteins Are Linear Polymers Of all proteins, whether from the most ancient lines of bacteria or from the most complex forms of life, are constructed from the. These amino acids are covalently attached to one another. they are all, however, amino acid polymers arranged in a linear sequence (also referred to as a “peptide”). the ensemble of formations and folds in a. Proteins Are Linear Polymers Of.
From ar.inspiredpencil.com
Proteins Polymers Proteins Are Linear Polymers Of each cell in a living system may contain thousands of proteins, each with a unique function. the ensemble of formations and folds in a single linear chain of amino acids — sometimes called a polypeptide — constitutes the tertiary structure of a. all proteins, whether from the most ancient lines of bacteria or from the most complex. Proteins Are Linear Polymers Of.
From www.sliderbase.com
Polymers Presentation Chemistry Proteins Are Linear Polymers Of they are all, however, amino acid polymers arranged in a linear sequence (also referred to as a “peptide”). proteins (a polymer) are macromolecules composed of amino acid subunits (the monomers ). all proteins, whether from the most ancient lines of bacteria or from the most complex forms of life, are constructed from the. the ensemble of. Proteins Are Linear Polymers Of.
From www.mdpi.com
Polymers Free FullText ProteinPolysaccharide Composite Materials Proteins Are Linear Polymers Of These amino acids are covalently attached to one another. proteins (a polymer) are macromolecules composed of amino acid subunits (the monomers ). they are all, however, amino acid polymers arranged in a linear sequence (also referred to as a “peptide”). the ensemble of formations and folds in a single linear chain of amino acids — sometimes called. Proteins Are Linear Polymers Of.
From vcresearch.berkeley.edu
New center receives 20 million to revolutionize the chemistry of Proteins Are Linear Polymers Of These amino acids are covalently attached to one another. the ensemble of formations and folds in a single linear chain of amino acids — sometimes called a polypeptide — constitutes the tertiary structure of a. all proteins, whether from the most ancient lines of bacteria or from the most complex forms of life, are constructed from the. . Proteins Are Linear Polymers Of.
From www.slideserve.com
PPT Proteins are polymers of amino acids PowerPoint Presentation Proteins Are Linear Polymers Of These amino acids are covalently attached to one another. the ensemble of formations and folds in a single linear chain of amino acids — sometimes called a polypeptide — constitutes the tertiary structure of a. proteins (a polymer) are macromolecules composed of amino acid subunits (the monomers ). each cell in a living system may contain thousands. Proteins Are Linear Polymers Of.
From www.slideserve.com
PPT Monomers and Polymers PowerPoint Presentation, free download ID Proteins Are Linear Polymers Of they are all, however, amino acid polymers arranged in a linear sequence (also referred to as a “peptide”). each cell in a living system may contain thousands of proteins, each with a unique function. all proteins, whether from the most ancient lines of bacteria or from the most complex forms of life, are constructed from the. . Proteins Are Linear Polymers Of.