Orange Juice Drinking Meme . This is guy drinking orange juice meme (original) by vasile ares on vimeo, the home for high. Share the best gifs now >>> Press the ← and → keys to navigate the gallery, 'g' to view the gallery, or 'r'. The perfect orange juice meme orange juice drinking animated gif for your conversation. Discover and share the best gifs. Find the gifs, clips, and stickers that make your conversations more positive, more expressive, and more you. With tenor, maker of gif keyboard, add popular orange juice animated gifs to your conversations. Hope you guys enjoyed make sure to like and subscribe if you want to anyways bye(: Watch 'guy drinking orange juice meme' videos on tiktok customized just for you.
from imgflip.com
Watch 'guy drinking orange juice meme' videos on tiktok customized just for you. Discover and share the best gifs. Hope you guys enjoyed make sure to like and subscribe if you want to anyways bye(: This is guy drinking orange juice meme (original) by vasile ares on vimeo, the home for high. The perfect orange juice meme orange juice drinking animated gif for your conversation. With tenor, maker of gif keyboard, add popular orange juice animated gifs to your conversations. Press the ← and → keys to navigate the gallery, 'g' to view the gallery, or 'r'. Share the best gifs now >>> Find the gifs, clips, and stickers that make your conversations more positive, more expressive, and more you.
Orange juice drinkers belike Imgflip
Orange Juice Drinking Meme The perfect orange juice meme orange juice drinking animated gif for your conversation. Press the ← and → keys to navigate the gallery, 'g' to view the gallery, or 'r'. Watch 'guy drinking orange juice meme' videos on tiktok customized just for you. Hope you guys enjoyed make sure to like and subscribe if you want to anyways bye(: Discover and share the best gifs. Find the gifs, clips, and stickers that make your conversations more positive, more expressive, and more you. Share the best gifs now >>> This is guy drinking orange juice meme (original) by vasile ares on vimeo, the home for high. With tenor, maker of gif keyboard, add popular orange juice animated gifs to your conversations. The perfect orange juice meme orange juice drinking animated gif for your conversation.
From www.ebaumsworld.com
43 Relatable Memes That Are Really Hard To Argue With Gallery eBaum Orange Juice Drinking Meme The perfect orange juice meme orange juice drinking animated gif for your conversation. With tenor, maker of gif keyboard, add popular orange juice animated gifs to your conversations. This is guy drinking orange juice meme (original) by vasile ares on vimeo, the home for high. Watch 'guy drinking orange juice meme' videos on tiktok customized just for you. Press the. Orange Juice Drinking Meme.
From tuna.voicemod.net
Man moans after drinking orange juice meme by JustHero Orange Juice Drinking Meme The perfect orange juice meme orange juice drinking animated gif for your conversation. Discover and share the best gifs. This is guy drinking orange juice meme (original) by vasile ares on vimeo, the home for high. With tenor, maker of gif keyboard, add popular orange juice animated gifs to your conversations. Watch 'guy drinking orange juice meme' videos on tiktok. Orange Juice Drinking Meme.
From boxofpuns.com
40+ Hilarious Orange Puns That Are So Sweet and Juicy Box of Puns Orange Juice Drinking Meme Find the gifs, clips, and stickers that make your conversations more positive, more expressive, and more you. Press the ← and → keys to navigate the gallery, 'g' to view the gallery, or 'r'. With tenor, maker of gif keyboard, add popular orange juice animated gifs to your conversations. Watch 'guy drinking orange juice meme' videos on tiktok customized just. Orange Juice Drinking Meme.
From es.memedroid.com
I love orange juice Meme subido por Bubbared ) Memedroid Orange Juice Drinking Meme Discover and share the best gifs. Watch 'guy drinking orange juice meme' videos on tiktok customized just for you. Share the best gifs now >>> Find the gifs, clips, and stickers that make your conversations more positive, more expressive, and more you. The perfect orange juice meme orange juice drinking animated gif for your conversation. This is guy drinking orange. Orange Juice Drinking Meme.
From www.digitalmomblog.com
50 Hilarious Drinking Memes For Your Enjoyment Orange Juice Drinking Meme Share the best gifs now >>> This is guy drinking orange juice meme (original) by vasile ares on vimeo, the home for high. Discover and share the best gifs. The perfect orange juice meme orange juice drinking animated gif for your conversation. Hope you guys enjoyed make sure to like and subscribe if you want to anyways bye(: Watch 'guy. Orange Juice Drinking Meme.
From gioposdec.blob.core.windows.net
Drink Orange Juice Flu at John Towns blog Orange Juice Drinking Meme With tenor, maker of gif keyboard, add popular orange juice animated gifs to your conversations. The perfect orange juice meme orange juice drinking animated gif for your conversation. Find the gifs, clips, and stickers that make your conversations more positive, more expressive, and more you. Share the best gifs now >>> Hope you guys enjoyed make sure to like and. Orange Juice Drinking Meme.
From imgflip.com
who does this? Imgflip Orange Juice Drinking Meme Share the best gifs now >>> This is guy drinking orange juice meme (original) by vasile ares on vimeo, the home for high. With tenor, maker of gif keyboard, add popular orange juice animated gifs to your conversations. Discover and share the best gifs. Press the ← and → keys to navigate the gallery, 'g' to view the gallery, or. Orange Juice Drinking Meme.
From www.youtube.com
Bald brazilian man drinking orange juice meme YouTube Orange Juice Drinking Meme This is guy drinking orange juice meme (original) by vasile ares on vimeo, the home for high. With tenor, maker of gif keyboard, add popular orange juice animated gifs to your conversations. Press the ← and → keys to navigate the gallery, 'g' to view the gallery, or 'r'. The perfect orange juice meme orange juice drinking animated gif for. Orange Juice Drinking Meme.
From www.dreamstime.com
Child Drinking Orange Juice Stock Image Image of vitamin, object Orange Juice Drinking Meme Share the best gifs now >>> Discover and share the best gifs. Find the gifs, clips, and stickers that make your conversations more positive, more expressive, and more you. The perfect orange juice meme orange juice drinking animated gif for your conversation. This is guy drinking orange juice meme (original) by vasile ares on vimeo, the home for high. Press. Orange Juice Drinking Meme.
From www.youtube.com
bald guy drinking orange juice, but it's distorted [REVERSE] YouTube Orange Juice Drinking Meme The perfect orange juice meme orange juice drinking animated gif for your conversation. Hope you guys enjoyed make sure to like and subscribe if you want to anyways bye(: This is guy drinking orange juice meme (original) by vasile ares on vimeo, the home for high. With tenor, maker of gif keyboard, add popular orange juice animated gifs to your. Orange Juice Drinking Meme.
From imgflip.com
Sunkist via Russia Imgflip Orange Juice Drinking Meme The perfect orange juice meme orange juice drinking animated gif for your conversation. Hope you guys enjoyed make sure to like and subscribe if you want to anyways bye(: This is guy drinking orange juice meme (original) by vasile ares on vimeo, the home for high. Share the best gifs now >>> Press the ← and → keys to navigate. Orange Juice Drinking Meme.
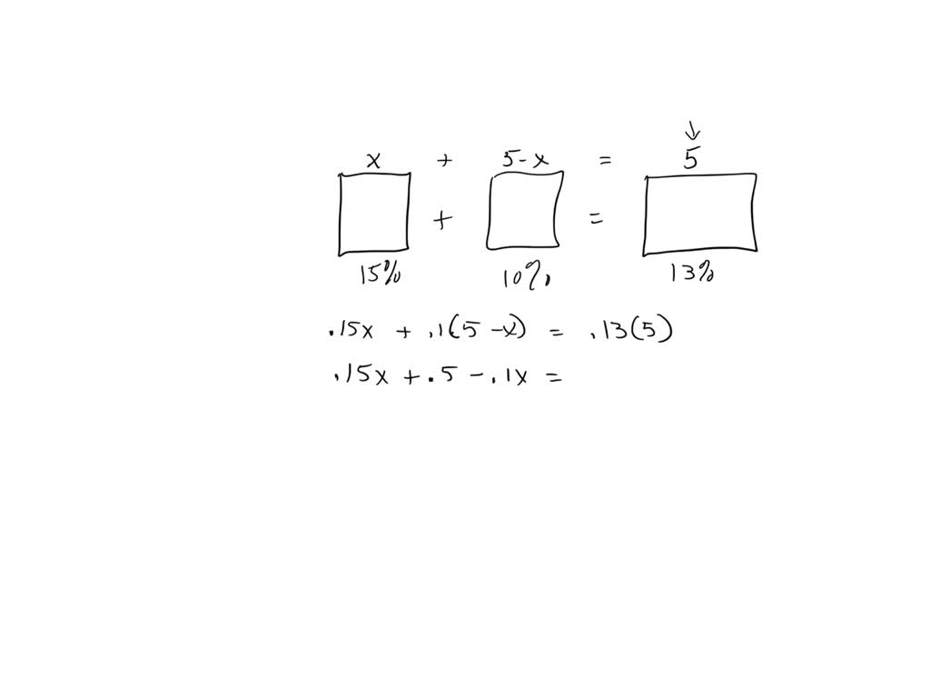
From www.numerade.com
SOLVED How much of a(n) 90 orange juice drink must be mixed with 17 Orange Juice Drinking Meme The perfect orange juice meme orange juice drinking animated gif for your conversation. Hope you guys enjoyed make sure to like and subscribe if you want to anyways bye(: This is guy drinking orange juice meme (original) by vasile ares on vimeo, the home for high. Watch 'guy drinking orange juice meme' videos on tiktok customized just for you. Share. Orange Juice Drinking Meme.
From www.pinterest.com
*sips orange juice* Spongebob memes, Cartoon memes, Cute memes Orange Juice Drinking Meme Discover and share the best gifs. The perfect orange juice meme orange juice drinking animated gif for your conversation. Hope you guys enjoyed make sure to like and subscribe if you want to anyways bye(: Watch 'guy drinking orange juice meme' videos on tiktok customized just for you. Find the gifs, clips, and stickers that make your conversations more positive,. Orange Juice Drinking Meme.
From www.reddit.com
The best orange juice is the kind you have to chew r/memes Orange Juice Drinking Meme The perfect orange juice meme orange juice drinking animated gif for your conversation. Hope you guys enjoyed make sure to like and subscribe if you want to anyways bye(: Press the ← and → keys to navigate the gallery, 'g' to view the gallery, or 'r'. Find the gifs, clips, and stickers that make your conversations more positive, more expressive,. Orange Juice Drinking Meme.
From www.youtube.com
Bald guy drinking orange juice meme original YouTube Orange Juice Drinking Meme With tenor, maker of gif keyboard, add popular orange juice animated gifs to your conversations. Press the ← and → keys to navigate the gallery, 'g' to view the gallery, or 'r'. Discover and share the best gifs. Share the best gifs now >>> The perfect orange juice meme orange juice drinking animated gif for your conversation. Hope you guys. Orange Juice Drinking Meme.
From www.shutterstock.com
Drinking Water Meme Images Browse 77 Stock Photos & Vectors Free Orange Juice Drinking Meme Discover and share the best gifs. Hope you guys enjoyed make sure to like and subscribe if you want to anyways bye(: The perfect orange juice meme orange juice drinking animated gif for your conversation. This is guy drinking orange juice meme (original) by vasile ares on vimeo, the home for high. Press the ← and → keys to navigate. Orange Juice Drinking Meme.
From www.pinterest.com
Looks like I'll be drinking orange juice! Funny memes, Funny, Memes Orange Juice Drinking Meme Discover and share the best gifs. With tenor, maker of gif keyboard, add popular orange juice animated gifs to your conversations. The perfect orange juice meme orange juice drinking animated gif for your conversation. Find the gifs, clips, and stickers that make your conversations more positive, more expressive, and more you. Watch 'guy drinking orange juice meme' videos on tiktok. Orange Juice Drinking Meme.
From www.youtube.com
Bald guy drinking orange juice meme 1 YouTube Orange Juice Drinking Meme With tenor, maker of gif keyboard, add popular orange juice animated gifs to your conversations. Hope you guys enjoyed make sure to like and subscribe if you want to anyways bye(: The perfect orange juice meme orange juice drinking animated gif for your conversation. Watch 'guy drinking orange juice meme' videos on tiktok customized just for you. Discover and share. Orange Juice Drinking Meme.
From imgflip.com
Orange juice drinkers belike Imgflip Orange Juice Drinking Meme Discover and share the best gifs. Find the gifs, clips, and stickers that make your conversations more positive, more expressive, and more you. Share the best gifs now >>> With tenor, maker of gif keyboard, add popular orange juice animated gifs to your conversations. Watch 'guy drinking orange juice meme' videos on tiktok customized just for you. The perfect orange. Orange Juice Drinking Meme.
From www.youtube.com
Bald Guy Drinks Orange Juice meme🍊 YouTube Orange Juice Drinking Meme Hope you guys enjoyed make sure to like and subscribe if you want to anyways bye(: With tenor, maker of gif keyboard, add popular orange juice animated gifs to your conversations. The perfect orange juice meme orange juice drinking animated gif for your conversation. Watch 'guy drinking orange juice meme' videos on tiktok customized just for you. This is guy. Orange Juice Drinking Meme.
From www.memedroid.com
Orange juice Meme by lulubest ) Memedroid Orange Juice Drinking Meme With tenor, maker of gif keyboard, add popular orange juice animated gifs to your conversations. Find the gifs, clips, and stickers that make your conversations more positive, more expressive, and more you. Watch 'guy drinking orange juice meme' videos on tiktok customized just for you. Hope you guys enjoyed make sure to like and subscribe if you want to anyways. Orange Juice Drinking Meme.
From www.freepik.com
Premium Vector Vector glass with orange juice with orange drinking Orange Juice Drinking Meme Press the ← and → keys to navigate the gallery, 'g' to view the gallery, or 'r'. This is guy drinking orange juice meme (original) by vasile ares on vimeo, the home for high. Find the gifs, clips, and stickers that make your conversations more positive, more expressive, and more you. Share the best gifs now >>> Hope you guys. Orange Juice Drinking Meme.
From www.youtube.com
Old Man Drinks Orange Juice But Its 720p Quality YouTube Orange Juice Drinking Meme The perfect orange juice meme orange juice drinking animated gif for your conversation. Share the best gifs now >>> Watch 'guy drinking orange juice meme' videos on tiktok customized just for you. Press the ← and → keys to navigate the gallery, 'g' to view the gallery, or 'r'. Find the gifs, clips, and stickers that make your conversations more. Orange Juice Drinking Meme.
From www.reddit.com
Haha, funny orange! 😆 r/okbuddyretard Orange Juice Drinking Meme Discover and share the best gifs. Watch 'guy drinking orange juice meme' videos on tiktok customized just for you. With tenor, maker of gif keyboard, add popular orange juice animated gifs to your conversations. Find the gifs, clips, and stickers that make your conversations more positive, more expressive, and more you. This is guy drinking orange juice meme (original) by. Orange Juice Drinking Meme.
From www.youtube.com
Guy drinking orange juice meme (Original) YouTube Orange Juice Drinking Meme Watch 'guy drinking orange juice meme' videos on tiktok customized just for you. Press the ← and → keys to navigate the gallery, 'g' to view the gallery, or 'r'. This is guy drinking orange juice meme (original) by vasile ares on vimeo, the home for high. Share the best gifs now >>> Find the gifs, clips, and stickers that. Orange Juice Drinking Meme.
From www.alamy.com
Orange juice glass cartoon icon. Fresh fruit drink Stock Vector Image Orange Juice Drinking Meme Find the gifs, clips, and stickers that make your conversations more positive, more expressive, and more you. Watch 'guy drinking orange juice meme' videos on tiktok customized just for you. The perfect orange juice meme orange juice drinking animated gif for your conversation. This is guy drinking orange juice meme (original) by vasile ares on vimeo, the home for high.. Orange Juice Drinking Meme.
From www.pinterest.com
Who Knows Ltd Freshly Squeezed Juice Orange juice recipes, Orange Orange Juice Drinking Meme Press the ← and → keys to navigate the gallery, 'g' to view the gallery, or 'r'. Find the gifs, clips, and stickers that make your conversations more positive, more expressive, and more you. The perfect orange juice meme orange juice drinking animated gif for your conversation. Discover and share the best gifs. Watch 'guy drinking orange juice meme' videos. Orange Juice Drinking Meme.
From 9gag.com
Orange juice guy 9GAG Orange Juice Drinking Meme The perfect orange juice meme orange juice drinking animated gif for your conversation. Hope you guys enjoyed make sure to like and subscribe if you want to anyways bye(: Share the best gifs now >>> Find the gifs, clips, and stickers that make your conversations more positive, more expressive, and more you. With tenor, maker of gif keyboard, add popular. Orange Juice Drinking Meme.
From mavink.com
Orange Juice Meme Orange Juice Drinking Meme This is guy drinking orange juice meme (original) by vasile ares on vimeo, the home for high. Share the best gifs now >>> The perfect orange juice meme orange juice drinking animated gif for your conversation. Watch 'guy drinking orange juice meme' videos on tiktok customized just for you. Press the ← and → keys to navigate the gallery, 'g'. Orange Juice Drinking Meme.
From imgflip.com
Overheard at the juice bar Imgflip Orange Juice Drinking Meme Watch 'guy drinking orange juice meme' videos on tiktok customized just for you. With tenor, maker of gif keyboard, add popular orange juice animated gifs to your conversations. Share the best gifs now >>> Find the gifs, clips, and stickers that make your conversations more positive, more expressive, and more you. Hope you guys enjoyed make sure to like and. Orange Juice Drinking Meme.
From imgflip.com
Scumbag orange juice Imgflip Orange Juice Drinking Meme With tenor, maker of gif keyboard, add popular orange juice animated gifs to your conversations. Share the best gifs now >>> Watch 'guy drinking orange juice meme' videos on tiktok customized just for you. This is guy drinking orange juice meme (original) by vasile ares on vimeo, the home for high. Discover and share the best gifs. Press the ←. Orange Juice Drinking Meme.
From www.healthcentral.com
Is Drinking Orange Juice Good for High Blood Pressure? Orange Juice Drinking Meme This is guy drinking orange juice meme (original) by vasile ares on vimeo, the home for high. Watch 'guy drinking orange juice meme' videos on tiktok customized just for you. Find the gifs, clips, and stickers that make your conversations more positive, more expressive, and more you. The perfect orange juice meme orange juice drinking animated gif for your conversation.. Orange Juice Drinking Meme.
From www.pinterest.com
Bald Guy drinking orange juice meme original YouTube Bald men Orange Juice Drinking Meme The perfect orange juice meme orange juice drinking animated gif for your conversation. Share the best gifs now >>> Press the ← and → keys to navigate the gallery, 'g' to view the gallery, or 'r'. This is guy drinking orange juice meme (original) by vasile ares on vimeo, the home for high. With tenor, maker of gif keyboard, add. Orange Juice Drinking Meme.
From www.youtube.com
bald guy tries orange juice for the first time.. YouTube Orange Juice Drinking Meme Discover and share the best gifs. Press the ← and → keys to navigate the gallery, 'g' to view the gallery, or 'r'. The perfect orange juice meme orange juice drinking animated gif for your conversation. With tenor, maker of gif keyboard, add popular orange juice animated gifs to your conversations. Find the gifs, clips, and stickers that make your. Orange Juice Drinking Meme.
From imgflip.com
Orange juice Imgflip Orange Juice Drinking Meme The perfect orange juice meme orange juice drinking animated gif for your conversation. Find the gifs, clips, and stickers that make your conversations more positive, more expressive, and more you. With tenor, maker of gif keyboard, add popular orange juice animated gifs to your conversations. This is guy drinking orange juice meme (original) by vasile ares on vimeo, the home. Orange Juice Drinking Meme.