Warranties Against Defects . Under statutory law, the content of general terms and conditions of sales/purchase (gtcs) is subject to strict scrutiny so that. Warranties serve as a crucial component in contracts, providing fundamental legal protection for buyers against potential defects or failures. In the case of defective products, the rights of consumers may arise either from a statutory warranty or from a guarantee issued by the. Extra promises about what a business will do if something goes wrong with a product or service are known as a manufacturer’s warranties or warranties against defects. A separate warranty document is recommended, especially for warranties against defects.
from kkilawyers.com.au
Under statutory law, the content of general terms and conditions of sales/purchase (gtcs) is subject to strict scrutiny so that. Warranties serve as a crucial component in contracts, providing fundamental legal protection for buyers against potential defects or failures. A separate warranty document is recommended, especially for warranties against defects. In the case of defective products, the rights of consumers may arise either from a statutory warranty or from a guarantee issued by the. Extra promises about what a business will do if something goes wrong with a product or service are known as a manufacturer’s warranties or warranties against defects.
Consumer Guarantees v Warranty Against Defects Is there a difference
Warranties Against Defects A separate warranty document is recommended, especially for warranties against defects. Under statutory law, the content of general terms and conditions of sales/purchase (gtcs) is subject to strict scrutiny so that. Warranties serve as a crucial component in contracts, providing fundamental legal protection for buyers against potential defects or failures. Extra promises about what a business will do if something goes wrong with a product or service are known as a manufacturer’s warranties or warranties against defects. A separate warranty document is recommended, especially for warranties against defects. In the case of defective products, the rights of consumers may arise either from a statutory warranty or from a guarantee issued by the.
From studylib.net
WARRANTY Dero warrants its products against defects in Warranties Against Defects Under statutory law, the content of general terms and conditions of sales/purchase (gtcs) is subject to strict scrutiny so that. A separate warranty document is recommended, especially for warranties against defects. In the case of defective products, the rights of consumers may arise either from a statutory warranty or from a guarantee issued by the. Warranties serve as a crucial. Warranties Against Defects.
From www.youtube.com
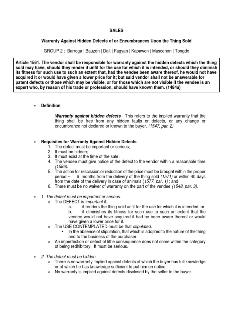
Warranty Against Hidden Defects of or Encumbrances upon the Thing Sold Warranties Against Defects In the case of defective products, the rights of consumers may arise either from a statutory warranty or from a guarantee issued by the. Extra promises about what a business will do if something goes wrong with a product or service are known as a manufacturer’s warranties or warranties against defects. Warranties serve as a crucial component in contracts, providing. Warranties Against Defects.
From www.scribd.com
Subsection 2 Warranty Against Hidden Defects of or Encumbrances Upon Warranties Against Defects In the case of defective products, the rights of consumers may arise either from a statutory warranty or from a guarantee issued by the. Warranties serve as a crucial component in contracts, providing fundamental legal protection for buyers against potential defects or failures. A separate warranty document is recommended, especially for warranties against defects. Extra promises about what a business. Warranties Against Defects.
From www.alburolaw.com
4 Things to know about warranty against hidden defects ALBURO ALBURO Warranties Against Defects A separate warranty document is recommended, especially for warranties against defects. In the case of defective products, the rights of consumers may arise either from a statutory warranty or from a guarantee issued by the. Under statutory law, the content of general terms and conditions of sales/purchase (gtcs) is subject to strict scrutiny so that. Warranties serve as a crucial. Warranties Against Defects.
From www.jachomes.com.au
6 Month Defect Warranty JAC Homes Murray Bridge Warranties Against Defects In the case of defective products, the rights of consumers may arise either from a statutory warranty or from a guarantee issued by the. Under statutory law, the content of general terms and conditions of sales/purchase (gtcs) is subject to strict scrutiny so that. Extra promises about what a business will do if something goes wrong with a product or. Warranties Against Defects.
From rcrlaw.com.au
Australian Consumer Law Warranty Against Defects Warranties Against Defects In the case of defective products, the rights of consumers may arise either from a statutory warranty or from a guarantee issued by the. Extra promises about what a business will do if something goes wrong with a product or service are known as a manufacturer’s warranties or warranties against defects. Warranties serve as a crucial component in contracts, providing. Warranties Against Defects.
From www.slideserve.com
PPT Product Liability PowerPoint Presentation, free download ID4000481 Warranties Against Defects A separate warranty document is recommended, especially for warranties against defects. Extra promises about what a business will do if something goes wrong with a product or service are known as a manufacturer’s warranties or warranties against defects. Under statutory law, the content of general terms and conditions of sales/purchase (gtcs) is subject to strict scrutiny so that. In the. Warranties Against Defects.
From studylib.net
Implied Warranty Against Latent Defects Warranties Against Defects Under statutory law, the content of general terms and conditions of sales/purchase (gtcs) is subject to strict scrutiny so that. A separate warranty document is recommended, especially for warranties against defects. Extra promises about what a business will do if something goes wrong with a product or service are known as a manufacturer’s warranties or warranties against defects. In the. Warranties Against Defects.
From slideplayer.com
Commercial law ppt download Warranties Against Defects Extra promises about what a business will do if something goes wrong with a product or service are known as a manufacturer’s warranties or warranties against defects. In the case of defective products, the rights of consumers may arise either from a statutory warranty or from a guarantee issued by the. Under statutory law, the content of general terms and. Warranties Against Defects.
From slideplayer.com
Chapter 8 Current and Contingent Liabilities ppt download Warranties Against Defects Under statutory law, the content of general terms and conditions of sales/purchase (gtcs) is subject to strict scrutiny so that. Warranties serve as a crucial component in contracts, providing fundamental legal protection for buyers against potential defects or failures. A separate warranty document is recommended, especially for warranties against defects. In the case of defective products, the rights of consumers. Warranties Against Defects.
From www.scribd.com
Warranty On Hidden Defects PDF Implied Warranty Business Law Warranties Against Defects A separate warranty document is recommended, especially for warranties against defects. In the case of defective products, the rights of consumers may arise either from a statutory warranty or from a guarantee issued by the. Extra promises about what a business will do if something goes wrong with a product or service are known as a manufacturer’s warranties or warranties. Warranties Against Defects.
From ar.inspiredpencil.com
Certificate Of Making Good Defects Template Warranties Against Defects In the case of defective products, the rights of consumers may arise either from a statutory warranty or from a guarantee issued by the. Extra promises about what a business will do if something goes wrong with a product or service are known as a manufacturer’s warranties or warranties against defects. Under statutory law, the content of general terms and. Warranties Against Defects.
From backup.lawpath.com.au
warranty against defects LawPath Warranties Against Defects Warranties serve as a crucial component in contracts, providing fundamental legal protection for buyers against potential defects or failures. In the case of defective products, the rights of consumers may arise either from a statutory warranty or from a guarantee issued by the. Extra promises about what a business will do if something goes wrong with a product or service. Warranties Against Defects.
From slideplayer.com
Business law B Com Mkt/hrm March ppt download Warranties Against Defects In the case of defective products, the rights of consumers may arise either from a statutory warranty or from a guarantee issued by the. Under statutory law, the content of general terms and conditions of sales/purchase (gtcs) is subject to strict scrutiny so that. Warranties serve as a crucial component in contracts, providing fundamental legal protection for buyers against potential. Warranties Against Defects.
From www.gladwinlegal.com.au
Top tips for your warranties against defects Warranties Against Defects In the case of defective products, the rights of consumers may arise either from a statutory warranty or from a guarantee issued by the. Extra promises about what a business will do if something goes wrong with a product or service are known as a manufacturer’s warranties or warranties against defects. Under statutory law, the content of general terms and. Warranties Against Defects.
From w3iplaw.com
2019 Mandatory Wording for Warranties against Defects when supplying Warranties Against Defects Warranties serve as a crucial component in contracts, providing fundamental legal protection for buyers against potential defects or failures. In the case of defective products, the rights of consumers may arise either from a statutory warranty or from a guarantee issued by the. Under statutory law, the content of general terms and conditions of sales/purchase (gtcs) is subject to strict. Warranties Against Defects.
From www.reichinsurance.co.uk
Structural Warranties Warranties Against Defects In the case of defective products, the rights of consumers may arise either from a statutory warranty or from a guarantee issued by the. A separate warranty document is recommended, especially for warranties against defects. Warranties serve as a crucial component in contracts, providing fundamental legal protection for buyers against potential defects or failures. Extra promises about what a business. Warranties Against Defects.
From www.dansonelectronics.com
Consumer Warranty Against DefectsDanson Electronics Ltd. Warranties Against Defects Extra promises about what a business will do if something goes wrong with a product or service are known as a manufacturer’s warranties or warranties against defects. A separate warranty document is recommended, especially for warranties against defects. In the case of defective products, the rights of consumers may arise either from a statutory warranty or from a guarantee issued. Warranties Against Defects.
From www.scribd.com
Warranty on Hidden Defects.pptx Rescission Damages Warranties Against Defects In the case of defective products, the rights of consumers may arise either from a statutory warranty or from a guarantee issued by the. A separate warranty document is recommended, especially for warranties against defects. Under statutory law, the content of general terms and conditions of sales/purchase (gtcs) is subject to strict scrutiny so that. Extra promises about what a. Warranties Against Defects.
From litespeedconstruction.com
GAF Golden Pledge Warranties Protect Against Defects in Shingles Warranties Against Defects In the case of defective products, the rights of consumers may arise either from a statutory warranty or from a guarantee issued by the. Extra promises about what a business will do if something goes wrong with a product or service are known as a manufacturer’s warranties or warranties against defects. Warranties serve as a crucial component in contracts, providing. Warranties Against Defects.
From www.scribd.com
Warranty Against Hidden Defects This Refers To The Implied Warranty Warranties Against Defects Extra promises about what a business will do if something goes wrong with a product or service are known as a manufacturer’s warranties or warranties against defects. A separate warranty document is recommended, especially for warranties against defects. Under statutory law, the content of general terms and conditions of sales/purchase (gtcs) is subject to strict scrutiny so that. Warranties serve. Warranties Against Defects.
From www.wfsb.com
How federal warranty law can protect you against defective products Warranties Against Defects A separate warranty document is recommended, especially for warranties against defects. Warranties serve as a crucial component in contracts, providing fundamental legal protection for buyers against potential defects or failures. Under statutory law, the content of general terms and conditions of sales/purchase (gtcs) is subject to strict scrutiny so that. In the case of defective products, the rights of consumers. Warranties Against Defects.
From slideplayer.com
The contract of sale. ppt download Warranties Against Defects Warranties serve as a crucial component in contracts, providing fundamental legal protection for buyers against potential defects or failures. In the case of defective products, the rights of consumers may arise either from a statutory warranty or from a guarantee issued by the. Extra promises about what a business will do if something goes wrong with a product or service. Warranties Against Defects.
From legalvision.com.au
Warranty Against Defects When is a warranty defective? Warranties Against Defects Warranties serve as a crucial component in contracts, providing fundamental legal protection for buyers against potential defects or failures. Under statutory law, the content of general terms and conditions of sales/purchase (gtcs) is subject to strict scrutiny so that. Extra promises about what a business will do if something goes wrong with a product or service are known as a. Warranties Against Defects.
From kkilawyers.com.au
Consumer Guarantees v Warranty Against Defects Is there a difference Warranties Against Defects Extra promises about what a business will do if something goes wrong with a product or service are known as a manufacturer’s warranties or warranties against defects. Warranties serve as a crucial component in contracts, providing fundamental legal protection for buyers against potential defects or failures. A separate warranty document is recommended, especially for warranties against defects. In the case. Warranties Against Defects.
From www.smallbusiness.wa.gov.au
Important changes to ‘warranties against defects’ Small Business Warranties Against Defects Extra promises about what a business will do if something goes wrong with a product or service are known as a manufacturer’s warranties or warranties against defects. In the case of defective products, the rights of consumers may arise either from a statutory warranty or from a guarantee issued by the. A separate warranty document is recommended, especially for warranties. Warranties Against Defects.
From slideplayer.com
Warranties Review Questions. ppt download Warranties Against Defects In the case of defective products, the rights of consumers may arise either from a statutory warranty or from a guarantee issued by the. A separate warranty document is recommended, especially for warranties against defects. Warranties serve as a crucial component in contracts, providing fundamental legal protection for buyers against potential defects or failures. Under statutory law, the content of. Warranties Against Defects.
From marylandcondoconstructiondefectlaw.com
THE CONDOMINIUM WARRANTY AGAINST STRUCTURAL DEFECTS IN THE DISTRICT OF Warranties Against Defects Warranties serve as a crucial component in contracts, providing fundamental legal protection for buyers against potential defects or failures. In the case of defective products, the rights of consumers may arise either from a statutory warranty or from a guarantee issued by the. Extra promises about what a business will do if something goes wrong with a product or service. Warranties Against Defects.
From ablawyers.com.au
The new ‘warranty against defects’ test ABLA Warranties Against Defects In the case of defective products, the rights of consumers may arise either from a statutory warranty or from a guarantee issued by the. Extra promises about what a business will do if something goes wrong with a product or service are known as a manufacturer’s warranties or warranties against defects. Warranties serve as a crucial component in contracts, providing. Warranties Against Defects.
From slideplayer.com
Chapter 11 Current Liabilities and Payroll ppt download Warranties Against Defects Under statutory law, the content of general terms and conditions of sales/purchase (gtcs) is subject to strict scrutiny so that. A separate warranty document is recommended, especially for warranties against defects. In the case of defective products, the rights of consumers may arise either from a statutory warranty or from a guarantee issued by the. Extra promises about what a. Warranties Against Defects.
From www.slideserve.com
PPT Best flaring tool HVAC PowerPoint Presentation, free download Warranties Against Defects A separate warranty document is recommended, especially for warranties against defects. Extra promises about what a business will do if something goes wrong with a product or service are known as a manufacturer’s warranties or warranties against defects. Under statutory law, the content of general terms and conditions of sales/purchase (gtcs) is subject to strict scrutiny so that. In the. Warranties Against Defects.
From www.scribd.com
Obligations of a Vendor Transferring Ownership, Delivery, and Warranty Warranties Against Defects Under statutory law, the content of general terms and conditions of sales/purchase (gtcs) is subject to strict scrutiny so that. Extra promises about what a business will do if something goes wrong with a product or service are known as a manufacturer’s warranties or warranties against defects. In the case of defective products, the rights of consumers may arise either. Warranties Against Defects.
From www.scribd.com
Warranty on Hidden Defects Implied Warranty Damages Warranties Against Defects Under statutory law, the content of general terms and conditions of sales/purchase (gtcs) is subject to strict scrutiny so that. Extra promises about what a business will do if something goes wrong with a product or service are known as a manufacturer’s warranties or warranties against defects. A separate warranty document is recommended, especially for warranties against defects. In the. Warranties Against Defects.
From www.shirelegal.com.au
Warranty against defects for services Warranties Against Defects Under statutory law, the content of general terms and conditions of sales/purchase (gtcs) is subject to strict scrutiny so that. A separate warranty document is recommended, especially for warranties against defects. Warranties serve as a crucial component in contracts, providing fundamental legal protection for buyers against potential defects or failures. Extra promises about what a business will do if something. Warranties Against Defects.
From www.scribd.com
Rules on Warranties Against Hidden Defects and Remedies for Redhibitory Warranties Against Defects In the case of defective products, the rights of consumers may arise either from a statutory warranty or from a guarantee issued by the. Warranties serve as a crucial component in contracts, providing fundamental legal protection for buyers against potential defects or failures. Extra promises about what a business will do if something goes wrong with a product or service. Warranties Against Defects.