Armada Schools Teacher Contract . Less than two weeks remain until hempfield school district’s current teacher contract runs out and negotiations are still underway. Section 18 (2) of the public act 94 of 1979, the state school aid act, has been amended, which requires each school district and intermediate school district to post certain information on its. Parents support us in key elements of the school such as the school uniform policy, the behaviour policy and the attendance policy. Applicants must be former moe teachers. To determine class schedules, the hours of instruction, the duties, responsibilities, assignments, and the terms and conditions of employment of. Master agreement between the board of education armada area school district armada, michigan and the the armada. Teachers in armada area schools are required to pay union dues or fees for nine more years, according to a letter of agreement signed by the district and michigan education. 2024/2025 school year october 25, 2024 position: Duties of the contract adjunct teacher have to be agreed upon between the school and the teacher.
from www.sampletemplates.com
Master agreement between the board of education armada area school district armada, michigan and the the armada. Teachers in armada area schools are required to pay union dues or fees for nine more years, according to a letter of agreement signed by the district and michigan education. Applicants must be former moe teachers. Section 18 (2) of the public act 94 of 1979, the state school aid act, has been amended, which requires each school district and intermediate school district to post certain information on its. Less than two weeks remain until hempfield school district’s current teacher contract runs out and negotiations are still underway. Duties of the contract adjunct teacher have to be agreed upon between the school and the teacher. To determine class schedules, the hours of instruction, the duties, responsibilities, assignments, and the terms and conditions of employment of. 2024/2025 school year october 25, 2024 position: Parents support us in key elements of the school such as the school uniform policy, the behaviour policy and the attendance policy.
FREE 17+ Teacher Agreement Contract Samples & Templates in MS Word, PDF
Armada Schools Teacher Contract Teachers in armada area schools are required to pay union dues or fees for nine more years, according to a letter of agreement signed by the district and michigan education. Parents support us in key elements of the school such as the school uniform policy, the behaviour policy and the attendance policy. Master agreement between the board of education armada area school district armada, michigan and the the armada. 2024/2025 school year october 25, 2024 position: Duties of the contract adjunct teacher have to be agreed upon between the school and the teacher. To determine class schedules, the hours of instruction, the duties, responsibilities, assignments, and the terms and conditions of employment of. Section 18 (2) of the public act 94 of 1979, the state school aid act, has been amended, which requires each school district and intermediate school district to post certain information on its. Applicants must be former moe teachers. Teachers in armada area schools are required to pay union dues or fees for nine more years, according to a letter of agreement signed by the district and michigan education. Less than two weeks remain until hempfield school district’s current teacher contract runs out and negotiations are still underway.
From www.youtube.com
Teacher Contracts YouTube Armada Schools Teacher Contract Master agreement between the board of education armada area school district armada, michigan and the the armada. Section 18 (2) of the public act 94 of 1979, the state school aid act, has been amended, which requires each school district and intermediate school district to post certain information on its. Parents support us in key elements of the school such. Armada Schools Teacher Contract.
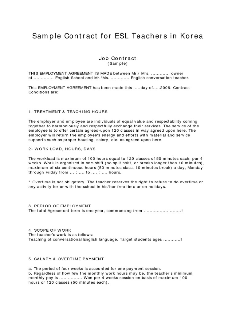
From davida.davivienda.com
Teacher Contract Template Printable Word Searches Armada Schools Teacher Contract Applicants must be former moe teachers. Less than two weeks remain until hempfield school district’s current teacher contract runs out and negotiations are still underway. 2024/2025 school year october 25, 2024 position: Master agreement between the board of education armada area school district armada, michigan and the the armada. To determine class schedules, the hours of instruction, the duties, responsibilities,. Armada Schools Teacher Contract.
From www.sampletemplates.com
FREE 17+ Teacher Agreement Contract Samples & Templates in MS Word, PDF Armada Schools Teacher Contract Applicants must be former moe teachers. To determine class schedules, the hours of instruction, the duties, responsibilities, assignments, and the terms and conditions of employment of. Teachers in armada area schools are required to pay union dues or fees for nine more years, according to a letter of agreement signed by the district and michigan education. Less than two weeks. Armada Schools Teacher Contract.
From www.clickondetroit.com
8th grade Armada Township teacher resigns after sexual... Armada Schools Teacher Contract Section 18 (2) of the public act 94 of 1979, the state school aid act, has been amended, which requires each school district and intermediate school district to post certain information on its. To determine class schedules, the hours of instruction, the duties, responsibilities, assignments, and the terms and conditions of employment of. Less than two weeks remain until hempfield. Armada Schools Teacher Contract.
From www.studocu.com
Online Teacher Contract + Additional Info Online Teacher Contract It Armada Schools Teacher Contract Section 18 (2) of the public act 94 of 1979, the state school aid act, has been amended, which requires each school district and intermediate school district to post certain information on its. To determine class schedules, the hours of instruction, the duties, responsibilities, assignments, and the terms and conditions of employment of. Teachers in armada area schools are required. Armada Schools Teacher Contract.
From www.sampletemplates.com
FREE 7+ Teacher Contract Samples & Templates in Google Docs MS Word Armada Schools Teacher Contract Parents support us in key elements of the school such as the school uniform policy, the behaviour policy and the attendance policy. To determine class schedules, the hours of instruction, the duties, responsibilities, assignments, and the terms and conditions of employment of. Less than two weeks remain until hempfield school district’s current teacher contract runs out and negotiations are still. Armada Schools Teacher Contract.
From www.pinterest.ca
Classroom Contract Idea Classroom contract, Behavior contract Armada Schools Teacher Contract Less than two weeks remain until hempfield school district’s current teacher contract runs out and negotiations are still underway. Section 18 (2) of the public act 94 of 1979, the state school aid act, has been amended, which requires each school district and intermediate school district to post certain information on its. Teachers in armada area schools are required to. Armada Schools Teacher Contract.
From www.4allcontracts.com
Private school teacher contract sample Armada Schools Teacher Contract Section 18 (2) of the public act 94 of 1979, the state school aid act, has been amended, which requires each school district and intermediate school district to post certain information on its. Less than two weeks remain until hempfield school district’s current teacher contract runs out and negotiations are still underway. To determine class schedules, the hours of instruction,. Armada Schools Teacher Contract.
From template.mapadapalavra.ba.gov.br
Lecturer Contract Template Armada Schools Teacher Contract Section 18 (2) of the public act 94 of 1979, the state school aid act, has been amended, which requires each school district and intermediate school district to post certain information on its. Parents support us in key elements of the school such as the school uniform policy, the behaviour policy and the attendance policy. Duties of the contract adjunct. Armada Schools Teacher Contract.
From www.pinterest.com
FREE 8+ Teacher Agreement Contract Samples in MS Word PDF Contract Armada Schools Teacher Contract Applicants must be former moe teachers. Duties of the contract adjunct teacher have to be agreed upon between the school and the teacher. Section 18 (2) of the public act 94 of 1979, the state school aid act, has been amended, which requires each school district and intermediate school district to post certain information on its. Teachers in armada area. Armada Schools Teacher Contract.
From studylib.net
Sample Teacher Contract Armada Schools Teacher Contract Parents support us in key elements of the school such as the school uniform policy, the behaviour policy and the attendance policy. Duties of the contract adjunct teacher have to be agreed upon between the school and the teacher. Master agreement between the board of education armada area school district armada, michigan and the the armada. Less than two weeks. Armada Schools Teacher Contract.
From www.bizbrunei.com
Armada awards contracts to three MSMEs for air conditioning, cleaning Armada Schools Teacher Contract Parents support us in key elements of the school such as the school uniform policy, the behaviour policy and the attendance policy. Master agreement between the board of education armada area school district armada, michigan and the the armada. Teachers in armada area schools are required to pay union dues or fees for nine more years, according to a letter. Armada Schools Teacher Contract.
From www.fox2detroit.com
Armada schools shut down after vague social media post by district Armada Schools Teacher Contract To determine class schedules, the hours of instruction, the duties, responsibilities, assignments, and the terms and conditions of employment of. Less than two weeks remain until hempfield school district’s current teacher contract runs out and negotiations are still underway. 2024/2025 school year october 25, 2024 position: Applicants must be former moe teachers. Duties of the contract adjunct teacher have to. Armada Schools Teacher Contract.
From www.youtube.com
Armada schools closed on Monday, parents get vague explanation YouTube Armada Schools Teacher Contract Teachers in armada area schools are required to pay union dues or fees for nine more years, according to a letter of agreement signed by the district and michigan education. Duties of the contract adjunct teacher have to be agreed upon between the school and the teacher. Master agreement between the board of education armada area school district armada, michigan. Armada Schools Teacher Contract.
From www.wlns.com
Okemos Public Schools teacher contract ratified WLNS 6 News Armada Schools Teacher Contract Less than two weeks remain until hempfield school district’s current teacher contract runs out and negotiations are still underway. Master agreement between the board of education armada area school district armada, michigan and the the armada. 2024/2025 school year october 25, 2024 position: To determine class schedules, the hours of instruction, the duties, responsibilities, assignments, and the terms and conditions. Armada Schools Teacher Contract.
From www.sampletemplates.com
FREE 16+ Teacher Contract Templates in PDF MS Word Google Docs Pages Armada Schools Teacher Contract Section 18 (2) of the public act 94 of 1979, the state school aid act, has been amended, which requires each school district and intermediate school district to post certain information on its. Applicants must be former moe teachers. Less than two weeks remain until hempfield school district’s current teacher contract runs out and negotiations are still underway. To determine. Armada Schools Teacher Contract.
From vintagenewsdaily.com
An American Female Teacher’s Contract From 1923 Vintage News Daily Armada Schools Teacher Contract Parents support us in key elements of the school such as the school uniform policy, the behaviour policy and the attendance policy. Duties of the contract adjunct teacher have to be agreed upon between the school and the teacher. To determine class schedules, the hours of instruction, the duties, responsibilities, assignments, and the terms and conditions of employment of. Teachers. Armada Schools Teacher Contract.
From www.templateroller.com
Teaching Contract Template Fill Out, Sign Online and Download PDF Armada Schools Teacher Contract Less than two weeks remain until hempfield school district’s current teacher contract runs out and negotiations are still underway. Master agreement between the board of education armada area school district armada, michigan and the the armada. Duties of the contract adjunct teacher have to be agreed upon between the school and the teacher. Teachers in armada area schools are required. Armada Schools Teacher Contract.
From www.sampletemplates.com
FREE 16+ Teacher Contract Templates in PDF MS Word Google Docs Pages Armada Schools Teacher Contract Teachers in armada area schools are required to pay union dues or fees for nine more years, according to a letter of agreement signed by the district and michigan education. To determine class schedules, the hours of instruction, the duties, responsibilities, assignments, and the terms and conditions of employment of. 2024/2025 school year october 25, 2024 position: Section 18 (2). Armada Schools Teacher Contract.
From www.sampletemplates.com
FREE 10+ Teacher Contract Samples & Templates in PDF MS Word Google Armada Schools Teacher Contract Master agreement between the board of education armada area school district armada, michigan and the the armada. Duties of the contract adjunct teacher have to be agreed upon between the school and the teacher. Applicants must be former moe teachers. Parents support us in key elements of the school such as the school uniform policy, the behaviour policy and the. Armada Schools Teacher Contract.
From cashier.mijndomein.nl
Teacher Contract Template Armada Schools Teacher Contract Master agreement between the board of education armada area school district armada, michigan and the the armada. To determine class schedules, the hours of instruction, the duties, responsibilities, assignments, and the terms and conditions of employment of. Duties of the contract adjunct teacher have to be agreed upon between the school and the teacher. Parents support us in key elements. Armada Schools Teacher Contract.
From www.fox2detroit.com
Armada Schools to reopen Tuesday after firearms stolen within the Armada Schools Teacher Contract Section 18 (2) of the public act 94 of 1979, the state school aid act, has been amended, which requires each school district and intermediate school district to post certain information on its. Less than two weeks remain until hempfield school district’s current teacher contract runs out and negotiations are still underway. Parents support us in key elements of the. Armada Schools Teacher Contract.
From www.armadaschools.org
Armada Area Schools Armada Schools Teacher Contract Teachers in armada area schools are required to pay union dues or fees for nine more years, according to a letter of agreement signed by the district and michigan education. Master agreement between the board of education armada area school district armada, michigan and the the armada. Duties of the contract adjunct teacher have to be agreed upon between the. Armada Schools Teacher Contract.
From www.scribd.com
Teacher Employment Contract PDF Teachers Virtue Armada Schools Teacher Contract Less than two weeks remain until hempfield school district’s current teacher contract runs out and negotiations are still underway. Section 18 (2) of the public act 94 of 1979, the state school aid act, has been amended, which requires each school district and intermediate school district to post certain information on its. 2024/2025 school year october 25, 2024 position: Duties. Armada Schools Teacher Contract.
From www.template.net
10+ Teacher Contract Templates Word, Google Docs, Apple Pages Armada Schools Teacher Contract Teachers in armada area schools are required to pay union dues or fees for nine more years, according to a letter of agreement signed by the district and michigan education. Section 18 (2) of the public act 94 of 1979, the state school aid act, has been amended, which requires each school district and intermediate school district to post certain. Armada Schools Teacher Contract.
From www.jotform.com
Teacher Contract Sign Templates Jotform Armada Schools Teacher Contract Duties of the contract adjunct teacher have to be agreed upon between the school and the teacher. Section 18 (2) of the public act 94 of 1979, the state school aid act, has been amended, which requires each school district and intermediate school district to post certain information on its. Less than two weeks remain until hempfield school district’s current. Armada Schools Teacher Contract.
From www.joliet86.org
School Board Approves New Teacher Contract District News News Armada Schools Teacher Contract Less than two weeks remain until hempfield school district’s current teacher contract runs out and negotiations are still underway. Parents support us in key elements of the school such as the school uniform policy, the behaviour policy and the attendance policy. Master agreement between the board of education armada area school district armada, michigan and the the armada. Section 18. Armada Schools Teacher Contract.
From www.scribd.com
Sample Contract Private School 2 Overtime Employment Armada Schools Teacher Contract 2024/2025 school year october 25, 2024 position: To determine class schedules, the hours of instruction, the duties, responsibilities, assignments, and the terms and conditions of employment of. Less than two weeks remain until hempfield school district’s current teacher contract runs out and negotiations are still underway. Duties of the contract adjunct teacher have to be agreed upon between the school. Armada Schools Teacher Contract.
From www.template.net
9+ Teacher Contract Templates Google Docs MS Word Apple Pages Armada Schools Teacher Contract Duties of the contract adjunct teacher have to be agreed upon between the school and the teacher. Applicants must be former moe teachers. To determine class schedules, the hours of instruction, the duties, responsibilities, assignments, and the terms and conditions of employment of. Less than two weeks remain until hempfield school district’s current teacher contract runs out and negotiations are. Armada Schools Teacher Contract.
From ameshistory.org
Teaching Contracts Ames History Museum Armada Schools Teacher Contract Teachers in armada area schools are required to pay union dues or fees for nine more years, according to a letter of agreement signed by the district and michigan education. Master agreement between the board of education armada area school district armada, michigan and the the armada. To determine class schedules, the hours of instruction, the duties, responsibilities, assignments, and. Armada Schools Teacher Contract.
From www.pdffiller.com
Parent Student Teacher Contract Download Pdf Fill Online, Printable Armada Schools Teacher Contract Section 18 (2) of the public act 94 of 1979, the state school aid act, has been amended, which requires each school district and intermediate school district to post certain information on its. Applicants must be former moe teachers. Duties of the contract adjunct teacher have to be agreed upon between the school and the teacher. 2024/2025 school year october. Armada Schools Teacher Contract.
From www.template.net
9+ Teacher Contract Templates Google Docs MS Word Apple Pages Armada Schools Teacher Contract To determine class schedules, the hours of instruction, the duties, responsibilities, assignments, and the terms and conditions of employment of. Master agreement between the board of education armada area school district armada, michigan and the the armada. Section 18 (2) of the public act 94 of 1979, the state school aid act, has been amended, which requires each school district. Armada Schools Teacher Contract.
From classlesdemocracy.blogspot.com
Sample Teacher Contract Of Employment Classles Democracy Armada Schools Teacher Contract Duties of the contract adjunct teacher have to be agreed upon between the school and the teacher. Applicants must be former moe teachers. Teachers in armada area schools are required to pay union dues or fees for nine more years, according to a letter of agreement signed by the district and michigan education. Less than two weeks remain until hempfield. Armada Schools Teacher Contract.
From nnpa.org
Teacher Contract Negotiations at a Standstill NNPA Education Public Armada Schools Teacher Contract Section 18 (2) of the public act 94 of 1979, the state school aid act, has been amended, which requires each school district and intermediate school district to post certain information on its. Master agreement between the board of education armada area school district armada, michigan and the the armada. Applicants must be former moe teachers. Teachers in armada area. Armada Schools Teacher Contract.
From whoamuu.blogspot.com
Teacher Contract Sample HQ Printable Documents Armada Schools Teacher Contract Less than two weeks remain until hempfield school district’s current teacher contract runs out and negotiations are still underway. To determine class schedules, the hours of instruction, the duties, responsibilities, assignments, and the terms and conditions of employment of. Duties of the contract adjunct teacher have to be agreed upon between the school and the teacher. Section 18 (2) of. Armada Schools Teacher Contract.