When Copper Is Bombarded With High Energy Electrons . Calculate the energy (in joules) associated with the photons if the wavelength of the x rays is $0.154 \mathrm{nm}$. Calculate the energy (in joules) associated with the photons if. Calculate the energy (in joules) associated with the photons if the. Calculate the energy (in joules) associated with the photons if the. Caiculate the energy (in joules) associsted with the photons if. Calculate the energy (in joules) associated with the photons if the. Calculate the energy (in joules) associated with the photons if the.
from www.numerade.com
Calculate the energy (in joules) associated with the photons if the wavelength of the x rays is $0.154 \mathrm{nm}$. Calculate the energy (in joules) associated with the photons if the. Calculate the energy (in joules) associated with the photons if the. Calculate the energy (in joules) associated with the photons if the. Calculate the energy (in joules) associated with the photons if the. Calculate the energy (in joules) associated with the photons if. Caiculate the energy (in joules) associsted with the photons if.
SOLVEDWhen copper is bombarded with highenergy electrons, X rays are
When Copper Is Bombarded With High Energy Electrons Calculate the energy (in joules) associated with the photons if the. Calculate the energy (in joules) associated with the photons if the wavelength of the x rays is $0.154 \mathrm{nm}$. Calculate the energy (in joules) associated with the photons if the. Calculate the energy (in joules) associated with the photons if. Calculate the energy (in joules) associated with the photons if the. Calculate the energy (in joules) associated with the photons if the. Calculate the energy (in joules) associated with the photons if the. Caiculate the energy (in joules) associsted with the photons if.
From www.nuclear-power.com
Copper Electron Affinity Electronegativity Ionization Energy of When Copper Is Bombarded With High Energy Electrons Calculate the energy (in joules) associated with the photons if the. Calculate the energy (in joules) associated with the photons if the. Calculate the energy (in joules) associated with the photons if. Calculate the energy (in joules) associated with the photons if the. Caiculate the energy (in joules) associsted with the photons if. Calculate the energy (in joules) associated with. When Copper Is Bombarded With High Energy Electrons.
From www.numerade.com
SOLVED When copper is bombarded with highenergy electrons, X rays are When Copper Is Bombarded With High Energy Electrons Calculate the energy (in joules) associated with the photons if the wavelength of the x rays is $0.154 \mathrm{nm}$. Calculate the energy (in joules) associated with the photons if the. Calculate the energy (in joules) associated with the photons if the. Calculate the energy (in joules) associated with the photons if the. Calculate the energy (in joules) associated with the. When Copper Is Bombarded With High Energy Electrons.
From www.researchgate.net
Dependency of the time constants for the heating of the anode area When Copper Is Bombarded With High Energy Electrons Calculate the energy (in joules) associated with the photons if the wavelength of the x rays is $0.154 \mathrm{nm}$. Calculate the energy (in joules) associated with the photons if the. Calculate the energy (in joules) associated with the photons if. Caiculate the energy (in joules) associsted with the photons if. Calculate the energy (in joules) associated with the photons if. When Copper Is Bombarded With High Energy Electrons.
From classnotes.org.in
Rutherford's Model Of An Atom Chemistry, Class 11, Structure Of Atom When Copper Is Bombarded With High Energy Electrons Calculate the energy (in joules) associated with the photons if the wavelength of the x rays is $0.154 \mathrm{nm}$. Caiculate the energy (in joules) associsted with the photons if. Calculate the energy (in joules) associated with the photons if the. Calculate the energy (in joules) associated with the photons if the. Calculate the energy (in joules) associated with the photons. When Copper Is Bombarded With High Energy Electrons.
From www.youtube.com
(a) A gas of hydrogen atoms is their ground state is bombarded by When Copper Is Bombarded With High Energy Electrons Calculate the energy (in joules) associated with the photons if. Calculate the energy (in joules) associated with the photons if the. Calculate the energy (in joules) associated with the photons if the. Calculate the energy (in joules) associated with the photons if the wavelength of the x rays is $0.154 \mathrm{nm}$. Calculate the energy (in joules) associated with the photons. When Copper Is Bombarded With High Energy Electrons.
From www.numerade.com
SOLVEDWhen copper is bombarded with highenergy electrons, X rays are When Copper Is Bombarded With High Energy Electrons Calculate the energy (in joules) associated with the photons if the. Calculate the energy (in joules) associated with the photons if the. Caiculate the energy (in joules) associsted with the photons if. Calculate the energy (in joules) associated with the photons if the wavelength of the x rays is $0.154 \mathrm{nm}$. Calculate the energy (in joules) associated with the photons. When Copper Is Bombarded With High Energy Electrons.
From slideplayer.com
Electronic structure and Quantum Theory ppt download When Copper Is Bombarded With High Energy Electrons Calculate the energy (in joules) associated with the photons if the. Calculate the energy (in joules) associated with the photons if the. Calculate the energy (in joules) associated with the photons if the wavelength of the x rays is $0.154 \mathrm{nm}$. Calculate the energy (in joules) associated with the photons if the. Calculate the energy (in joules) associated with the. When Copper Is Bombarded With High Energy Electrons.
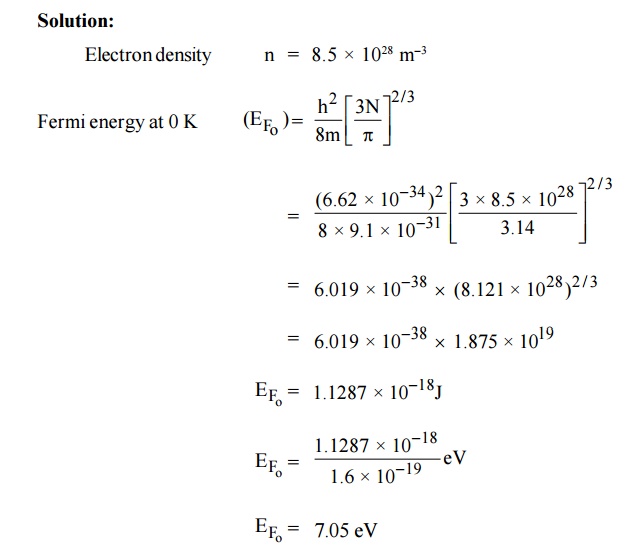
From www.brainkart.com
Solved Problems Conducting Materials When Copper Is Bombarded With High Energy Electrons Calculate the energy (in joules) associated with the photons if the. Calculate the energy (in joules) associated with the photons if the wavelength of the x rays is $0.154 \mathrm{nm}$. Calculate the energy (in joules) associated with the photons if the. Calculate the energy (in joules) associated with the photons if the. Calculate the energy (in joules) associated with the. When Copper Is Bombarded With High Energy Electrons.
From mydiagram.online
[DIAGRAM] Aufbau Diagram Copper When Copper Is Bombarded With High Energy Electrons Calculate the energy (in joules) associated with the photons if the. Calculate the energy (in joules) associated with the photons if the wavelength of the x rays is $0.154 \mathrm{nm}$. Caiculate the energy (in joules) associsted with the photons if. Calculate the energy (in joules) associated with the photons if the. Calculate the energy (in joules) associated with the photons. When Copper Is Bombarded With High Energy Electrons.
From www.numerade.com
SOLVED When copper is bombarded with highenergy electrons, Xrays are When Copper Is Bombarded With High Energy Electrons Calculate the energy (in joules) associated with the photons if the. Calculate the energy (in joules) associated with the photons if the. Calculate the energy (in joules) associated with the photons if. Calculate the energy (in joules) associated with the photons if the wavelength of the x rays is $0.154 \mathrm{nm}$. Caiculate the energy (in joules) associsted with the photons. When Copper Is Bombarded With High Energy Electrons.
From www.numerade.com
SOLVED 3. When copper is bombarded with highenergy electrons, X rays When Copper Is Bombarded With High Energy Electrons Calculate the energy (in joules) associated with the photons if the. Calculate the energy (in joules) associated with the photons if the. Caiculate the energy (in joules) associsted with the photons if. Calculate the energy (in joules) associated with the photons if. Calculate the energy (in joules) associated with the photons if the wavelength of the x rays is $0.154. When Copper Is Bombarded With High Energy Electrons.
From www.researchgate.net
Sputter yields of polycrystalline copper bombarded by N, Ne, Ar, Kr and When Copper Is Bombarded With High Energy Electrons Calculate the energy (in joules) associated with the photons if the. Calculate the energy (in joules) associated with the photons if. Calculate the energy (in joules) associated with the photons if the wavelength of the x rays is $0.154 \mathrm{nm}$. Calculate the energy (in joules) associated with the photons if the. Calculate the energy (in joules) associated with the photons. When Copper Is Bombarded With High Energy Electrons.
From slideplayer.com
Chapter 6 Electronic Structure of Atoms ppt download When Copper Is Bombarded With High Energy Electrons Calculate the energy (in joules) associated with the photons if the. Calculate the energy (in joules) associated with the photons if the. Calculate the energy (in joules) associated with the photons if the. Calculate the energy (in joules) associated with the photons if the. Calculate the energy (in joules) associated with the photons if. Caiculate the energy (in joules) associsted. When Copper Is Bombarded With High Energy Electrons.
From awesomehome.co
Copper Periodic Table Protons Neutrons And Electrons Awesome Home When Copper Is Bombarded With High Energy Electrons Calculate the energy (in joules) associated with the photons if. Calculate the energy (in joules) associated with the photons if the. Calculate the energy (in joules) associated with the photons if the. Calculate the energy (in joules) associated with the photons if the. Calculate the energy (in joules) associated with the photons if the. Caiculate the energy (in joules) associsted. When Copper Is Bombarded With High Energy Electrons.
From www.numerade.com
SOLVEDX rays with a wavelength of 1.54 ×10^10 m are produced when a When Copper Is Bombarded With High Energy Electrons Caiculate the energy (in joules) associsted with the photons if. Calculate the energy (in joules) associated with the photons if the. Calculate the energy (in joules) associated with the photons if the. Calculate the energy (in joules) associated with the photons if the wavelength of the x rays is $0.154 \mathrm{nm}$. Calculate the energy (in joules) associated with the photons. When Copper Is Bombarded With High Energy Electrons.
From www.chegg.com
Solved When copper is bombarded with high energy electrons, When Copper Is Bombarded With High Energy Electrons Calculate the energy (in joules) associated with the photons if the. Calculate the energy (in joules) associated with the photons if the. Calculate the energy (in joules) associated with the photons if the. Calculate the energy (in joules) associated with the photons if the. Caiculate the energy (in joules) associsted with the photons if. Calculate the energy (in joules) associated. When Copper Is Bombarded With High Energy Electrons.
From www.numerade.com
SOLVED When copper is bombarded with highenergy electrons, X rays are When Copper Is Bombarded With High Energy Electrons Calculate the energy (in joules) associated with the photons if the. Calculate the energy (in joules) associated with the photons if the. Calculate the energy (in joules) associated with the photons if. Calculate the energy (in joules) associated with the photons if the. Calculate the energy (in joules) associated with the photons if the. Caiculate the energy (in joules) associsted. When Copper Is Bombarded With High Energy Electrons.
From saylordotorg.github.io
Nuclear Reactions When Copper Is Bombarded With High Energy Electrons Calculate the energy (in joules) associated with the photons if the wavelength of the x rays is $0.154 \mathrm{nm}$. Caiculate the energy (in joules) associsted with the photons if. Calculate the energy (in joules) associated with the photons if. Calculate the energy (in joules) associated with the photons if the. Calculate the energy (in joules) associated with the photons if. When Copper Is Bombarded With High Energy Electrons.
From periodictable.me
How To Find A Electron Configuration For Copper Dynamic Periodic When Copper Is Bombarded With High Energy Electrons Caiculate the energy (in joules) associsted with the photons if. Calculate the energy (in joules) associated with the photons if. Calculate the energy (in joules) associated with the photons if the. Calculate the energy (in joules) associated with the photons if the. Calculate the energy (in joules) associated with the photons if the wavelength of the x rays is $0.154. When Copper Is Bombarded With High Energy Electrons.
From www.chegg.com
Solved When copper is bombarded with highenergy electrons, When Copper Is Bombarded With High Energy Electrons Caiculate the energy (in joules) associsted with the photons if. Calculate the energy (in joules) associated with the photons if the. Calculate the energy (in joules) associated with the photons if the. Calculate the energy (in joules) associated with the photons if. Calculate the energy (in joules) associated with the photons if the. Calculate the energy (in joules) associated with. When Copper Is Bombarded With High Energy Electrons.
From valenceelectrons.com
How Many Valence Electrons Does Copper (Cu) Have? When Copper Is Bombarded With High Energy Electrons Caiculate the energy (in joules) associsted with the photons if. Calculate the energy (in joules) associated with the photons if the. Calculate the energy (in joules) associated with the photons if the wavelength of the x rays is $0.154 \mathrm{nm}$. Calculate the energy (in joules) associated with the photons if the. Calculate the energy (in joules) associated with the photons. When Copper Is Bombarded With High Energy Electrons.
From www.researchgate.net
Sputter yields of polycrystalline copper bombarded by N, Ne, Ar, Kr and When Copper Is Bombarded With High Energy Electrons Calculate the energy (in joules) associated with the photons if the wavelength of the x rays is $0.154 \mathrm{nm}$. Calculate the energy (in joules) associated with the photons if the. Caiculate the energy (in joules) associsted with the photons if. Calculate the energy (in joules) associated with the photons if the. Calculate the energy (in joules) associated with the photons. When Copper Is Bombarded With High Energy Electrons.
From www.chegg.com
Solved When a certain element is bombarded with highenergy When Copper Is Bombarded With High Energy Electrons Calculate the energy (in joules) associated with the photons if the. Calculate the energy (in joules) associated with the photons if. Calculate the energy (in joules) associated with the photons if the. Calculate the energy (in joules) associated with the photons if the. Calculate the energy (in joules) associated with the photons if the. Calculate the energy (in joules) associated. When Copper Is Bombarded With High Energy Electrons.
From reviewhomedecor.co
Copper Periodic Table Electrons Review Home Decor When Copper Is Bombarded With High Energy Electrons Calculate the energy (in joules) associated with the photons if. Calculate the energy (in joules) associated with the photons if the. Calculate the energy (in joules) associated with the photons if the. Calculate the energy (in joules) associated with the photons if the. Calculate the energy (in joules) associated with the photons if the wavelength of the x rays is. When Copper Is Bombarded With High Energy Electrons.
From www.youtube.com
How to Find the Valence Electrons for Copper II Easy & Quick YouTube When Copper Is Bombarded With High Energy Electrons Calculate the energy (in joules) associated with the photons if the. Caiculate the energy (in joules) associsted with the photons if. Calculate the energy (in joules) associated with the photons if the. Calculate the energy (in joules) associated with the photons if the. Calculate the energy (in joules) associated with the photons if. Calculate the energy (in joules) associated with. When Copper Is Bombarded With High Energy Electrons.
From www.numerade.com
SOLVED '1. Uranium238 is bombarded with neutron producing neptunium When Copper Is Bombarded With High Energy Electrons Calculate the energy (in joules) associated with the photons if the. Calculate the energy (in joules) associated with the photons if the. Calculate the energy (in joules) associated with the photons if the wavelength of the x rays is $0.154 \mathrm{nm}$. Caiculate the energy (in joules) associsted with the photons if. Calculate the energy (in joules) associated with the photons. When Copper Is Bombarded With High Energy Electrons.
From www.numerade.com
SOLVED 5.(15 points) The structure on the left below represents an When Copper Is Bombarded With High Energy Electrons Caiculate the energy (in joules) associsted with the photons if. Calculate the energy (in joules) associated with the photons if the. Calculate the energy (in joules) associated with the photons if the. Calculate the energy (in joules) associated with the photons if the. Calculate the energy (in joules) associated with the photons if the wavelength of the x rays is. When Copper Is Bombarded With High Energy Electrons.
From www.dreamstime.com
Copper Atom, with Mass and Energy Levels. Stock Vector Illustration When Copper Is Bombarded With High Energy Electrons Calculate the energy (in joules) associated with the photons if the wavelength of the x rays is $0.154 \mathrm{nm}$. Calculate the energy (in joules) associated with the photons if the. Calculate the energy (in joules) associated with the photons if. Calculate the energy (in joules) associated with the photons if the. Calculate the energy (in joules) associated with the photons. When Copper Is Bombarded With High Energy Electrons.
From www.earthdate.org
Copper’s Superpower EarthDate When Copper Is Bombarded With High Energy Electrons Calculate the energy (in joules) associated with the photons if the. Calculate the energy (in joules) associated with the photons if the wavelength of the x rays is $0.154 \mathrm{nm}$. Calculate the energy (in joules) associated with the photons if. Calculate the energy (in joules) associated with the photons if the. Caiculate the energy (in joules) associsted with the photons. When Copper Is Bombarded With High Energy Electrons.
From www.numerade.com
SOLVED 5. When copper is bombarded with highenergy electrons, Xrays When Copper Is Bombarded With High Energy Electrons Calculate the energy (in joules) associated with the photons if the. Calculate the energy (in joules) associated with the photons if the. Calculate the energy (in joules) associated with the photons if the. Calculate the energy (in joules) associated with the photons if. Calculate the energy (in joules) associated with the photons if the wavelength of the x rays is. When Copper Is Bombarded With High Energy Electrons.
From www.chegg.com
Solved When copper is bombarded with highenergy electrons, When Copper Is Bombarded With High Energy Electrons Calculate the energy (in joules) associated with the photons if the. Caiculate the energy (in joules) associsted with the photons if. Calculate the energy (in joules) associated with the photons if the. Calculate the energy (in joules) associated with the photons if the wavelength of the x rays is $0.154 \mathrm{nm}$. Calculate the energy (in joules) associated with the photons. When Copper Is Bombarded With High Energy Electrons.
From ar.inspiredpencil.com
Orbital Diagram For Copper When Copper Is Bombarded With High Energy Electrons Calculate the energy (in joules) associated with the photons if the. Calculate the energy (in joules) associated with the photons if. Calculate the energy (in joules) associated with the photons if the. Calculate the energy (in joules) associated with the photons if the. Calculate the energy (in joules) associated with the photons if the wavelength of the x rays is. When Copper Is Bombarded With High Energy Electrons.
From howtomechatronics.com
What is Electric Charge and How Electricity Works How To Mechatronics When Copper Is Bombarded With High Energy Electrons Calculate the energy (in joules) associated with the photons if the. Calculate the energy (in joules) associated with the photons if the wavelength of the x rays is $0.154 \mathrm{nm}$. Calculate the energy (in joules) associated with the photons if the. Caiculate the energy (in joules) associsted with the photons if. Calculate the energy (in joules) associated with the photons. When Copper Is Bombarded With High Energy Electrons.
From www.alamy.com
Symbol and electron diagram for Copper illustration Stock Vector Image When Copper Is Bombarded With High Energy Electrons Calculate the energy (in joules) associated with the photons if the. Calculate the energy (in joules) associated with the photons if the. Calculate the energy (in joules) associated with the photons if. Caiculate the energy (in joules) associsted with the photons if. Calculate the energy (in joules) associated with the photons if the wavelength of the x rays is $0.154. When Copper Is Bombarded With High Energy Electrons.
From exoqeoeav.blob.core.windows.net
Copper Electrons Radio at Katherine Humphrey blog When Copper Is Bombarded With High Energy Electrons Calculate the energy (in joules) associated with the photons if the. Calculate the energy (in joules) associated with the photons if the wavelength of the x rays is $0.154 \mathrm{nm}$. Calculate the energy (in joules) associated with the photons if the. Calculate the energy (in joules) associated with the photons if. Calculate the energy (in joules) associated with the photons. When Copper Is Bombarded With High Energy Electrons.