Quail Valley Hoa Rules . Quail valley hoa is a community located in thornton, co (adams county). Below is a list of information we hope you find helpful in navigating our new website and utilizing all of the features we've made available. Below you can find information for the homeowners association. This element of unfamiliarity is sometimes reinforced by realtors' claims. The guidelines outline what would or would not be allowed in the neighborhood. The quail valley board of directors is looking for homeowners who are interested in serving on the board or on association committees. This folder contains information that you need to. Many homeowners in quail valley are new to the idea of belonging to a homeowners association (hoa).
from www.behance.net
Quail valley hoa is a community located in thornton, co (adams county). Below is a list of information we hope you find helpful in navigating our new website and utilizing all of the features we've made available. Below you can find information for the homeowners association. Many homeowners in quail valley are new to the idea of belonging to a homeowners association (hoa). This element of unfamiliarity is sometimes reinforced by realtors' claims. The quail valley board of directors is looking for homeowners who are interested in serving on the board or on association committees. This folder contains information that you need to. The guidelines outline what would or would not be allowed in the neighborhood.
Quail Valley Utility District Brand Practice on Behance
Quail Valley Hoa Rules Below you can find information for the homeowners association. The guidelines outline what would or would not be allowed in the neighborhood. This element of unfamiliarity is sometimes reinforced by realtors' claims. This folder contains information that you need to. Below is a list of information we hope you find helpful in navigating our new website and utilizing all of the features we've made available. Below you can find information for the homeowners association. Quail valley hoa is a community located in thornton, co (adams county). Many homeowners in quail valley are new to the idea of belonging to a homeowners association (hoa). The quail valley board of directors is looking for homeowners who are interested in serving on the board or on association committees.
From www.visionrealty.com
What Rules are Columbus HOAs Allowed to Enforce? Quail Valley Hoa Rules This element of unfamiliarity is sometimes reinforced by realtors' claims. Below you can find information for the homeowners association. Quail valley hoa is a community located in thornton, co (adams county). Below is a list of information we hope you find helpful in navigating our new website and utilizing all of the features we've made available. The guidelines outline what. Quail Valley Hoa Rules.
From my-rcm.com
Yes, HOA Trash Can Rules are Legal Here’s Why Quail Valley Hoa Rules This folder contains information that you need to. Quail valley hoa is a community located in thornton, co (adams county). This element of unfamiliarity is sometimes reinforced by realtors' claims. Below you can find information for the homeowners association. The guidelines outline what would or would not be allowed in the neighborhood. Many homeowners in quail valley are new to. Quail Valley Hoa Rules.
From getasiteplan.com
HOA rules, regulations, restrictions and CC&Rs GetASitePlan Quail Valley Hoa Rules Quail valley hoa is a community located in thornton, co (adams county). The guidelines outline what would or would not be allowed in the neighborhood. Many homeowners in quail valley are new to the idea of belonging to a homeowners association (hoa). This element of unfamiliarity is sometimes reinforced by realtors' claims. The quail valley board of directors is looking. Quail Valley Hoa Rules.
From hoa-bend.com
Quail Crossing HOA Management Quail Valley Hoa Rules This folder contains information that you need to. The guidelines outline what would or would not be allowed in the neighborhood. Many homeowners in quail valley are new to the idea of belonging to a homeowners association (hoa). Below is a list of information we hope you find helpful in navigating our new website and utilizing all of the features. Quail Valley Hoa Rules.
From lifetimehoamanagement.com
Understanding HOA Rules and Regulations Lifetime a HOA Management Quail Valley Hoa Rules This folder contains information that you need to. This element of unfamiliarity is sometimes reinforced by realtors' claims. The guidelines outline what would or would not be allowed in the neighborhood. Many homeowners in quail valley are new to the idea of belonging to a homeowners association (hoa). Below you can find information for the homeowners association. Below is a. Quail Valley Hoa Rules.
From www.wildapricot.com
16 HOA Rules and Regulations You Need to Know + Real Examples WildApricot Quail Valley Hoa Rules Below is a list of information we hope you find helpful in navigating our new website and utilizing all of the features we've made available. The guidelines outline what would or would not be allowed in the neighborhood. This folder contains information that you need to. Many homeowners in quail valley are new to the idea of belonging to a. Quail Valley Hoa Rules.
From www.quailcreek.org
Security Quail Creek HOA Quail Valley Hoa Rules The quail valley board of directors is looking for homeowners who are interested in serving on the board or on association committees. Below you can find information for the homeowners association. Below is a list of information we hope you find helpful in navigating our new website and utilizing all of the features we've made available. This element of unfamiliarity. Quail Valley Hoa Rules.
From www.change.org
Petition · Stop the Unjustified Increase of HOA Fees in Quail Forest Quail Valley Hoa Rules The quail valley board of directors is looking for homeowners who are interested in serving on the board or on association committees. The guidelines outline what would or would not be allowed in the neighborhood. Below you can find information for the homeowners association. This folder contains information that you need to. Quail valley hoa is a community located in. Quail Valley Hoa Rules.
From www.condocontrol.com
Times Change Why HOA Amendments Matter Condo Control Quail Valley Hoa Rules Many homeowners in quail valley are new to the idea of belonging to a homeowners association (hoa). Below you can find information for the homeowners association. This folder contains information that you need to. Below is a list of information we hope you find helpful in navigating our new website and utilizing all of the features we've made available. The. Quail Valley Hoa Rules.
From www.behance.net
Quail Valley Utility District Brand Practice on Behance Quail Valley Hoa Rules Quail valley hoa is a community located in thornton, co (adams county). This folder contains information that you need to. This element of unfamiliarity is sometimes reinforced by realtors' claims. The quail valley board of directors is looking for homeowners who are interested in serving on the board or on association committees. The guidelines outline what would or would not. Quail Valley Hoa Rules.
From www.unitypm.com
5 Simple Steps on How to Enforce HOA Rules and Regulations — Unity, Inc. Quail Valley Hoa Rules This element of unfamiliarity is sometimes reinforced by realtors' claims. Below is a list of information we hope you find helpful in navigating our new website and utilizing all of the features we've made available. The quail valley board of directors is looking for homeowners who are interested in serving on the board or on association committees. The guidelines outline. Quail Valley Hoa Rules.
From silverhomestead.com
Quail Are Allowed by Your HOA Silver Homestead Quail Valley Hoa Rules This folder contains information that you need to. Many homeowners in quail valley are new to the idea of belonging to a homeowners association (hoa). The quail valley board of directors is looking for homeowners who are interested in serving on the board or on association committees. Below you can find information for the homeowners association. Quail valley hoa is. Quail Valley Hoa Rules.
From investguiding.com
What Is a Homeowners Association (HOA) and How Does It Work? (2024) Quail Valley Hoa Rules The quail valley board of directors is looking for homeowners who are interested in serving on the board or on association committees. The guidelines outline what would or would not be allowed in the neighborhood. Many homeowners in quail valley are new to the idea of belonging to a homeowners association (hoa). Below you can find information for the homeowners. Quail Valley Hoa Rules.
From www.youtube.com
Historical Monument The Community of Quail Valley YouTube Quail Valley Hoa Rules Quail valley hoa is a community located in thornton, co (adams county). The quail valley board of directors is looking for homeowners who are interested in serving on the board or on association committees. Many homeowners in quail valley are new to the idea of belonging to a homeowners association (hoa). This folder contains information that you need to. The. Quail Valley Hoa Rules.
From www.allpropertymanagement.com
HOA Management 101 A Guide for HOA Board Members APM Quail Valley Hoa Rules Many homeowners in quail valley are new to the idea of belonging to a homeowners association (hoa). Quail valley hoa is a community located in thornton, co (adams county). The quail valley board of directors is looking for homeowners who are interested in serving on the board or on association committees. Below you can find information for the homeowners association.. Quail Valley Hoa Rules.
From www.quailcreekhoa.org
Home Quail Creek HOA Quail Valley Hoa Rules Below you can find information for the homeowners association. The quail valley board of directors is looking for homeowners who are interested in serving on the board or on association committees. This element of unfamiliarity is sometimes reinforced by realtors' claims. Below is a list of information we hope you find helpful in navigating our new website and utilizing all. Quail Valley Hoa Rules.
From www.pinterest.com
4 Reasons Why Quail Valley is a Timeless Community Valley, Quail Quail Valley Hoa Rules Many homeowners in quail valley are new to the idea of belonging to a homeowners association (hoa). This folder contains information that you need to. The quail valley board of directors is looking for homeowners who are interested in serving on the board or on association committees. This element of unfamiliarity is sometimes reinforced by realtors' claims. Below is a. Quail Valley Hoa Rules.
From drive.google.com
CRCW HOA Rules and Regulations for Vehicles.pdf Google Drive Quail Valley Hoa Rules The guidelines outline what would or would not be allowed in the neighborhood. Many homeowners in quail valley are new to the idea of belonging to a homeowners association (hoa). This folder contains information that you need to. Below is a list of information we hope you find helpful in navigating our new website and utilizing all of the features. Quail Valley Hoa Rules.
From www.scribd.com
Construction Guidelines & HOA Rules and Regulations PDF PDF Lease Pet Quail Valley Hoa Rules The guidelines outline what would or would not be allowed in the neighborhood. Below is a list of information we hope you find helpful in navigating our new website and utilizing all of the features we've made available. Quail valley hoa is a community located in thornton, co (adams county). Below you can find information for the homeowners association. This. Quail Valley Hoa Rules.
From www.behance.net
Quail Valley Utility District Brand Practice on Behance Quail Valley Hoa Rules Below is a list of information we hope you find helpful in navigating our new website and utilizing all of the features we've made available. This folder contains information that you need to. Many homeowners in quail valley are new to the idea of belonging to a homeowners association (hoa). This element of unfamiliarity is sometimes reinforced by realtors' claims.. Quail Valley Hoa Rules.
From www.quailvalleyop.com
Quail Valley Homes Association Quail Valley Hoa Rules The guidelines outline what would or would not be allowed in the neighborhood. The quail valley board of directors is looking for homeowners who are interested in serving on the board or on association committees. Many homeowners in quail valley are new to the idea of belonging to a homeowners association (hoa). Below is a list of information we hope. Quail Valley Hoa Rules.
From www.michianahomesandland.com
Quail Valley Quail Valley Hoa Rules Quail valley hoa is a community located in thornton, co (adams county). This element of unfamiliarity is sometimes reinforced by realtors' claims. This folder contains information that you need to. Below you can find information for the homeowners association. Many homeowners in quail valley are new to the idea of belonging to a homeowners association (hoa). The guidelines outline what. Quail Valley Hoa Rules.
From www.scribd.com
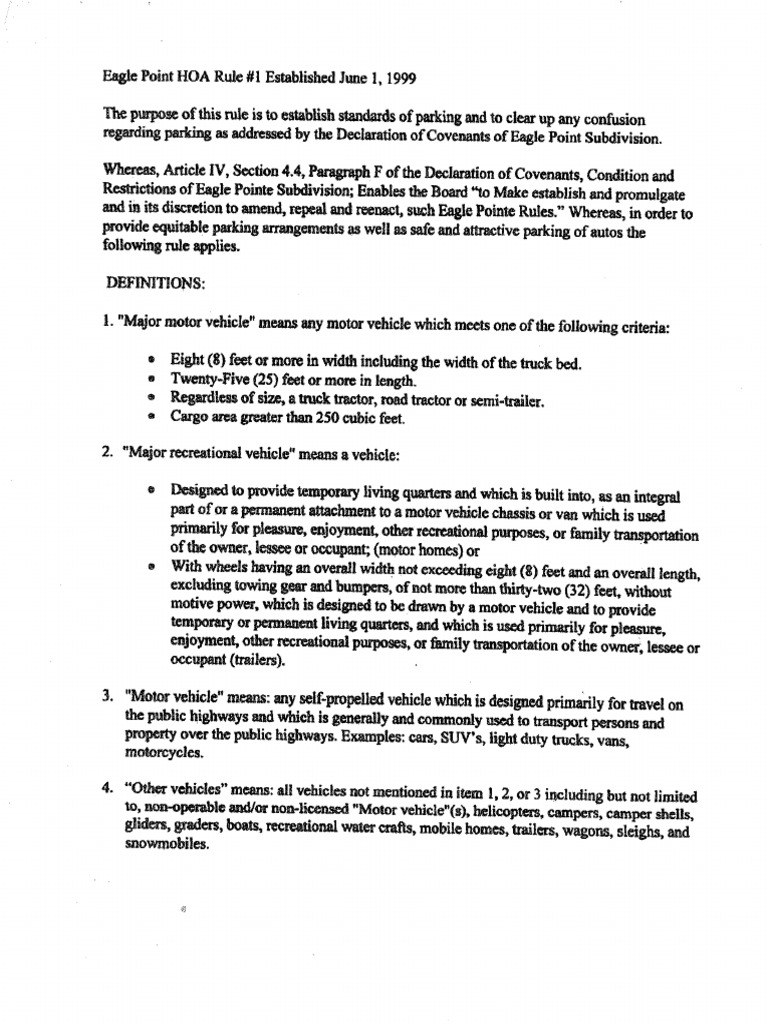
Eagle Point Hoa Rules PDF Quail Valley Hoa Rules The guidelines outline what would or would not be allowed in the neighborhood. The quail valley board of directors is looking for homeowners who are interested in serving on the board or on association committees. Many homeowners in quail valley are new to the idea of belonging to a homeowners association (hoa). Quail valley hoa is a community located in. Quail Valley Hoa Rules.
From kuester.com
What Should Homeowners Know About HOA Backyard Rules? Kuester Quail Valley Hoa Rules This element of unfamiliarity is sometimes reinforced by realtors' claims. Below you can find information for the homeowners association. Below is a list of information we hope you find helpful in navigating our new website and utilizing all of the features we've made available. The guidelines outline what would or would not be allowed in the neighborhood. Quail valley hoa. Quail Valley Hoa Rules.
From www.youtube.com
How do the HOA rules relate to the other governing documents? YouTube Quail Valley Hoa Rules Many homeowners in quail valley are new to the idea of belonging to a homeowners association (hoa). This element of unfamiliarity is sometimes reinforced by realtors' claims. Below is a list of information we hope you find helpful in navigating our new website and utilizing all of the features we've made available. The guidelines outline what would or would not. Quail Valley Hoa Rules.
From www.cacaponinstitute.org
Quail Ridge HOA Spring 2021 Cacapon Institute Quail Valley Hoa Rules Quail valley hoa is a community located in thornton, co (adams county). This folder contains information that you need to. Below is a list of information we hope you find helpful in navigating our new website and utilizing all of the features we've made available. This element of unfamiliarity is sometimes reinforced by realtors' claims. The guidelines outline what would. Quail Valley Hoa Rules.
From www.homedit.com
What to Know About Unenforceable HOA Rules Quail Valley Hoa Rules Below you can find information for the homeowners association. Quail valley hoa is a community located in thornton, co (adams county). This element of unfamiliarity is sometimes reinforced by realtors' claims. The quail valley board of directors is looking for homeowners who are interested in serving on the board or on association committees. This folder contains information that you need. Quail Valley Hoa Rules.
From www.facebook.com
to the Quail Valley Church of Christ! Open Your Bibles and Quail Valley Hoa Rules The quail valley board of directors is looking for homeowners who are interested in serving on the board or on association committees. Below is a list of information we hope you find helpful in navigating our new website and utilizing all of the features we've made available. This folder contains information that you need to. This element of unfamiliarity is. Quail Valley Hoa Rules.
From original.newsbreak.com
What Regulations Are Normal When Buying Into an HOA in Massachusetts Quail Valley Hoa Rules Many homeowners in quail valley are new to the idea of belonging to a homeowners association (hoa). This element of unfamiliarity is sometimes reinforced by realtors' claims. Quail valley hoa is a community located in thornton, co (adams county). The guidelines outline what would or would not be allowed in the neighborhood. This folder contains information that you need to.. Quail Valley Hoa Rules.
From www.crexi.com
4384 Quail Valley Rd, Kountze, TX 77625 Quail Valley Hoa Rules This element of unfamiliarity is sometimes reinforced by realtors' claims. The quail valley board of directors is looking for homeowners who are interested in serving on the board or on association committees. Below you can find information for the homeowners association. Many homeowners in quail valley are new to the idea of belonging to a homeowners association (hoa). Quail valley. Quail Valley Hoa Rules.
From quailvalleyrvpark.com
About Us Quail Valley Association Quail Valley Hoa Rules This element of unfamiliarity is sometimes reinforced by realtors' claims. The guidelines outline what would or would not be allowed in the neighborhood. Quail valley hoa is a community located in thornton, co (adams county). The quail valley board of directors is looking for homeowners who are interested in serving on the board or on association committees. Below you can. Quail Valley Hoa Rules.
From www.quailvalleyop.com
Quail Valley Homes Association Quail Valley Hoa Rules The guidelines outline what would or would not be allowed in the neighborhood. This element of unfamiliarity is sometimes reinforced by realtors' claims. This folder contains information that you need to. Below you can find information for the homeowners association. Quail valley hoa is a community located in thornton, co (adams county). The quail valley board of directors is looking. Quail Valley Hoa Rules.
From www.quailvalleyfund.org
Utilities Quail Valley Fund Quail Valley Hoa Rules The guidelines outline what would or would not be allowed in the neighborhood. Below is a list of information we hope you find helpful in navigating our new website and utilizing all of the features we've made available. This folder contains information that you need to. This element of unfamiliarity is sometimes reinforced by realtors' claims. Quail valley hoa is. Quail Valley Hoa Rules.
From assocmc.com
Deciphering HOA Rules and Governance Association Management Concepts Quail Valley Hoa Rules Below you can find information for the homeowners association. The quail valley board of directors is looking for homeowners who are interested in serving on the board or on association committees. This folder contains information that you need to. Many homeowners in quail valley are new to the idea of belonging to a homeowners association (hoa). The guidelines outline what. Quail Valley Hoa Rules.
From www.habitat4humanity.org
HOA Rules Habitat for Humanity of Lee & Hendry Counties, Inc. Quail Valley Hoa Rules This folder contains information that you need to. Below is a list of information we hope you find helpful in navigating our new website and utilizing all of the features we've made available. The guidelines outline what would or would not be allowed in the neighborhood. Quail valley hoa is a community located in thornton, co (adams county). Many homeowners. Quail Valley Hoa Rules.