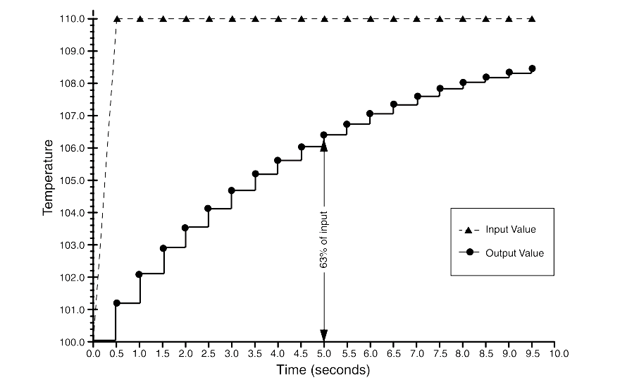
What Is Damping Time In Transmitter . The pv damping command of a transmitter changes the response time of the transmitter to smooth variations in output readings caused by rapid changes in input. The damping of transmitters can be adjusted from 1 to Damping is the amount of time required, in addition to the update time, for the output of the transmitter to reach 63.2% of its final value after a step change has been applied to the input. Determine the appropriate damping setting based on the necessary response time, signal stability, and other requirements of the loop dynamics of the system. Chatering is when the output signal has small but rapid. The majority of advanced process transmitters, both analog and digital, are comes with a feature called damping. This is done to keep the transmiter from “chatering”. Damping is a seting that allow the customer to increase the dead time of the transmiter. The vast majority of modern process transmitters (both analog and digital) come equipped with a feature known as damping. Software damping all yokogawa transmitters have a software dampingfunction to extend the ert of the transmitter. Damping is the amount of time required to reach 63.2 percent of the transmitter’s final value after a step change has been applied to the input, in addition to the update time. This feature is essentially a low. The vast majority of modern field transmitters (both analog and digital) come equipped with a feature known as damping.
from control.com
Damping is the amount of time required, in addition to the update time, for the output of the transmitter to reach 63.2% of its final value after a step change has been applied to the input. The pv damping command of a transmitter changes the response time of the transmitter to smooth variations in output readings caused by rapid changes in input. The vast majority of modern process transmitters (both analog and digital) come equipped with a feature known as damping. Software damping all yokogawa transmitters have a software dampingfunction to extend the ert of the transmitter. Damping is a seting that allow the customer to increase the dead time of the transmiter. Damping is the amount of time required to reach 63.2 percent of the transmitter’s final value after a step change has been applied to the input, in addition to the update time. Chatering is when the output signal has small but rapid. The damping of transmitters can be adjusted from 1 to This is done to keep the transmiter from “chatering”. Determine the appropriate damping setting based on the necessary response time, signal stability, and other requirements of the loop dynamics of the system.
Transmitter Damping Adjustments Basic Principles of Instrument
What Is Damping Time In Transmitter This is done to keep the transmiter from “chatering”. Chatering is when the output signal has small but rapid. This feature is essentially a low. This is done to keep the transmiter from “chatering”. Damping is the amount of time required, in addition to the update time, for the output of the transmitter to reach 63.2% of its final value after a step change has been applied to the input. Damping is a seting that allow the customer to increase the dead time of the transmiter. The majority of advanced process transmitters, both analog and digital, are comes with a feature called damping. Damping is the amount of time required to reach 63.2 percent of the transmitter’s final value after a step change has been applied to the input, in addition to the update time. Determine the appropriate damping setting based on the necessary response time, signal stability, and other requirements of the loop dynamics of the system. The damping of transmitters can be adjusted from 1 to The vast majority of modern process transmitters (both analog and digital) come equipped with a feature known as damping. The vast majority of modern field transmitters (both analog and digital) come equipped with a feature known as damping. The pv damping command of a transmitter changes the response time of the transmitter to smooth variations in output readings caused by rapid changes in input. Software damping all yokogawa transmitters have a software dampingfunction to extend the ert of the transmitter.
From control.com
Transmitter Damping Adjustments Basic Principles of Instrument What Is Damping Time In Transmitter Damping is the amount of time required, in addition to the update time, for the output of the transmitter to reach 63.2% of its final value after a step change has been applied to the input. Chatering is when the output signal has small but rapid. The vast majority of modern field transmitters (both analog and digital) come equipped with. What Is Damping Time In Transmitter.
From www.fizzics.org
Resonance and damping explanatory notes and diagrams What Is Damping Time In Transmitter The vast majority of modern process transmitters (both analog and digital) come equipped with a feature known as damping. The pv damping command of a transmitter changes the response time of the transmitter to smooth variations in output readings caused by rapid changes in input. Chatering is when the output signal has small but rapid. Damping is a seting that. What Is Damping Time In Transmitter.
From www.researchgate.net
(a) Real part of the frequency and (b) damping time (i.e., inverse of What Is Damping Time In Transmitter The damping of transmitters can be adjusted from 1 to Damping is the amount of time required to reach 63.2 percent of the transmitter’s final value after a step change has been applied to the input, in addition to the update time. The vast majority of modern process transmitters (both analog and digital) come equipped with a feature known as. What Is Damping Time In Transmitter.
From www.slideserve.com
PPT Damped Oscillations PowerPoint Presentation, free download ID What Is Damping Time In Transmitter The vast majority of modern field transmitters (both analog and digital) come equipped with a feature known as damping. The majority of advanced process transmitters, both analog and digital, are comes with a feature called damping. Determine the appropriate damping setting based on the necessary response time, signal stability, and other requirements of the loop dynamics of the system. The. What Is Damping Time In Transmitter.
From www.semanticscholar.org
Figure 2 from Self‐Switching Damping Circuit for Reducing Transmitter What Is Damping Time In Transmitter The damping of transmitters can be adjusted from 1 to Damping is the amount of time required, in addition to the update time, for the output of the transmitter to reach 63.2% of its final value after a step change has been applied to the input. This is done to keep the transmiter from “chatering”. The vast majority of modern. What Is Damping Time In Transmitter.
From www.electricalengineeringinfo.com
Damping Torques & types in Indicating Measuring Instruments What Is Damping Time In Transmitter Chatering is when the output signal has small but rapid. The majority of advanced process transmitters, both analog and digital, are comes with a feature called damping. Software damping all yokogawa transmitters have a software dampingfunction to extend the ert of the transmitter. This feature is essentially a low. Damping is the amount of time required, in addition to the. What Is Damping Time In Transmitter.
From www.toppr.com
Damped Simple Harmonic Motion Definition, Expression, Example, Video What Is Damping Time In Transmitter Damping is the amount of time required, in addition to the update time, for the output of the transmitter to reach 63.2% of its final value after a step change has been applied to the input. Determine the appropriate damping setting based on the necessary response time, signal stability, and other requirements of the loop dynamics of the system. Chatering. What Is Damping Time In Transmitter.
From studylib.net
Damped Simple Harmonic Motion What Is Damping Time In Transmitter The pv damping command of a transmitter changes the response time of the transmitter to smooth variations in output readings caused by rapid changes in input. The damping of transmitters can be adjusted from 1 to Chatering is when the output signal has small but rapid. The vast majority of modern process transmitters (both analog and digital) come equipped with. What Is Damping Time In Transmitter.
From exoytqgls.blob.core.windows.net
Damping Meaning In Physics at Ruby Sipple blog What Is Damping Time In Transmitter The majority of advanced process transmitters, both analog and digital, are comes with a feature called damping. Chatering is when the output signal has small but rapid. The damping of transmitters can be adjusted from 1 to Damping is the amount of time required to reach 63.2 percent of the transmitter’s final value after a step change has been applied. What Is Damping Time In Transmitter.
From www.slideserve.com
PPT Lesson 1 Oscillations PowerPoint Presentation, free download What Is Damping Time In Transmitter The vast majority of modern field transmitters (both analog and digital) come equipped with a feature known as damping. Chatering is when the output signal has small but rapid. The majority of advanced process transmitters, both analog and digital, are comes with a feature called damping. This is done to keep the transmiter from “chatering”. Damping is the amount of. What Is Damping Time In Transmitter.
From www.chegg.com
The second order force measurement system damping What Is Damping Time In Transmitter The damping of transmitters can be adjusted from 1 to The vast majority of modern process transmitters (both analog and digital) come equipped with a feature known as damping. Damping is the amount of time required to reach 63.2 percent of the transmitter’s final value after a step change has been applied to the input, in addition to the update. What Is Damping Time In Transmitter.
From www.researchgate.net
Measured scattering damping time τ s . Download Scientific Diagram What Is Damping Time In Transmitter This is done to keep the transmiter from “chatering”. This feature is essentially a low. The vast majority of modern process transmitters (both analog and digital) come equipped with a feature known as damping. The vast majority of modern field transmitters (both analog and digital) come equipped with a feature known as damping. Damping is the amount of time required,. What Is Damping Time In Transmitter.
From www.damping.com
What Is Damping? Damping Technologies Inc. What Is Damping Time In Transmitter Damping is the amount of time required to reach 63.2 percent of the transmitter’s final value after a step change has been applied to the input, in addition to the update time. The damping of transmitters can be adjusted from 1 to The pv damping command of a transmitter changes the response time of the transmitter to smooth variations in. What Is Damping Time In Transmitter.
From www.researchgate.net
1 Comparison of linear and damping (a) Relative motion What Is Damping Time In Transmitter Damping is the amount of time required to reach 63.2 percent of the transmitter’s final value after a step change has been applied to the input, in addition to the update time. Chatering is when the output signal has small but rapid. Software damping all yokogawa transmitters have a software dampingfunction to extend the ert of the transmitter. The damping. What Is Damping Time In Transmitter.
From www.youtube.com
What is the damping factor of an amplifier? YouTube What Is Damping Time In Transmitter Chatering is when the output signal has small but rapid. Software damping all yokogawa transmitters have a software dampingfunction to extend the ert of the transmitter. This feature is essentially a low. Damping is the amount of time required to reach 63.2 percent of the transmitter’s final value after a step change has been applied to the input, in addition. What Is Damping Time In Transmitter.
From cevdhmkd.blob.core.windows.net
Critical Damping Definition Physics at Deborah Hess blog What Is Damping Time In Transmitter Damping is a seting that allow the customer to increase the dead time of the transmiter. Chatering is when the output signal has small but rapid. The pv damping command of a transmitter changes the response time of the transmitter to smooth variations in output readings caused by rapid changes in input. This is done to keep the transmiter from. What Is Damping Time In Transmitter.
From control.com
Transmitter Damping Adjustments Basic Principles of Instrument What Is Damping Time In Transmitter The vast majority of modern process transmitters (both analog and digital) come equipped with a feature known as damping. The vast majority of modern field transmitters (both analog and digital) come equipped with a feature known as damping. This feature is essentially a low. The damping of transmitters can be adjusted from 1 to Determine the appropriate damping setting based. What Is Damping Time In Transmitter.
From cevdhmkd.blob.core.windows.net
Critical Damping Definition Physics at Deborah Hess blog What Is Damping Time In Transmitter Damping is the amount of time required to reach 63.2 percent of the transmitter’s final value after a step change has been applied to the input, in addition to the update time. Determine the appropriate damping setting based on the necessary response time, signal stability, and other requirements of the loop dynamics of the system. This feature is essentially a. What Is Damping Time In Transmitter.
From www.structuralguide.com
Critical Damping Coefficient A Comprehensive Guide Structural Guide What Is Damping Time In Transmitter The majority of advanced process transmitters, both analog and digital, are comes with a feature called damping. Damping is a seting that allow the customer to increase the dead time of the transmiter. Determine the appropriate damping setting based on the necessary response time, signal stability, and other requirements of the loop dynamics of the system. The damping of transmitters. What Is Damping Time In Transmitter.
From www.researchgate.net
Illustration of frequency, damping, and amplitude on a fluctuating What Is Damping Time In Transmitter Damping is the amount of time required to reach 63.2 percent of the transmitter’s final value after a step change has been applied to the input, in addition to the update time. The damping of transmitters can be adjusted from 1 to Damping is the amount of time required, in addition to the update time, for the output of the. What Is Damping Time In Transmitter.
From instrumentationtools.com
What is Field Transmitter Damping ? Inst Tools What Is Damping Time In Transmitter The vast majority of modern process transmitters (both analog and digital) come equipped with a feature known as damping. Damping is the amount of time required to reach 63.2 percent of the transmitter’s final value after a step change has been applied to the input, in addition to the update time. The pv damping command of a transmitter changes the. What Is Damping Time In Transmitter.
From www.physics.louisville.edu
Damped Oscillations, Forced Oscillations and Resonance Physics 298 What Is Damping Time In Transmitter Chatering is when the output signal has small but rapid. Software damping all yokogawa transmitters have a software dampingfunction to extend the ert of the transmitter. Damping is a seting that allow the customer to increase the dead time of the transmiter. Determine the appropriate damping setting based on the necessary response time, signal stability, and other requirements of the. What Is Damping Time In Transmitter.
From derangedphysiology.com
Resonance, damping and frequency response Deranged Physiology What Is Damping Time In Transmitter Damping is a seting that allow the customer to increase the dead time of the transmiter. Damping is the amount of time required, in addition to the update time, for the output of the transmitter to reach 63.2% of its final value after a step change has been applied to the input. This is done to keep the transmiter from. What Is Damping Time In Transmitter.
From instrumentationtools.com
Process Variable Damping of Transmitter InstrumentationTools What Is Damping Time In Transmitter Damping is the amount of time required to reach 63.2 percent of the transmitter’s final value after a step change has been applied to the input, in addition to the update time. The vast majority of modern process transmitters (both analog and digital) come equipped with a feature known as damping. The majority of advanced process transmitters, both analog and. What Is Damping Time In Transmitter.
From www.researchgate.net
Firstmode damping ratio ξ 1 of the transmitter inside transparent soil What Is Damping Time In Transmitter This feature is essentially a low. The vast majority of modern field transmitters (both analog and digital) come equipped with a feature known as damping. The vast majority of modern process transmitters (both analog and digital) come equipped with a feature known as damping. Software damping all yokogawa transmitters have a software dampingfunction to extend the ert of the transmitter.. What Is Damping Time In Transmitter.
From byjus.com
What is damping and its types? What Is Damping Time In Transmitter Determine the appropriate damping setting based on the necessary response time, signal stability, and other requirements of the loop dynamics of the system. The vast majority of modern process transmitters (both analog and digital) come equipped with a feature known as damping. The vast majority of modern field transmitters (both analog and digital) come equipped with a feature known as. What Is Damping Time In Transmitter.
From eduinput.com
Damped OscillationDefinition And Types What Is Damping Time In Transmitter The vast majority of modern process transmitters (both analog and digital) come equipped with a feature known as damping. The vast majority of modern field transmitters (both analog and digital) come equipped with a feature known as damping. Damping is a seting that allow the customer to increase the dead time of the transmiter. Damping is the amount of time. What Is Damping Time In Transmitter.
From www.researchgate.net
Damping ratio for first mode of vibration of the transmitter in What Is Damping Time In Transmitter Damping is the amount of time required to reach 63.2 percent of the transmitter’s final value after a step change has been applied to the input, in addition to the update time. Damping is a seting that allow the customer to increase the dead time of the transmiter. The majority of advanced process transmitters, both analog and digital, are comes. What Is Damping Time In Transmitter.
From www.circuitbread.com
Second Order Systems 2.3 Electronics Tutorials CircuitBread What Is Damping Time In Transmitter Software damping all yokogawa transmitters have a software dampingfunction to extend the ert of the transmitter. This feature is essentially a low. Determine the appropriate damping setting based on the necessary response time, signal stability, and other requirements of the loop dynamics of the system. Damping is a seting that allow the customer to increase the dead time of the. What Is Damping Time In Transmitter.
From derangedphysiology.com
Resonance, damping and frequency response Deranged Physiology What Is Damping Time In Transmitter The damping of transmitters can be adjusted from 1 to Software damping all yokogawa transmitters have a software dampingfunction to extend the ert of the transmitter. Damping is the amount of time required to reach 63.2 percent of the transmitter’s final value after a step change has been applied to the input, in addition to the update time. Chatering is. What Is Damping Time In Transmitter.
From exoaltcto.blob.core.windows.net
How To Calculate Damping Ratio From Transfer Function at Carl Farr blog What Is Damping Time In Transmitter The vast majority of modern process transmitters (both analog and digital) come equipped with a feature known as damping. This is done to keep the transmiter from “chatering”. This feature is essentially a low. The damping of transmitters can be adjusted from 1 to The pv damping command of a transmitter changes the response time of the transmitter to smooth. What Is Damping Time In Transmitter.
From www.researchgate.net
Time history results with high vertical damping and low torsional What Is Damping Time In Transmitter This is done to keep the transmiter from “chatering”. The damping of transmitters can be adjusted from 1 to Software damping all yokogawa transmitters have a software dampingfunction to extend the ert of the transmitter. The vast majority of modern process transmitters (both analog and digital) come equipped with a feature known as damping. This feature is essentially a low.. What Is Damping Time In Transmitter.
From www.youtube.com
How to Find Natural Frequency & Damping Ratio From Transfer Function What Is Damping Time In Transmitter This feature is essentially a low. Software damping all yokogawa transmitters have a software dampingfunction to extend the ert of the transmitter. Damping is a seting that allow the customer to increase the dead time of the transmiter. The vast majority of modern field transmitters (both analog and digital) come equipped with a feature known as damping. Determine the appropriate. What Is Damping Time In Transmitter.
From www.youtube.com
Lecture 4 EQUATION OF MOTION FOR VISCOUS DAMPING Part 2 [ Structural What Is Damping Time In Transmitter The majority of advanced process transmitters, both analog and digital, are comes with a feature called damping. The vast majority of modern process transmitters (both analog and digital) come equipped with a feature known as damping. This feature is essentially a low. The damping of transmitters can be adjusted from 1 to Determine the appropriate damping setting based on the. What Is Damping Time In Transmitter.
From www.researchgate.net
The incremental narrowband time history of 5 damping ratio and 0.3 Hz What Is Damping Time In Transmitter Determine the appropriate damping setting based on the necessary response time, signal stability, and other requirements of the loop dynamics of the system. This is done to keep the transmiter from “chatering”. Chatering is when the output signal has small but rapid. Damping is the amount of time required to reach 63.2 percent of the transmitter’s final value after a. What Is Damping Time In Transmitter.