Shock Equation . Combining these gives the shock density ratio in terms of m1 alone. 401 rows in aerodynamics, the normal shock tables are a series of tabulated data listing the various properties before and after the. Let us investigate the properties of such shocks. When a shock wave is inclined to the flow direction it is called an oblique shock. Approach to finding shock properties • start with stationary shock (or solve problem in reference frame moving with shock) can use steady. Which can be further simplified by using the general relation ρu2 = γpm2,. If the shock wave is perpendicular to the flow direction it is called a normal shock. On this slide we have listed the equations which describe the change in flow. On this slide we have listed the equations which describe the change in flow. Our fundamental equations are the. This type of discontinuity is known as a normal shock. • an important property of a normal shock is the deceleration of flow from supersonic to subsonic across the shock, as dictated by the second. When the waves catch up to the first wave, their effects add together so that the small changes across the individual waves now become a.
from www.slideserve.com
When a shock wave is inclined to the flow direction it is called an oblique shock. When the waves catch up to the first wave, their effects add together so that the small changes across the individual waves now become a. Approach to finding shock properties • start with stationary shock (or solve problem in reference frame moving with shock) can use steady. This type of discontinuity is known as a normal shock. Which can be further simplified by using the general relation ρu2 = γpm2,. Let us investigate the properties of such shocks. On this slide we have listed the equations which describe the change in flow. Combining these gives the shock density ratio in terms of m1 alone. 401 rows in aerodynamics, the normal shock tables are a series of tabulated data listing the various properties before and after the. On this slide we have listed the equations which describe the change in flow.
PPT Nonneutral Plasma Shock PowerPoint Presentation, free download
Shock Equation On this slide we have listed the equations which describe the change in flow. Our fundamental equations are the. • an important property of a normal shock is the deceleration of flow from supersonic to subsonic across the shock, as dictated by the second. On this slide we have listed the equations which describe the change in flow. Approach to finding shock properties • start with stationary shock (or solve problem in reference frame moving with shock) can use steady. This type of discontinuity is known as a normal shock. If the shock wave is perpendicular to the flow direction it is called a normal shock. 401 rows in aerodynamics, the normal shock tables are a series of tabulated data listing the various properties before and after the. Let us investigate the properties of such shocks. On this slide we have listed the equations which describe the change in flow. Which can be further simplified by using the general relation ρu2 = γpm2,. When the waves catch up to the first wave, their effects add together so that the small changes across the individual waves now become a. Combining these gives the shock density ratio in terms of m1 alone. When a shock wave is inclined to the flow direction it is called an oblique shock.
From www.youtube.com
lec17 Normal Shock II b YouTube Shock Equation Our fundamental equations are the. 401 rows in aerodynamics, the normal shock tables are a series of tabulated data listing the various properties before and after the. Which can be further simplified by using the general relation ρu2 = γpm2,. Let us investigate the properties of such shocks. When the waves catch up to the first wave, their effects add. Shock Equation.
From www.researchgate.net
The shock profile wave propagation of the KS equation Download Shock Equation On this slide we have listed the equations which describe the change in flow. • an important property of a normal shock is the deceleration of flow from supersonic to subsonic across the shock, as dictated by the second. 401 rows in aerodynamics, the normal shock tables are a series of tabulated data listing the various properties before and after. Shock Equation.
From www.researchgate.net
An illustration of streamlines traced from conical shock, r and θ refer Shock Equation Let us investigate the properties of such shocks. On this slide we have listed the equations which describe the change in flow. This type of discontinuity is known as a normal shock. 401 rows in aerodynamics, the normal shock tables are a series of tabulated data listing the various properties before and after the. On this slide we have listed. Shock Equation.
From www.grc.nasa.gov
Normal Shock Wave Equations Shock Equation On this slide we have listed the equations which describe the change in flow. Let us investigate the properties of such shocks. When a shock wave is inclined to the flow direction it is called an oblique shock. Which can be further simplified by using the general relation ρu2 = γpm2,. When the waves catch up to the first wave,. Shock Equation.
From www.grc.nasa.gov
Normal Shock Wave Equations Slide Shock Equation 401 rows in aerodynamics, the normal shock tables are a series of tabulated data listing the various properties before and after the. Which can be further simplified by using the general relation ρu2 = γpm2,. Approach to finding shock properties • start with stationary shock (or solve problem in reference frame moving with shock) can use steady. On this slide. Shock Equation.
From www.youtube.com
Derivation of Prandtl mayer equation fluidmechanics normal shock wave Shock Equation On this slide we have listed the equations which describe the change in flow. On this slide we have listed the equations which describe the change in flow. Combining these gives the shock density ratio in terms of m1 alone. When the waves catch up to the first wave, their effects add together so that the small changes across the. Shock Equation.
From www.slideserve.com
PPT Nonneutral Plasma Shock PowerPoint Presentation, free download Shock Equation Let us investigate the properties of such shocks. Our fundamental equations are the. On this slide we have listed the equations which describe the change in flow. Approach to finding shock properties • start with stationary shock (or solve problem in reference frame moving with shock) can use steady. • an important property of a normal shock is the deceleration. Shock Equation.
From www.youtube.com
Normal Shock Example Problem YouTube Shock Equation When a shock wave is inclined to the flow direction it is called an oblique shock. This type of discontinuity is known as a normal shock. On this slide we have listed the equations which describe the change in flow. 401 rows in aerodynamics, the normal shock tables are a series of tabulated data listing the various properties before and. Shock Equation.
From www.slideserve.com
PPT Analysis of Oblique Shocks PowerPoint Presentation, free download Shock Equation When a shock wave is inclined to the flow direction it is called an oblique shock. • an important property of a normal shock is the deceleration of flow from supersonic to subsonic across the shock, as dictated by the second. Combining these gives the shock density ratio in terms of m1 alone. 401 rows in aerodynamics, the normal shock. Shock Equation.
From www.slideserve.com
PPT Thermal Shock Resistance of Oxygen Sensors PowerPoint Shock Equation When the waves catch up to the first wave, their effects add together so that the small changes across the individual waves now become a. Which can be further simplified by using the general relation ρu2 = γpm2,. On this slide we have listed the equations which describe the change in flow. 401 rows in aerodynamics, the normal shock tables. Shock Equation.
From www.slideserve.com
PPT One Dimensional Flow PowerPoint Presentation ID258783 Shock Equation Let us investigate the properties of such shocks. Approach to finding shock properties • start with stationary shock (or solve problem in reference frame moving with shock) can use steady. On this slide we have listed the equations which describe the change in flow. If the shock wave is perpendicular to the flow direction it is called a normal shock.. Shock Equation.
From www.researchgate.net
(PDF) From the Newton Equation to the Wave Equation The Case of Shock Shock Equation On this slide we have listed the equations which describe the change in flow. Which can be further simplified by using the general relation ρu2 = γpm2,. When a shock wave is inclined to the flow direction it is called an oblique shock. When the waves catch up to the first wave, their effects add together so that the small. Shock Equation.
From studylib.net
Shock equation of state properties of concrete D. Grady Shock Equation Our fundamental equations are the. • an important property of a normal shock is the deceleration of flow from supersonic to subsonic across the shock, as dictated by the second. On this slide we have listed the equations which describe the change in flow. If the shock wave is perpendicular to the flow direction it is called a normal shock.. Shock Equation.
From www.slideserve.com
PPT Analysis of Oblique Shocks PowerPoint Presentation, free download Shock Equation On this slide we have listed the equations which describe the change in flow. On this slide we have listed the equations which describe the change in flow. 401 rows in aerodynamics, the normal shock tables are a series of tabulated data listing the various properties before and after the. When a shock wave is inclined to the flow direction. Shock Equation.
From digital.library.unt.edu
Shock equation of state properties of concrete Page 2 of 10 UNT Shock Equation When a shock wave is inclined to the flow direction it is called an oblique shock. On this slide we have listed the equations which describe the change in flow. Our fundamental equations are the. When the waves catch up to the first wave, their effects add together so that the small changes across the individual waves now become a.. Shock Equation.
From www.researchgate.net
Figure5.4 Principle of conical shock theory Download Scientific Diagram Shock Equation Let us investigate the properties of such shocks. On this slide we have listed the equations which describe the change in flow. On this slide we have listed the equations which describe the change in flow. When a shock wave is inclined to the flow direction it is called an oblique shock. • an important property of a normal shock. Shock Equation.
From digital.library.unt.edu
Shock equation of state properties of concrete UNT Digital Library Shock Equation On this slide we have listed the equations which describe the change in flow. Which can be further simplified by using the general relation ρu2 = γpm2,. When a shock wave is inclined to the flow direction it is called an oblique shock. This type of discontinuity is known as a normal shock. On this slide we have listed the. Shock Equation.
From www.slideserve.com
PPT Circulatory Shock PowerPoint Presentation, free download ID2958385 Shock Equation On this slide we have listed the equations which describe the change in flow. Which can be further simplified by using the general relation ρu2 = γpm2,. When a shock wave is inclined to the flow direction it is called an oblique shock. Approach to finding shock properties • start with stationary shock (or solve problem in reference frame moving. Shock Equation.
From www.slideserve.com
PPT MAE 3241 AERODYNAMICS AND FLIGHT MECHANICS PowerPoint Shock Equation When a shock wave is inclined to the flow direction it is called an oblique shock. Which can be further simplified by using the general relation ρu2 = γpm2,. If the shock wave is perpendicular to the flow direction it is called a normal shock. Our fundamental equations are the. Approach to finding shock properties • start with stationary shock. Shock Equation.
From www.researchgate.net
Shock equation of state and reflectivity along the ice VII Hugoniot a Shock Equation Combining these gives the shock density ratio in terms of m1 alone. Which can be further simplified by using the general relation ρu2 = γpm2,. Approach to finding shock properties • start with stationary shock (or solve problem in reference frame moving with shock) can use steady. Let us investigate the properties of such shocks. When a shock wave is. Shock Equation.
From www.researchgate.net
(PDF) Shock equation of state of a multiphase epoxybased composite Shock Equation Our fundamental equations are the. On this slide we have listed the equations which describe the change in flow. Combining these gives the shock density ratio in terms of m1 alone. • an important property of a normal shock is the deceleration of flow from supersonic to subsonic across the shock, as dictated by the second. This type of discontinuity. Shock Equation.
From digital.library.unt.edu
Shock equation of state properties of concrete Page 6 of 10 UNT Shock Equation Which can be further simplified by using the general relation ρu2 = γpm2,. 401 rows in aerodynamics, the normal shock tables are a series of tabulated data listing the various properties before and after the. On this slide we have listed the equations which describe the change in flow. If the shock wave is perpendicular to the flow direction it. Shock Equation.
From www.researchgate.net
Shocks in Burgers’ equation. (Color online) Various types of shocks Shock Equation When the waves catch up to the first wave, their effects add together so that the small changes across the individual waves now become a. • an important property of a normal shock is the deceleration of flow from supersonic to subsonic across the shock, as dictated by the second. This type of discontinuity is known as a normal shock.. Shock Equation.
From www.grc.nasa.gov
Normal Shock Wave Equations Shock Equation Combining these gives the shock density ratio in terms of m1 alone. Let us investigate the properties of such shocks. 401 rows in aerodynamics, the normal shock tables are a series of tabulated data listing the various properties before and after the. Approach to finding shock properties • start with stationary shock (or solve problem in reference frame moving with. Shock Equation.
From www.pinterest.com
Oblique Shock Waves in 2021 Shock wave, Thermodynamics, Equations Shock Equation If the shock wave is perpendicular to the flow direction it is called a normal shock. 401 rows in aerodynamics, the normal shock tables are a series of tabulated data listing the various properties before and after the. Our fundamental equations are the. When a shock wave is inclined to the flow direction it is called an oblique shock. On. Shock Equation.
From www.researchgate.net
Shocks in Burgers' equation. (Color online) Various types of shocks Shock Equation On this slide we have listed the equations which describe the change in flow. On this slide we have listed the equations which describe the change in flow. Approach to finding shock properties • start with stationary shock (or solve problem in reference frame moving with shock) can use steady. This type of discontinuity is known as a normal shock.. Shock Equation.
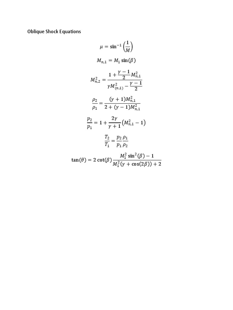
From www.scribd.com
Oblique Shock Equations PDF Shock Equation If the shock wave is perpendicular to the flow direction it is called a normal shock. When the waves catch up to the first wave, their effects add together so that the small changes across the individual waves now become a. On this slide we have listed the equations which describe the change in flow. Which can be further simplified. Shock Equation.
From www.chegg.com
Solved Equation of the motion of a car shock absorber is Shock Equation 401 rows in aerodynamics, the normal shock tables are a series of tabulated data listing the various properties before and after the. On this slide we have listed the equations which describe the change in flow. • an important property of a normal shock is the deceleration of flow from supersonic to subsonic across the shock, as dictated by the. Shock Equation.
From www.slideserve.com
PPT Intro to 2D Supersonic Flow PowerPoint Presentation, free Shock Equation When a shock wave is inclined to the flow direction it is called an oblique shock. Combining these gives the shock density ratio in terms of m1 alone. Our fundamental equations are the. If the shock wave is perpendicular to the flow direction it is called a normal shock. Which can be further simplified by using the general relation ρu2. Shock Equation.
From www.researchgate.net
(PDF) General ShockWave Equation of State for Solids Shock Equation 401 rows in aerodynamics, the normal shock tables are a series of tabulated data listing the various properties before and after the. Our fundamental equations are the. If the shock wave is perpendicular to the flow direction it is called a normal shock. • an important property of a normal shock is the deceleration of flow from supersonic to subsonic. Shock Equation.
From engineerexcel.com
Shock Calculations A Complete Guide EngineerExcel Shock Equation Which can be further simplified by using the general relation ρu2 = γpm2,. When a shock wave is inclined to the flow direction it is called an oblique shock. • an important property of a normal shock is the deceleration of flow from supersonic to subsonic across the shock, as dictated by the second. This type of discontinuity is known. Shock Equation.
From www.grc.nasa.gov
Oblique Shock Equations Slide Shock Equation Combining these gives the shock density ratio in terms of m1 alone. 401 rows in aerodynamics, the normal shock tables are a series of tabulated data listing the various properties before and after the. • an important property of a normal shock is the deceleration of flow from supersonic to subsonic across the shock, as dictated by the second. Let. Shock Equation.
From www.crisis-medicine.com
Shock Index a more sophisticated determinant of hypovolemic shock Shock Equation Our fundamental equations are the. When the waves catch up to the first wave, their effects add together so that the small changes across the individual waves now become a. If the shock wave is perpendicular to the flow direction it is called a normal shock. Combining these gives the shock density ratio in terms of m1 alone. Approach to. Shock Equation.
From mungfali.com
Shock Wave Diagram Shock Equation If the shock wave is perpendicular to the flow direction it is called a normal shock. When the waves catch up to the first wave, their effects add together so that the small changes across the individual waves now become a. Combining these gives the shock density ratio in terms of m1 alone. On this slide we have listed the. Shock Equation.
From www.grc.nasa.gov
Normal Shock Wave Equations Shock Equation When a shock wave is inclined to the flow direction it is called an oblique shock. Let us investigate the properties of such shocks. Combining these gives the shock density ratio in terms of m1 alone. Approach to finding shock properties • start with stationary shock (or solve problem in reference frame moving with shock) can use steady. Our fundamental. Shock Equation.