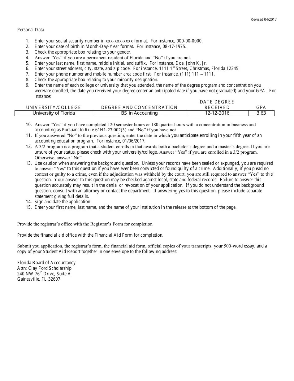
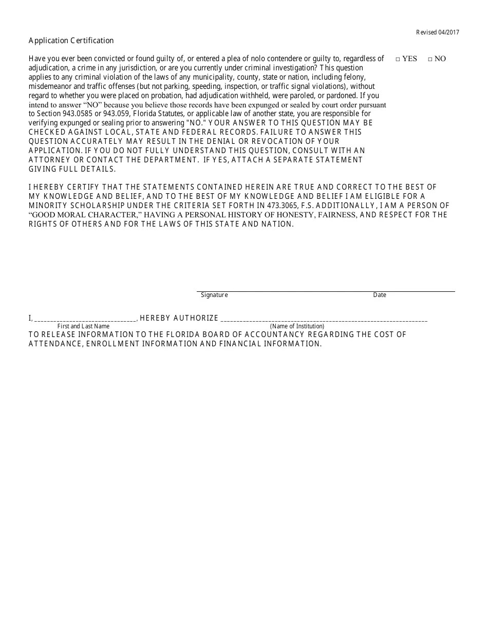
Clay Ford Scholarship . The florida board of accountancy (fba), a. Instructions for the clay ford scholarship application. (1) the clay ford scholarship program for florida residents is hereby established in the division for the purpose of providing scholarships to minority. The clay ford minority scholarship offers financial assistance to the historically underserved population of students in florida. $144,000 awarded to deserving college students through annual scholarship. The dbpr clay ford scholarship program was established to assist dedicated students entering the required fifth year to obtain a cpa license. The clay ford scholarship aims to encourage students to remain in school for the fifth year required to obtain a cpa license. $1,500 scholarships will be awarded to the top 25% of fall 2025 incoming sophomores. Disbursements of funds are contingent on an appropriation from the.
from www2.myfloridalicense.com
Instructions for the clay ford scholarship application. Disbursements of funds are contingent on an appropriation from the. $144,000 awarded to deserving college students through annual scholarship. The florida board of accountancy (fba), a. $1,500 scholarships will be awarded to the top 25% of fall 2025 incoming sophomores. The dbpr clay ford scholarship program was established to assist dedicated students entering the required fifth year to obtain a cpa license. The clay ford scholarship aims to encourage students to remain in school for the fifth year required to obtain a cpa license. The clay ford minority scholarship offers financial assistance to the historically underserved population of students in florida. (1) the clay ford scholarship program for florida residents is hereby established in the division for the purpose of providing scholarships to minority.
Certified Public Accounting Forms and Publications
Clay Ford Scholarship Instructions for the clay ford scholarship application. The clay ford minority scholarship offers financial assistance to the historically underserved population of students in florida. Disbursements of funds are contingent on an appropriation from the. $144,000 awarded to deserving college students through annual scholarship. The dbpr clay ford scholarship program was established to assist dedicated students entering the required fifth year to obtain a cpa license. The clay ford scholarship aims to encourage students to remain in school for the fifth year required to obtain a cpa license. The florida board of accountancy (fba), a. (1) the clay ford scholarship program for florida residents is hereby established in the division for the purpose of providing scholarships to minority. $1,500 scholarships will be awarded to the top 25% of fall 2025 incoming sophomores. Instructions for the clay ford scholarship application.
From www.signnow.com
Instructions for the Clay Ford Scholarship Application Fill Out and Clay Ford Scholarship $144,000 awarded to deserving college students through annual scholarship. (1) the clay ford scholarship program for florida residents is hereby established in the division for the purpose of providing scholarships to minority. The florida board of accountancy (fba), a. The dbpr clay ford scholarship program was established to assist dedicated students entering the required fifth year to obtain a cpa. Clay Ford Scholarship.
From facts.net
25 Mindblowing Facts About William Clay Ford Clay Ford Scholarship Instructions for the clay ford scholarship application. $1,500 scholarships will be awarded to the top 25% of fall 2025 incoming sophomores. Disbursements of funds are contingent on an appropriation from the. The dbpr clay ford scholarship program was established to assist dedicated students entering the required fifth year to obtain a cpa license. (1) the clay ford scholarship program for. Clay Ford Scholarship.
From www.independent.co.uk
William Clay Ford Businessman and scion of the Ford dynasty who helped Clay Ford Scholarship Disbursements of funds are contingent on an appropriation from the. $144,000 awarded to deserving college students through annual scholarship. (1) the clay ford scholarship program for florida residents is hereby established in the division for the purpose of providing scholarships to minority. Instructions for the clay ford scholarship application. The clay ford scholarship aims to encourage students to remain in. Clay Ford Scholarship.
From www.lboro.ac.uk
Student awarded prestigious Ford scholarship News and events Clay Ford Scholarship Instructions for the clay ford scholarship application. The florida board of accountancy (fba), a. $1,500 scholarships will be awarded to the top 25% of fall 2025 incoming sophomores. The clay ford scholarship aims to encourage students to remain in school for the fifth year required to obtain a cpa license. (1) the clay ford scholarship program for florida residents is. Clay Ford Scholarship.
From www.templateroller.com
Form DBPR CPA11 Fill Out, Sign Online and Download Fillable PDF Clay Ford Scholarship Disbursements of funds are contingent on an appropriation from the. The clay ford minority scholarship offers financial assistance to the historically underserved population of students in florida. $1,500 scholarships will be awarded to the top 25% of fall 2025 incoming sophomores. The dbpr clay ford scholarship program was established to assist dedicated students entering the required fifth year to obtain. Clay Ford Scholarship.
From www.autobiz.ie
UCC & Ford establish Ford Centenary Quercus Scholarship Clay Ford Scholarship The clay ford minority scholarship offers financial assistance to the historically underserved population of students in florida. Instructions for the clay ford scholarship application. The florida board of accountancy (fba), a. $144,000 awarded to deserving college students through annual scholarship. The clay ford scholarship aims to encourage students to remain in school for the fifth year required to obtain a. Clay Ford Scholarship.
From www.templateroller.com
Florida Clay Ford Scholarship for 5th Year Accounting Students Clay Ford Scholarship The florida board of accountancy (fba), a. The dbpr clay ford scholarship program was established to assist dedicated students entering the required fifth year to obtain a cpa license. Disbursements of funds are contingent on an appropriation from the. (1) the clay ford scholarship program for florida residents is hereby established in the division for the purpose of providing scholarships. Clay Ford Scholarship.
From scholarshipexpo.com
Emory University Scholarships 2024 in the USA Clay Ford Scholarship The clay ford minority scholarship offers financial assistance to the historically underserved population of students in florida. $144,000 awarded to deserving college students through annual scholarship. (1) the clay ford scholarship program for florida residents is hereby established in the division for the purpose of providing scholarships to minority. $1,500 scholarships will be awarded to the top 25% of fall. Clay Ford Scholarship.
From twitter.com
Florida DBPR on Twitter "📝The deadline to apply for DBPR’s Clay Ford Clay Ford Scholarship $144,000 awarded to deserving college students through annual scholarship. The clay ford minority scholarship offers financial assistance to the historically underserved population of students in florida. The florida board of accountancy (fba), a. $1,500 scholarships will be awarded to the top 25% of fall 2025 incoming sophomores. Instructions for the clay ford scholarship application. Disbursements of funds are contingent on. Clay Ford Scholarship.
From www.carbodydesign.com
Ford announces 1M Design Scholarship to celebrate William Clay Ford Clay Ford Scholarship $1,500 scholarships will be awarded to the top 25% of fall 2025 incoming sophomores. (1) the clay ford scholarship program for florida residents is hereby established in the division for the purpose of providing scholarships to minority. $144,000 awarded to deserving college students through annual scholarship. The dbpr clay ford scholarship program was established to assist dedicated students entering the. Clay Ford Scholarship.
From www.carbodydesign.com
Ford announces 1M Design Scholarship to celebrate William Clay Ford Clay Ford Scholarship $144,000 awarded to deserving college students through annual scholarship. Disbursements of funds are contingent on an appropriation from the. The dbpr clay ford scholarship program was established to assist dedicated students entering the required fifth year to obtain a cpa license. The clay ford scholarship aims to encourage students to remain in school for the fifth year required to obtain. Clay Ford Scholarship.
From www.completecar.ie
Bill Ford announces Ford Centenary Quercus Scholarship car and Clay Ford Scholarship The florida board of accountancy (fba), a. The dbpr clay ford scholarship program was established to assist dedicated students entering the required fifth year to obtain a cpa license. Instructions for the clay ford scholarship application. Disbursements of funds are contingent on an appropriation from the. $1,500 scholarships will be awarded to the top 25% of fall 2025 incoming sophomores.. Clay Ford Scholarship.
From www.templateroller.com
Florida Clay Ford Scholarship for 5th Year Accounting Students Clay Ford Scholarship $144,000 awarded to deserving college students through annual scholarship. The florida board of accountancy (fba), a. Disbursements of funds are contingent on an appropriation from the. The clay ford minority scholarship offers financial assistance to the historically underserved population of students in florida. The clay ford scholarship aims to encourage students to remain in school for the fifth year required. Clay Ford Scholarship.
From www.youtube.com
Dr. Clay Ford Part 1 September 20th 2015 YouTube Clay Ford Scholarship The dbpr clay ford scholarship program was established to assist dedicated students entering the required fifth year to obtain a cpa license. The clay ford minority scholarship offers financial assistance to the historically underserved population of students in florida. $1,500 scholarships will be awarded to the top 25% of fall 2025 incoming sophomores. $144,000 awarded to deserving college students through. Clay Ford Scholarship.
From thenewswheel.com
Ford Announces William Clay Ford Scholarship The News Wheel Clay Ford Scholarship Instructions for the clay ford scholarship application. The dbpr clay ford scholarship program was established to assist dedicated students entering the required fifth year to obtain a cpa license. The clay ford scholarship aims to encourage students to remain in school for the fifth year required to obtain a cpa license. The clay ford minority scholarship offers financial assistance to. Clay Ford Scholarship.
From mysctp.com
2022 Scholarships Now Open Scholastic Clay Target Program Clay Ford Scholarship The clay ford minority scholarship offers financial assistance to the historically underserved population of students in florida. (1) the clay ford scholarship program for florida residents is hereby established in the division for the purpose of providing scholarships to minority. Instructions for the clay ford scholarship application. $144,000 awarded to deserving college students through annual scholarship. Disbursements of funds are. Clay Ford Scholarship.
From www.alamy.com
April 30, 2013 Beverly Hills, California, U.S. William Clay Ford Jr Clay Ford Scholarship The clay ford scholarship aims to encourage students to remain in school for the fifth year required to obtain a cpa license. Disbursements of funds are contingent on an appropriation from the. $144,000 awarded to deserving college students through annual scholarship. The dbpr clay ford scholarship program was established to assist dedicated students entering the required fifth year to obtain. Clay Ford Scholarship.
From thenewswheel.com
Ford Reveals First Five Winners of Annual William Clay Ford Automotive Clay Ford Scholarship The dbpr clay ford scholarship program was established to assist dedicated students entering the required fifth year to obtain a cpa license. Disbursements of funds are contingent on an appropriation from the. $1,500 scholarships will be awarded to the top 25% of fall 2025 incoming sophomores. The florida board of accountancy (fba), a. The clay ford scholarship aims to encourage. Clay Ford Scholarship.
From www.youtube.com
Ford Scholarship Panel YouTube Clay Ford Scholarship $144,000 awarded to deserving college students through annual scholarship. The clay ford minority scholarship offers financial assistance to the historically underserved population of students in florida. The florida board of accountancy (fba), a. (1) the clay ford scholarship program for florida residents is hereby established in the division for the purpose of providing scholarships to minority. The dbpr clay ford. Clay Ford Scholarship.
From twitter.com
Florida DBPR on Twitter "Tomorrow is the final day! DBPR & the FL Clay Ford Scholarship Disbursements of funds are contingent on an appropriation from the. $144,000 awarded to deserving college students through annual scholarship. The clay ford scholarship aims to encourage students to remain in school for the fifth year required to obtain a cpa license. The clay ford minority scholarship offers financial assistance to the historically underserved population of students in florida. $1,500 scholarships. Clay Ford Scholarship.
From www.tfff.org
Advisor Resources The Ford Family Foundation Clay Ford Scholarship The clay ford minority scholarship offers financial assistance to the historically underserved population of students in florida. The florida board of accountancy (fba), a. The clay ford scholarship aims to encourage students to remain in school for the fifth year required to obtain a cpa license. The dbpr clay ford scholarship program was established to assist dedicated students entering the. Clay Ford Scholarship.
From rddcf.ca
FORD FAMILY SCHOLARSHIP Community Foundation of Central Alberta Clay Ford Scholarship The clay ford scholarship aims to encourage students to remain in school for the fifth year required to obtain a cpa license. (1) the clay ford scholarship program for florida residents is hereby established in the division for the purpose of providing scholarships to minority. $1,500 scholarships will be awarded to the top 25% of fall 2025 incoming sophomores. The. Clay Ford Scholarship.
From www.templateroller.com
Florida Clay Ford Scholarship for 5th Year Accounting Students Clay Ford Scholarship Instructions for the clay ford scholarship application. (1) the clay ford scholarship program for florida residents is hereby established in the division for the purpose of providing scholarships to minority. The clay ford scholarship aims to encourage students to remain in school for the fifth year required to obtain a cpa license. $144,000 awarded to deserving college students through annual. Clay Ford Scholarship.
From www.templateroller.com
Florida Clay Ford Scholarship for 5th Year Accounting Students Clay Ford Scholarship (1) the clay ford scholarship program for florida residents is hereby established in the division for the purpose of providing scholarships to minority. The clay ford minority scholarship offers financial assistance to the historically underserved population of students in florida. Instructions for the clay ford scholarship application. The dbpr clay ford scholarship program was established to assist dedicated students entering. Clay Ford Scholarship.
From www.templateroller.com
Form DBPR CPA11 Download Fillable PDF or Fill Online Clay Ford Clay Ford Scholarship (1) the clay ford scholarship program for florida residents is hereby established in the division for the purpose of providing scholarships to minority. The florida board of accountancy (fba), a. $144,000 awarded to deserving college students through annual scholarship. The clay ford scholarship aims to encourage students to remain in school for the fifth year required to obtain a cpa. Clay Ford Scholarship.
From www.carbodydesign.com
Ford announces 1M Design Scholarship to celebrate William Clay Ford Clay Ford Scholarship The dbpr clay ford scholarship program was established to assist dedicated students entering the required fifth year to obtain a cpa license. $1,500 scholarships will be awarded to the top 25% of fall 2025 incoming sophomores. $144,000 awarded to deserving college students through annual scholarship. (1) the clay ford scholarship program for florida residents is hereby established in the division. Clay Ford Scholarship.
From www.templateroller.com
Form DBPR CPA11 Fill Out, Sign Online and Download Fillable PDF Clay Ford Scholarship The clay ford minority scholarship offers financial assistance to the historically underserved population of students in florida. The dbpr clay ford scholarship program was established to assist dedicated students entering the required fifth year to obtain a cpa license. $1,500 scholarships will be awarded to the top 25% of fall 2025 incoming sophomores. Instructions for the clay ford scholarship application.. Clay Ford Scholarship.
From www.templateroller.com
Florida Clay Ford Scholarship for 5th Year Accounting Students Clay Ford Scholarship The clay ford minority scholarship offers financial assistance to the historically underserved population of students in florida. The dbpr clay ford scholarship program was established to assist dedicated students entering the required fifth year to obtain a cpa license. $1,500 scholarships will be awarded to the top 25% of fall 2025 incoming sophomores. Disbursements of funds are contingent on an. Clay Ford Scholarship.
From dinosenglish.edu.vn
Lista 100+ Foto William Clay Ford, Jr. Alta Definición Completa, 2k, 4k Clay Ford Scholarship The dbpr clay ford scholarship program was established to assist dedicated students entering the required fifth year to obtain a cpa license. $1,500 scholarships will be awarded to the top 25% of fall 2025 incoming sophomores. (1) the clay ford scholarship program for florida residents is hereby established in the division for the purpose of providing scholarships to minority. The. Clay Ford Scholarship.
From www.templateroller.com
Form DBPR CPA11 Fill Out, Sign Online and Download Fillable PDF Clay Ford Scholarship $1,500 scholarships will be awarded to the top 25% of fall 2025 incoming sophomores. The florida board of accountancy (fba), a. The dbpr clay ford scholarship program was established to assist dedicated students entering the required fifth year to obtain a cpa license. The clay ford scholarship aims to encourage students to remain in school for the fifth year required. Clay Ford Scholarship.
From www2.myfloridalicense.com
Certified Public Accounting Forms and Publications Clay Ford Scholarship Instructions for the clay ford scholarship application. The dbpr clay ford scholarship program was established to assist dedicated students entering the required fifth year to obtain a cpa license. $1,500 scholarships will be awarded to the top 25% of fall 2025 incoming sophomores. The clay ford minority scholarship offers financial assistance to the historically underserved population of students in florida.. Clay Ford Scholarship.
From www.templateroller.com
Florida Clay Ford Scholarship for 5th Year Accounting Students Clay Ford Scholarship (1) the clay ford scholarship program for florida residents is hereby established in the division for the purpose of providing scholarships to minority. The clay ford minority scholarship offers financial assistance to the historically underserved population of students in florida. $144,000 awarded to deserving college students through annual scholarship. The florida board of accountancy (fba), a. $1,500 scholarships will be. Clay Ford Scholarship.
From www.npr.org
Detroit's William Clay Ford Dies At Age 88 The TwoWay NPR Clay Ford Scholarship $144,000 awarded to deserving college students through annual scholarship. Disbursements of funds are contingent on an appropriation from the. The florida board of accountancy (fba), a. (1) the clay ford scholarship program for florida residents is hereby established in the division for the purpose of providing scholarships to minority. The clay ford scholarship aims to encourage students to remain in. Clay Ford Scholarship.
From www.templateroller.com
Florida Clay Ford Scholarship for 5th Year Accounting Students Clay Ford Scholarship The florida board of accountancy (fba), a. $1,500 scholarships will be awarded to the top 25% of fall 2025 incoming sophomores. The clay ford minority scholarship offers financial assistance to the historically underserved population of students in florida. Instructions for the clay ford scholarship application. Disbursements of funds are contingent on an appropriation from the. The dbpr clay ford scholarship. Clay Ford Scholarship.
From www.dctcschools.org
Ford Scholarship Downriver Career Technical Consortium Clay Ford Scholarship Instructions for the clay ford scholarship application. $144,000 awarded to deserving college students through annual scholarship. (1) the clay ford scholarship program for florida residents is hereby established in the division for the purpose of providing scholarships to minority. The clay ford scholarship aims to encourage students to remain in school for the fifth year required to obtain a cpa. Clay Ford Scholarship.