Density Of Dish Soap In Kg/M3 . The si unit of density is kg/m 3. To convert density in g/cm 3 to kg/m 3, simply multiply by 1000. Below is a table of units in which density is commonly expressed, as well as the densities of some common materials. The mass or density of the liquid depends on its nature. Dawn liquid soap has a density of 0.932 g/cm 3. Density of some common liquids: Densities of common liquids like acetone, beer, oil, water and more. Density of liquids and materials: Density of soap, solid is equal to 801 kg/m³. Soap, particularly solid ivory soap, has a density of 0.9 grams per cubic centimeters. Density of soap, solid is equal to 801 kg/m³. 262 rows the density of a liquid is typically expressed in units of kilograms per cubic meter (kg/m3) or grams per milliliter (g/ml). 20 rows soap, solid weighs 0.801 gram per cubic centimeter or 801 kilogram per cubic meter, i.e. The density of a liquid is determined by the mass of the. This table cites density values from lowest density to highest.
from www.geeksforgeeks.org
Density of soap, solid is equal to 801 kg/m³. Soap, solid weighs 0.801 gram per cubic centimeter or 801 kilogram per cubic meter, i.e. Below is a table of units in which density is commonly expressed, as well as the densities of some common materials. Density of liquids and materials: Density of some common liquids: Note that even if pounds per cubic foot. The mass or density of the liquid depends on its nature. Soap, particularly solid ivory soap, has a density of 0.9 grams per cubic centimeters. This table cites density values from lowest density to highest. To convert density in g/cm 3 to kg/m 3, simply multiply by 1000.
What is the Density of Water? Formula, Factors, Examples & FAQs
Density Of Dish Soap In Kg/M3 To convert density in g/cm 3 to kg/m 3, simply multiply by 1000. To convert density in g/cm 3 to kg/m 3, simply multiply by 1000. Note that even if pounds per cubic foot. 262 rows the density of a liquid is typically expressed in units of kilograms per cubic meter (kg/m3) or grams per milliliter (g/ml). Below is a table of units in which density is commonly expressed, as well as the densities of some common materials. Densities of common liquids like acetone, beer, oil, water and more. 20 rows soap, solid weighs 0.801 gram per cubic centimeter or 801 kilogram per cubic meter, i.e. Density of liquids and materials: Dawn liquid soap has a density of 0.932 g/cm 3. The si unit of density is kg/m 3. Density of soap, solid is equal to 801 kg/m³. Soap, solid weighs 0.801 gram per cubic centimeter or 801 kilogram per cubic meter, i.e. This table cites density values from lowest density to highest. Density of soap, solid is equal to 801 kg/m³. Density of some common liquids: The density of a liquid is determined by the mass of the.
From www.researchgate.net
Specific Weights and Moisture Content Data for some Selected Solid Density Of Dish Soap In Kg/M3 Soap, solid weighs 0.801 gram per cubic centimeter or 801 kilogram per cubic meter, i.e. Density of soap, solid is equal to 801 kg/m³. 262 rows the density of a liquid is typically expressed in units of kilograms per cubic meter (kg/m3) or grams per milliliter (g/ml). This table cites density values from lowest density to highest. Density of some. Density Of Dish Soap In Kg/M3.
From www.youtube.com
A soap bubble 62.5 mm diameter has an internal pressure in excess of Density Of Dish Soap In Kg/M3 Density of soap, solid is equal to 801 kg/m³. 262 rows the density of a liquid is typically expressed in units of kilograms per cubic meter (kg/m3) or grams per milliliter (g/ml). Soap, solid weighs 0.801 gram per cubic centimeter or 801 kilogram per cubic meter, i.e. This table cites density values from lowest density to highest. Dawn liquid soap. Density Of Dish Soap In Kg/M3.
From www.vecteezy.com
Liquid density scientific experiment concept. Separate fluid layers Density Of Dish Soap In Kg/M3 The mass or density of the liquid depends on its nature. Soap, solid weighs 0.801 gram per cubic centimeter or 801 kilogram per cubic meter, i.e. To convert density in g/cm 3 to kg/m 3, simply multiply by 1000. Note that even if pounds per cubic foot. The si unit of density is kg/m 3. 20 rows soap, solid weighs. Density Of Dish Soap In Kg/M3.
From www.pinterest.com
layers based on density. molasses, dawn dish soap, oil and water. neat Density Of Dish Soap In Kg/M3 Density of soap, solid is equal to 801 kg/m³. The mass or density of the liquid depends on its nature. Soap, solid weighs 0.801 gram per cubic centimeter or 801 kilogram per cubic meter, i.e. To convert density in g/cm 3 to kg/m 3, simply multiply by 1000. This table cites density values from lowest density to highest. Below is. Density Of Dish Soap In Kg/M3.
From pubs.acs.org
Density and Thermal Expansivity of Molten 2LiFBeF2 (FLiBe Density Of Dish Soap In Kg/M3 Density of some common liquids: The density of a liquid is determined by the mass of the. 20 rows soap, solid weighs 0.801 gram per cubic centimeter or 801 kilogram per cubic meter, i.e. Density of soap, solid is equal to 801 kg/m³. Densities of common liquids like acetone, beer, oil, water and more. The si unit of density is. Density Of Dish Soap In Kg/M3.
From www.vecteezy.com
Liquid density scientific experiment concept. Separate fluid layers Density Of Dish Soap In Kg/M3 The mass or density of the liquid depends on its nature. Density of soap, solid is equal to 801 kg/m³. Soap, solid weighs 0.801 gram per cubic centimeter or 801 kilogram per cubic meter, i.e. Dawn liquid soap has a density of 0.932 g/cm 3. To convert density in g/cm 3 to kg/m 3, simply multiply by 1000. Note that. Density Of Dish Soap In Kg/M3.
From www.toppr.com
A rectangular bar of soap has density 800 kg/m^3 floats in water of Density Of Dish Soap In Kg/M3 Density of soap, solid is equal to 801 kg/m³. Soap, solid weighs 0.801 gram per cubic centimeter or 801 kilogram per cubic meter, i.e. The si unit of density is kg/m 3. Soap, particularly solid ivory soap, has a density of 0.9 grams per cubic centimeters. 262 rows the density of a liquid is typically expressed in units of kilograms. Density Of Dish Soap In Kg/M3.
From exoczofhf.blob.core.windows.net
Density Of Dish Soap In G/Cm3 at Rico Padgett blog Density Of Dish Soap In Kg/M3 Dawn liquid soap has a density of 0.932 g/cm 3. Density of soap, solid is equal to 801 kg/m³. To convert density in g/cm 3 to kg/m 3, simply multiply by 1000. Below is a table of units in which density is commonly expressed, as well as the densities of some common materials. The density of a liquid is determined. Density Of Dish Soap In Kg/M3.
From www.toppr.com
A rectangular bar of soap has density 800 kg/m^3 floats in water of Density Of Dish Soap In Kg/M3 20 rows soap, solid weighs 0.801 gram per cubic centimeter or 801 kilogram per cubic meter, i.e. The mass or density of the liquid depends on its nature. The density of a liquid is determined by the mass of the. The si unit of density is kg/m 3. Density of some common liquids: 262 rows the density of a liquid. Density Of Dish Soap In Kg/M3.
From sciencenotes.org
How to Make a Density Column With Many Layers Density Of Dish Soap In Kg/M3 Below is a table of units in which density is commonly expressed, as well as the densities of some common materials. Note that even if pounds per cubic foot. The si unit of density is kg/m 3. The density of a liquid is determined by the mass of the. Dawn liquid soap has a density of 0.932 g/cm 3. The. Density Of Dish Soap In Kg/M3.
From www.desertcart.ae
Dawn Professional Dishwashing Liquid Soap Detergent, Bulk Degreaser Density Of Dish Soap In Kg/M3 Dawn liquid soap has a density of 0.932 g/cm 3. Density of soap, solid is equal to 801 kg/m³. Density of liquids and materials: 20 rows soap, solid weighs 0.801 gram per cubic centimeter or 801 kilogram per cubic meter, i.e. Below is a table of units in which density is commonly expressed, as well as the densities of some. Density Of Dish Soap In Kg/M3.
From exobioqgu.blob.core.windows.net
Science Experiments Density Of Liquids at Jason Bergh blog Density Of Dish Soap In Kg/M3 20 rows soap, solid weighs 0.801 gram per cubic centimeter or 801 kilogram per cubic meter, i.e. Soap, particularly solid ivory soap, has a density of 0.9 grams per cubic centimeters. The si unit of density is kg/m 3. Below is a table of units in which density is commonly expressed, as well as the densities of some common materials.. Density Of Dish Soap In Kg/M3.
From www.sciencephoto.com
Liquids and Solids of Different Density Stock Image C022/2011 Density Of Dish Soap In Kg/M3 To convert density in g/cm 3 to kg/m 3, simply multiply by 1000. The si unit of density is kg/m 3. Soap, particularly solid ivory soap, has a density of 0.9 grams per cubic centimeters. Density of soap, solid is equal to 801 kg/m³. Density of liquids and materials: Dawn liquid soap has a density of 0.932 g/cm 3. 262. Density Of Dish Soap In Kg/M3.
From byjus.com
A rectangular bar of soap has density 800 kg/m3 floats in water of Density Of Dish Soap In Kg/M3 262 rows the density of a liquid is typically expressed in units of kilograms per cubic meter (kg/m3) or grams per milliliter (g/ml). Soap, particularly solid ivory soap, has a density of 0.9 grams per cubic centimeters. The density of a liquid is determined by the mass of the. Density of soap, solid is equal to 801 kg/m³. Density of. Density Of Dish Soap In Kg/M3.
From www.geeksforgeeks.org
What is the Density of Water? Formula, Factors, Examples & FAQs Density Of Dish Soap In Kg/M3 Density of some common liquids: To convert density in g/cm 3 to kg/m 3, simply multiply by 1000. Density of soap, solid is equal to 801 kg/m³. Density of soap, solid is equal to 801 kg/m³. 262 rows the density of a liquid is typically expressed in units of kilograms per cubic meter (kg/m3) or grams per milliliter (g/ml). Dawn. Density Of Dish Soap In Kg/M3.
From exoczofhf.blob.core.windows.net
Density Of Dish Soap In G/Cm3 at Rico Padgett blog Density Of Dish Soap In Kg/M3 This table cites density values from lowest density to highest. Density of soap, solid is equal to 801 kg/m³. Note that even if pounds per cubic foot. 20 rows soap, solid weighs 0.801 gram per cubic centimeter or 801 kilogram per cubic meter, i.e. Density of soap, solid is equal to 801 kg/m³. The mass or density of the liquid. Density Of Dish Soap In Kg/M3.
From askfilo.com
Density of mercury =13.6×103 kg/m3 Note Soap bubble and soap solution f.. Density Of Dish Soap In Kg/M3 Densities of common liquids like acetone, beer, oil, water and more. Soap, particularly solid ivory soap, has a density of 0.9 grams per cubic centimeters. Note that even if pounds per cubic foot. The mass or density of the liquid depends on its nature. The density of a liquid is determined by the mass of the. 262 rows the density. Density Of Dish Soap In Kg/M3.
From fyozfjhgc.blob.core.windows.net
Copper Wire Density Kg M3 at Kathleen Salvatore blog Density Of Dish Soap In Kg/M3 To convert density in g/cm 3 to kg/m 3, simply multiply by 1000. Below is a table of units in which density is commonly expressed, as well as the densities of some common materials. Density of soap, solid is equal to 801 kg/m³. Densities of common liquids like acetone, beer, oil, water and more. This table cites density values from. Density Of Dish Soap In Kg/M3.
From www.coursehero.com
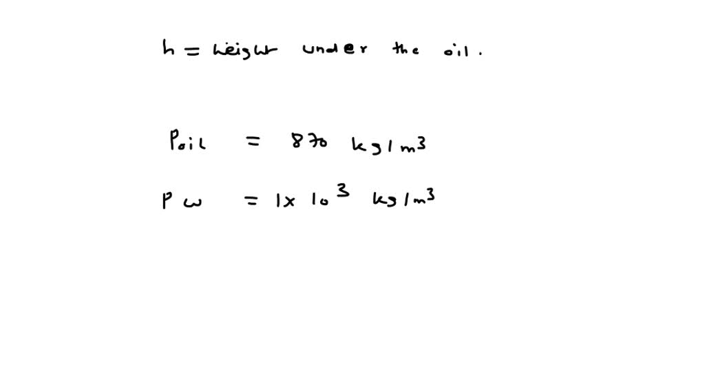
[Solved] . The density of oil at 20 C is 850 kg/m . Calculate the Density Of Dish Soap In Kg/M3 Soap, particularly solid ivory soap, has a density of 0.9 grams per cubic centimeters. Densities of common liquids like acetone, beer, oil, water and more. Soap, solid weighs 0.801 gram per cubic centimeter or 801 kilogram per cubic meter, i.e. The mass or density of the liquid depends on its nature. The density of a liquid is determined by the. Density Of Dish Soap In Kg/M3.
From askfilo.com
A rectangulay bar of soap has density 800 kg/m3.0t of density 800 kg/m3. Density Of Dish Soap In Kg/M3 Density of liquids and materials: The density of a liquid is determined by the mass of the. The mass or density of the liquid depends on its nature. Density of soap, solid is equal to 801 kg/m³. Soap, solid weighs 0.801 gram per cubic centimeter or 801 kilogram per cubic meter, i.e. Dawn liquid soap has a density of 0.932. Density Of Dish Soap In Kg/M3.
From exoczofhf.blob.core.windows.net
Density Of Dish Soap In G/Cm3 at Rico Padgett blog Density Of Dish Soap In Kg/M3 Dawn liquid soap has a density of 0.932 g/cm 3. Densities of common liquids like acetone, beer, oil, water and more. 262 rows the density of a liquid is typically expressed in units of kilograms per cubic meter (kg/m3) or grams per milliliter (g/ml). The mass or density of the liquid depends on its nature. Below is a table of. Density Of Dish Soap In Kg/M3.
From timesofindia.indiatimes.com
Are dishwashing soaps secretly destroying your health? Density Of Dish Soap In Kg/M3 20 rows soap, solid weighs 0.801 gram per cubic centimeter or 801 kilogram per cubic meter, i.e. To convert density in g/cm 3 to kg/m 3, simply multiply by 1000. Density of soap, solid is equal to 801 kg/m³. Density of some common liquids: The mass or density of the liquid depends on its nature. Density of liquids and materials:. Density Of Dish Soap In Kg/M3.
From exoyspklk.blob.core.windows.net
Can I Wash My Sheets With Dish Soap at Anthony Anderson blog Density Of Dish Soap In Kg/M3 Densities of common liquids like acetone, beer, oil, water and more. Soap, particularly solid ivory soap, has a density of 0.9 grams per cubic centimeters. Density of soap, solid is equal to 801 kg/m³. Density of soap, solid is equal to 801 kg/m³. Note that even if pounds per cubic foot. The si unit of density is kg/m 3. 20. Density Of Dish Soap In Kg/M3.
From exoohetgm.blob.core.windows.net
Dishwashing Soap For Clothes at Theresa Dudley blog Density Of Dish Soap In Kg/M3 The si unit of density is kg/m 3. 20 rows soap, solid weighs 0.801 gram per cubic centimeter or 801 kilogram per cubic meter, i.e. Density of soap, solid is equal to 801 kg/m³. Note that even if pounds per cubic foot. The density of a liquid is determined by the mass of the. Density of liquids and materials: Density. Density Of Dish Soap In Kg/M3.
From www.facebook.com
Density Layers What you need Liquids of different densities Honey Density Of Dish Soap In Kg/M3 The si unit of density is kg/m 3. Dawn liquid soap has a density of 0.932 g/cm 3. Below is a table of units in which density is commonly expressed, as well as the densities of some common materials. Density of soap, solid is equal to 801 kg/m³. Density of some common liquids: 20 rows soap, solid weighs 0.801 gram. Density Of Dish Soap In Kg/M3.
From www.dreamstime.com
Density of Liquids. Laboratory Experiment Stock Vector Illustration Density Of Dish Soap In Kg/M3 Note that even if pounds per cubic foot. The density of a liquid is determined by the mass of the. Soap, particularly solid ivory soap, has a density of 0.9 grams per cubic centimeters. To convert density in g/cm 3 to kg/m 3, simply multiply by 1000. The si unit of density is kg/m 3. Density of liquids and materials:. Density Of Dish Soap In Kg/M3.
From fyozkcifd.blob.core.windows.net
How To Wash A Car With Dish Soap at Amanda Parsons blog Density Of Dish Soap In Kg/M3 The si unit of density is kg/m 3. Soap, solid weighs 0.801 gram per cubic centimeter or 801 kilogram per cubic meter, i.e. Densities of common liquids like acetone, beer, oil, water and more. 262 rows the density of a liquid is typically expressed in units of kilograms per cubic meter (kg/m3) or grams per milliliter (g/ml). 20 rows soap,. Density Of Dish Soap In Kg/M3.
From sciencenotes.org
Table of Density of Common Materials Density Of Dish Soap In Kg/M3 262 rows the density of a liquid is typically expressed in units of kilograms per cubic meter (kg/m3) or grams per milliliter (g/ml). Density of liquids and materials: Soap, solid weighs 0.801 gram per cubic centimeter or 801 kilogram per cubic meter, i.e. Note that even if pounds per cubic foot. Soap, particularly solid ivory soap, has a density of. Density Of Dish Soap In Kg/M3.
From www.numerade.com
SOLVED A 2.5 cm thick bar of soap is floating in water, with 1.2 cm of Density Of Dish Soap In Kg/M3 Density of some common liquids: Below is a table of units in which density is commonly expressed, as well as the densities of some common materials. Densities of common liquids like acetone, beer, oil, water and more. Density of soap, solid is equal to 801 kg/m³. Density of soap, solid is equal to 801 kg/m³. 20 rows soap, solid weighs. Density Of Dish Soap In Kg/M3.
From fyobogkdc.blob.core.windows.net
Dish Soap Philippines at Rita Denham blog Density Of Dish Soap In Kg/M3 This table cites density values from lowest density to highest. 262 rows the density of a liquid is typically expressed in units of kilograms per cubic meter (kg/m3) or grams per milliliter (g/ml). To convert density in g/cm 3 to kg/m 3, simply multiply by 1000. The density of a liquid is determined by the mass of the. Dawn liquid. Density Of Dish Soap In Kg/M3.
From www.pinterest.jp
Density Columns Aligned with NGSS Science teacher resources, Teaching Density Of Dish Soap In Kg/M3 Below is a table of units in which density is commonly expressed, as well as the densities of some common materials. The si unit of density is kg/m 3. Density of soap, solid is equal to 801 kg/m³. This table cites density values from lowest density to highest. Density of soap, solid is equal to 801 kg/m³. Densities of common. Density Of Dish Soap In Kg/M3.
From www.google.com
Patent WO2010147814A2 Combinations of herb extracts having Density Of Dish Soap In Kg/M3 Below is a table of units in which density is commonly expressed, as well as the densities of some common materials. 262 rows the density of a liquid is typically expressed in units of kilograms per cubic meter (kg/m3) or grams per milliliter (g/ml). The mass or density of the liquid depends on its nature. Density of soap, solid is. Density Of Dish Soap In Kg/M3.
From www.reddit.com
This dish soap lists the purpose for each ingredient coolguides Density Of Dish Soap In Kg/M3 The mass or density of the liquid depends on its nature. To convert density in g/cm 3 to kg/m 3, simply multiply by 1000. 262 rows the density of a liquid is typically expressed in units of kilograms per cubic meter (kg/m3) or grams per milliliter (g/ml). Dawn liquid soap has a density of 0.932 g/cm 3. The density of. Density Of Dish Soap In Kg/M3.
From www.pinterest.co.kr
Soap Density Float Sink Data Chart Exploding soap, measuring volume Density Of Dish Soap In Kg/M3 262 rows the density of a liquid is typically expressed in units of kilograms per cubic meter (kg/m3) or grams per milliliter (g/ml). Density of soap, solid is equal to 801 kg/m³. Note that even if pounds per cubic foot. To convert density in g/cm 3 to kg/m 3, simply multiply by 1000. Densities of common liquids like acetone, beer,. Density Of Dish Soap In Kg/M3.
From www.pinterest.com
7 layer density column! rubbing alcohol water veggie oil dish soap Density Of Dish Soap In Kg/M3 The mass or density of the liquid depends on its nature. Density of soap, solid is equal to 801 kg/m³. 262 rows the density of a liquid is typically expressed in units of kilograms per cubic meter (kg/m3) or grams per milliliter (g/ml). Densities of common liquids like acetone, beer, oil, water and more. This table cites density values from. Density Of Dish Soap In Kg/M3.