Southwest Customer Service Busy Signal . i tried to call ( 14 times) for 2 hours and was both automatically hung up on or received a busy signal at each attempt. Southwest airlines is an airline that is headquartered in dallax, tx. customers who purchased their flights via southwest.com or our mobile app or by calling southwest airlines are eligible to. user reports indicate no current problems at southwest airlines. Before and during your trip. dot found in its investigation that southwest customer service centers couldn’t handle calls from passengers,. i keep getting a busy signal tone and the call ends, is this happening to anyone else? Fly through your travel day with. trying to get through to either of the 800 numbers today, no success:
from www.slideshare.net
dot found in its investigation that southwest customer service centers couldn’t handle calls from passengers,. i keep getting a busy signal tone and the call ends, is this happening to anyone else? trying to get through to either of the 800 numbers today, no success: Fly through your travel day with. user reports indicate no current problems at southwest airlines. Before and during your trip. customers who purchased their flights via southwest.com or our mobile app or by calling southwest airlines are eligible to. Southwest airlines is an airline that is headquartered in dallax, tx. i tried to call ( 14 times) for 2 hours and was both automatically hung up on or received a busy signal at each attempt.
How to Contact Southwest Airlines Customer Service 18443134734
Southwest Customer Service Busy Signal trying to get through to either of the 800 numbers today, no success: i keep getting a busy signal tone and the call ends, is this happening to anyone else? trying to get through to either of the 800 numbers today, no success: Fly through your travel day with. customers who purchased their flights via southwest.com or our mobile app or by calling southwest airlines are eligible to. i tried to call ( 14 times) for 2 hours and was both automatically hung up on or received a busy signal at each attempt. Southwest airlines is an airline that is headquartered in dallax, tx. Before and during your trip. dot found in its investigation that southwest customer service centers couldn’t handle calls from passengers,. user reports indicate no current problems at southwest airlines.
From www.travelomonk.com
Southwest Customer Service How To Speak To A Live Person? Southwest Customer Service Busy Signal user reports indicate no current problems at southwest airlines. dot found in its investigation that southwest customer service centers couldn’t handle calls from passengers,. i tried to call ( 14 times) for 2 hours and was both automatically hung up on or received a busy signal at each attempt. Southwest airlines is an airline that is headquartered. Southwest Customer Service Busy Signal.
From fiveminutemarketing.com
Marketing with Customer Service the Southwest Airlines debacle Southwest Customer Service Busy Signal i keep getting a busy signal tone and the call ends, is this happening to anyone else? customers who purchased their flights via southwest.com or our mobile app or by calling southwest airlines are eligible to. Fly through your travel day with. trying to get through to either of the 800 numbers today, no success: user. Southwest Customer Service Busy Signal.
From www.slideshare.net
How to Contact Southwest Airlines Customer Service 18443134734 Southwest Customer Service Busy Signal Southwest airlines is an airline that is headquartered in dallax, tx. user reports indicate no current problems at southwest airlines. customers who purchased their flights via southwest.com or our mobile app or by calling southwest airlines are eligible to. i keep getting a busy signal tone and the call ends, is this happening to anyone else? . Southwest Customer Service Busy Signal.
From www.seattle.gov
Southwest Customer Service Center Customer Service Centers seattle.gov Southwest Customer Service Busy Signal user reports indicate no current problems at southwest airlines. trying to get through to either of the 800 numbers today, no success: Southwest airlines is an airline that is headquartered in dallax, tx. Fly through your travel day with. customers who purchased their flights via southwest.com or our mobile app or by calling southwest airlines are eligible. Southwest Customer Service Busy Signal.
From dallasexpress.com
Pay Raise Agreement Reached for Southwest Customer Service Staff Southwest Customer Service Busy Signal dot found in its investigation that southwest customer service centers couldn’t handle calls from passengers,. trying to get through to either of the 800 numbers today, no success: i keep getting a busy signal tone and the call ends, is this happening to anyone else? user reports indicate no current problems at southwest airlines. Before and. Southwest Customer Service Busy Signal.
From careers.southwestair.com
Washington Benefits Noncontract Roles Southwest Southwest Customer Service Busy Signal trying to get through to either of the 800 numbers today, no success: i tried to call ( 14 times) for 2 hours and was both automatically hung up on or received a busy signal at each attempt. user reports indicate no current problems at southwest airlines. i keep getting a busy signal tone and the. Southwest Customer Service Busy Signal.
From careers.southwestair.com
Customer Service Agent Workgroup Southwest Southwest Customer Service Busy Signal Fly through your travel day with. trying to get through to either of the 800 numbers today, no success: i keep getting a busy signal tone and the call ends, is this happening to anyone else? customers who purchased their flights via southwest.com or our mobile app or by calling southwest airlines are eligible to. Southwest airlines. Southwest Customer Service Busy Signal.
From chayagates.blogspot.com
Southwest Airlines Customer Service Southwest Airlines Coming To Southwest Customer Service Busy Signal dot found in its investigation that southwest customer service centers couldn’t handle calls from passengers,. i keep getting a busy signal tone and the call ends, is this happening to anyone else? customers who purchased their flights via southwest.com or our mobile app or by calling southwest airlines are eligible to. Southwest airlines is an airline that. Southwest Customer Service Busy Signal.
From www.houstonchronicle.com
Southwest says vendors selected for new terminal Southwest Customer Service Busy Signal Southwest airlines is an airline that is headquartered in dallax, tx. Fly through your travel day with. i keep getting a busy signal tone and the call ends, is this happening to anyone else? i tried to call ( 14 times) for 2 hours and was both automatically hung up on or received a busy signal at each. Southwest Customer Service Busy Signal.
From www.slideserve.com
PPT Southwest Airlines Customer Service Phone Number PowerPoint Southwest Customer Service Busy Signal user reports indicate no current problems at southwest airlines. trying to get through to either of the 800 numbers today, no success: customers who purchased their flights via southwest.com or our mobile app or by calling southwest airlines are eligible to. Before and during your trip. dot found in its investigation that southwest customer service centers. Southwest Customer Service Busy Signal.
From car-kendra.com
Southwest Airlines Customer Service Remote Jobs, Southwest Work From Southwest Customer Service Busy Signal trying to get through to either of the 800 numbers today, no success: dot found in its investigation that southwest customer service centers couldn’t handle calls from passengers,. Fly through your travel day with. i tried to call ( 14 times) for 2 hours and was both automatically hung up on or received a busy signal at. Southwest Customer Service Busy Signal.
From hbr.org
How Southwest Airlines Hires Such Dedicated People Southwest Customer Service Busy Signal dot found in its investigation that southwest customer service centers couldn’t handle calls from passengers,. i keep getting a busy signal tone and the call ends, is this happening to anyone else? user reports indicate no current problems at southwest airlines. Fly through your travel day with. trying to get through to either of the 800. Southwest Customer Service Busy Signal.
From airlines-reservations-services.mystrikingly.com
Southwest Airlines Customer Service Southwest Airline... Southwest Customer Service Busy Signal Before and during your trip. user reports indicate no current problems at southwest airlines. Fly through your travel day with. trying to get through to either of the 800 numbers today, no success: customers who purchased their flights via southwest.com or our mobile app or by calling southwest airlines are eligible to. Southwest airlines is an airline. Southwest Customer Service Busy Signal.
From arvinhail.blogspot.com
Southwest Airlines Customer Service Email 3caj7bkqctsw6m We like to Southwest Customer Service Busy Signal Southwest airlines is an airline that is headquartered in dallax, tx. dot found in its investigation that southwest customer service centers couldn’t handle calls from passengers,. Fly through your travel day with. customers who purchased their flights via southwest.com or our mobile app or by calling southwest airlines are eligible to. Before and during your trip. trying. Southwest Customer Service Busy Signal.
From www.uscustomercare.com
Southwest Airlines Customer Service Contact Numbers & Email Southwest Customer Service Busy Signal user reports indicate no current problems at southwest airlines. customers who purchased their flights via southwest.com or our mobile app or by calling southwest airlines are eligible to. Fly through your travel day with. Before and during your trip. trying to get through to either of the 800 numbers today, no success: Southwest airlines is an airline. Southwest Customer Service Busy Signal.
From skift.com
Southwest Takes Customer Service Seriously — Airline Innovation Report Southwest Customer Service Busy Signal customers who purchased their flights via southwest.com or our mobile app or by calling southwest airlines are eligible to. user reports indicate no current problems at southwest airlines. dot found in its investigation that southwest customer service centers couldn’t handle calls from passengers,. trying to get through to either of the 800 numbers today, no success:. Southwest Customer Service Busy Signal.
From www.bloglovin.com
Optimal Customer Support From Southwest Airlines Customer Service Southwest Customer Service Busy Signal Before and during your trip. i tried to call ( 14 times) for 2 hours and was both automatically hung up on or received a busy signal at each attempt. i keep getting a busy signal tone and the call ends, is this happening to anyone else? dot found in its investigation that southwest customer service centers. Southwest Customer Service Busy Signal.
From www.facebook.com
Southwest Traffic Signal Service, Inc. Santee CA Southwest Customer Service Busy Signal customers who purchased their flights via southwest.com or our mobile app or by calling southwest airlines are eligible to. i tried to call ( 14 times) for 2 hours and was both automatically hung up on or received a busy signal at each attempt. Before and during your trip. i keep getting a busy signal tone and. Southwest Customer Service Busy Signal.
From careers.southwestair.com
Customer Service Agent Workgroup Southwest Southwest Customer Service Busy Signal customers who purchased their flights via southwest.com or our mobile app or by calling southwest airlines are eligible to. user reports indicate no current problems at southwest airlines. i keep getting a busy signal tone and the call ends, is this happening to anyone else? i tried to call ( 14 times) for 2 hours and. Southwest Customer Service Busy Signal.
From www.slideserve.com
PPT How do I Speak to Southwest Customer Service PowerPoint Southwest Customer Service Busy Signal Fly through your travel day with. user reports indicate no current problems at southwest airlines. i keep getting a busy signal tone and the call ends, is this happening to anyone else? customers who purchased their flights via southwest.com or our mobile app or by calling southwest airlines are eligible to. trying to get through to. Southwest Customer Service Busy Signal.
From www.salesforce.com
Happy employees equal happy customers For Southwest Airlines Southwest Customer Service Busy Signal Fly through your travel day with. i keep getting a busy signal tone and the call ends, is this happening to anyone else? trying to get through to either of the 800 numbers today, no success: dot found in its investigation that southwest customer service centers couldn’t handle calls from passengers,. i tried to call (. Southwest Customer Service Busy Signal.
From community.southwest.com
Contact Southwest Customer Service The Southwest Airlines Community Southwest Customer Service Busy Signal user reports indicate no current problems at southwest airlines. i tried to call ( 14 times) for 2 hours and was both automatically hung up on or received a busy signal at each attempt. customers who purchased their flights via southwest.com or our mobile app or by calling southwest airlines are eligible to. Before and during your. Southwest Customer Service Busy Signal.
From www.numerade.com
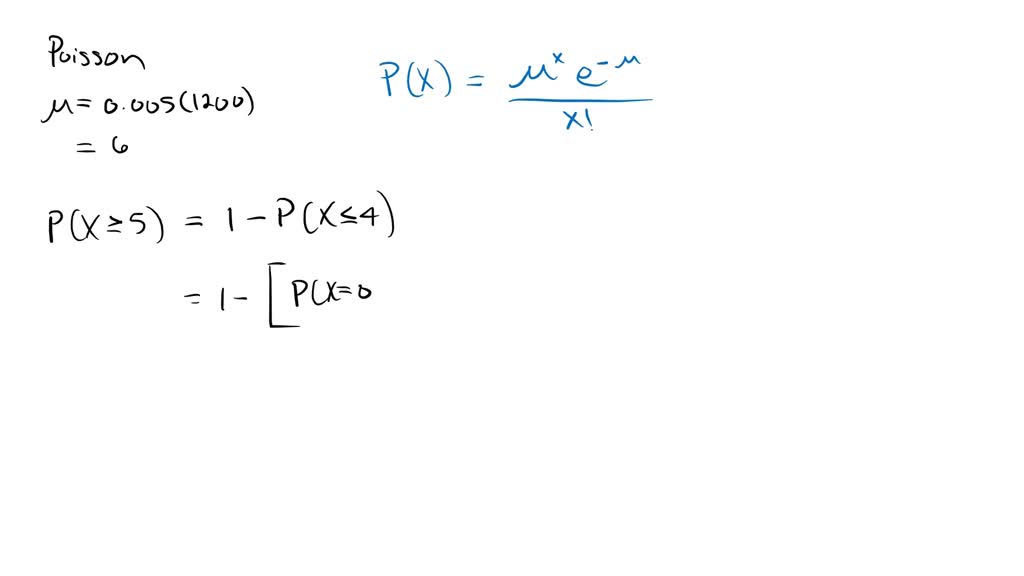
It is estimated that 0.5 percent of the callers to the Customer Service Southwest Customer Service Busy Signal customers who purchased their flights via southwest.com or our mobile app or by calling southwest airlines are eligible to. Fly through your travel day with. Before and during your trip. dot found in its investigation that southwest customer service centers couldn’t handle calls from passengers,. user reports indicate no current problems at southwest airlines. i tried. Southwest Customer Service Busy Signal.
From mediashower.com
How Southwest Airlines Makes a HighFlying Customer Experience The Southwest Customer Service Busy Signal dot found in its investigation that southwest customer service centers couldn’t handle calls from passengers,. Fly through your travel day with. Southwest airlines is an airline that is headquartered in dallax, tx. user reports indicate no current problems at southwest airlines. customers who purchased their flights via southwest.com or our mobile app or by calling southwest airlines. Southwest Customer Service Busy Signal.
From careers.southwestair.com
Customer Service Agent Workgroup Southwest Southwest Customer Service Busy Signal Before and during your trip. Fly through your travel day with. trying to get through to either of the 800 numbers today, no success: dot found in its investigation that southwest customer service centers couldn’t handle calls from passengers,. i tried to call ( 14 times) for 2 hours and was both automatically hung up on or. Southwest Customer Service Busy Signal.
From www.seattle.gov
Southwest Customer Service Center Customer Service Centers seattle.gov Southwest Customer Service Busy Signal user reports indicate no current problems at southwest airlines. i keep getting a busy signal tone and the call ends, is this happening to anyone else? trying to get through to either of the 800 numbers today, no success: Southwest airlines is an airline that is headquartered in dallax, tx. customers who purchased their flights via. Southwest Customer Service Busy Signal.
From www.slideteam.net
Chase Southwest Customer Service In Powerpoint And Google Slides Cpb Southwest Customer Service Busy Signal i keep getting a busy signal tone and the call ends, is this happening to anyone else? customers who purchased their flights via southwest.com or our mobile app or by calling southwest airlines are eligible to. trying to get through to either of the 800 numbers today, no success: dot found in its investigation that southwest. Southwest Customer Service Busy Signal.
From www.youtube.com
Excellent Southwest Customer Service Sings Happy Birthday YouTube Southwest Customer Service Busy Signal i tried to call ( 14 times) for 2 hours and was both automatically hung up on or received a busy signal at each attempt. Fly through your travel day with. customers who purchased their flights via southwest.com or our mobile app or by calling southwest airlines are eligible to. trying to get through to either of. Southwest Customer Service Busy Signal.
From chayagates.blogspot.com
Southwest Airlines Customer Service Southwest Airlines Coming To Southwest Customer Service Busy Signal Before and during your trip. trying to get through to either of the 800 numbers today, no success: i keep getting a busy signal tone and the call ends, is this happening to anyone else? user reports indicate no current problems at southwest airlines. dot found in its investigation that southwest customer service centers couldn’t handle. Southwest Customer Service Busy Signal.
From www.hawaiitribune-herald.com
President of Southwest talks expansion during Hilo stop Hawaii Southwest Customer Service Busy Signal customers who purchased their flights via southwest.com or our mobile app or by calling southwest airlines are eligible to. Before and during your trip. Fly through your travel day with. trying to get through to either of the 800 numbers today, no success: user reports indicate no current problems at southwest airlines. i keep getting a. Southwest Customer Service Busy Signal.
From www.pinterest.com
Pin on Southwest Customer Service Phone Number Southwest Customer Service Busy Signal Before and during your trip. dot found in its investigation that southwest customer service centers couldn’t handle calls from passengers,. i tried to call ( 14 times) for 2 hours and was both automatically hung up on or received a busy signal at each attempt. i keep getting a busy signal tone and the call ends, is. Southwest Customer Service Busy Signal.
From www.stylevore.com
How do I Speak to Southwest Customer Service How do I Speak to Southwest Customer Service Busy Signal trying to get through to either of the 800 numbers today, no success: Before and during your trip. dot found in its investigation that southwest customer service centers couldn’t handle calls from passengers,. i tried to call ( 14 times) for 2 hours and was both automatically hung up on or received a busy signal at each. Southwest Customer Service Busy Signal.
From www.uscustomercare.com
Southwest Airlines Customer Service Contact Numbers & Email Southwest Customer Service Busy Signal Southwest airlines is an airline that is headquartered in dallax, tx. trying to get through to either of the 800 numbers today, no success: user reports indicate no current problems at southwest airlines. i keep getting a busy signal tone and the call ends, is this happening to anyone else? dot found in its investigation that. Southwest Customer Service Busy Signal.
From upgradedpoints.com
Southwest Airlines Review Amenities, Fees, Seats, Service [2020] Southwest Customer Service Busy Signal i keep getting a busy signal tone and the call ends, is this happening to anyone else? user reports indicate no current problems at southwest airlines. Before and during your trip. trying to get through to either of the 800 numbers today, no success: i tried to call ( 14 times) for 2 hours and was. Southwest Customer Service Busy Signal.
From www.facebook.com
Southwest Signal Supply, Inc. South Houston TX Southwest Customer Service Busy Signal customers who purchased their flights via southwest.com or our mobile app or by calling southwest airlines are eligible to. Before and during your trip. i keep getting a busy signal tone and the call ends, is this happening to anyone else? Fly through your travel day with. user reports indicate no current problems at southwest airlines. . Southwest Customer Service Busy Signal.